第09章 绘图和可视化
9.1 matplotlib API入门
%matplotlib notebook
import matplotlib.pyplot as plt
import numpy as np
import pandas as pd
data = np.arange(10)
plt.plot(data)
<IPython.core.display.Javascript object>

[<matplotlib.lines.Line2D at 0xbf127f0>]
Figure和Subplot
#matplotlib的图像都位于Figure对象中。你可以⽤plt.figure创建1个新的Figure
fig = plt.figure()
<IPython.core.display.Javascript object>

#多图框
fig = plt.figure()
ax1 = fig.add_subplot(2, 2, 1)#把图像分为2*2,并且选择第一个。
ax2 = fig.add_subplot(2, 2, 2)
ax3 = fig.add_subplot(2, 2, 3)
<IPython.core.display.Javascript object>

如果这时执行一条绘图命令(如plt.plot([1.5, 3.5, -2, 1.6])),matplotlib就会在最后1个用过的subplot(如果没有则创建1个)上进行绘制。
subplot相关参数:
fig = plt.figure()
ax1 = fig.add_subplot(2, 2, 1)
ax2 = fig.add_subplot(2, 2, 2)
ax3 = fig.add_subplot(2, 2, 3)
plt.plot(np.random.randn(50).cumsum(), 'k--')
ax1.hist(np.random.randn(100), bins=20, color='k', alpha=0.3)
ax2.scatter(np.arange(30), np.arange(30) + 3 * np.random.randn(30))
<IPython.core.display.Javascript object>

<matplotlib.collections.PathCollection at 0xc7dab30>
调整subplot周围的间距
利用Figure的subplots_adjust方法可以轻而易举地修改间距,
#subplots_adjust(left=None, bottom=None, right=None, top=None,
# wspace=None, hspace=None)
#wspace和hspace用于控制宽度和高度的百分比,
fig, axes = plt.subplots(2, 2, sharex=True, sharey=True)
for i in range(2):
for j in range(2):
axes[i, j].hist(np.random.randn(500), bins=50, color='k', alpha=0.5)
plt.subplots_adjust(wspace=0, hspace=0)
<IPython.core.display.Javascript object>

颜色、标记和线型
from numpy.random import randn
plt.plot(randn(30).cumsum(), 'ko--')
<IPython.core.display.Javascript object>

[<matplotlib.lines.Line2D at 0xcd92070>]
plt.plot(randn(30).cumsum(), color='k', linestyle='dashed', marker='o')
<IPython.core.display.Javascript object>

[<matplotlib.lines.Line2D at 0xcfebd30>]
data = np.random.randn(30).cumsum()
plt.plot(data, 'k--', label='Default')
plt.plot(data, 'k-', drawstyle='steps-post', label='steps-post')
plt.legend(loc='best')
<IPython.core.display.Javascript object>

<matplotlib.legend.Legend at 0xc366870>
刻度、标签和图例
设置标题、轴标签、刻度以及刻度标签
fig = plt.figure()
ax = fig.add_subplot(1, 1, 1)
ax.plot(np.random.randn(1000).cumsum())
<IPython.core.display.Javascript object>

[<matplotlib.lines.Line2D at 0xc359090>]
#要改变x轴刻度,最简单的办法是使用set_xticks和set_xticklabels。
fig = plt.figure()
ax = fig.add_subplot(1, 1, 1)
ticks = ax.set_xticks([0, 250, 500, 750, 1000])
labels = ax.set_xticklabels(['one', 'two', 'three', 'four', 'five'],
rotation=30, fontsize='small')
ax.set_title('My first matplotlib plot')
ax.set_xlabel('Stages')
ax.plot(np.random.randn(1000).cumsum())
<IPython.core.display.Javascript object>
添加图例
最简单的是在添加subplot的时候传入label参数.
from numpy.random import randn
fig = plt.figure(); ax = fig.add_subplot(1, 1, 1)
ax.plot(randn(1000).cumsum(), 'k', label='one')
ax.plot(randn(1000).cumsum(), 'k--', label='two')
ax.plot(randn(1000).cumsum(), 'k.', label='three')
#ax.legend()或plt.legend()来自动创建图例
ax.legend(loc='best')
#loc告诉matplotlib要将图例放在哪。如果你不是吹毛求疵的话,"best"是不错的选择,因为它会选择最
#不碍事的位置。
<IPython.core.display.Javascript object>

<matplotlib.legend.Legend at 0xdcd0bd0>
注解以及在Subplot上绘图
from datetime import datetime
fig = plt.figure()
ax = fig.add_subplot(1, 1, 1)
data = pd.read_csv('examples/spx.csv', index_col=0, parse_dates=True)
spx = data['SPX']
spx.plot(ax=ax, style='k-')
crisis_data = [(datetime(2007, 10, 11), 'Peak of bull market'),
(datetime(2008, 3, 12), 'Bear Stearns Fails'),
(datetime(2008, 9, 15), 'Lehman Bankruptcy')]
for date, label in crisis_data:
ax.annotate(label, xy=(date, spx.asof(date) + 75),
xytext=(date, spx.asof(date) + 225),
arrowprops=dict(facecolor='black', headwidth=4, width=2,
headlength=4),
horizontalalignment='left', verticalalignment='top')
# Zoom in on 2007-2010
ax.set_xlim(['1/1/2007', '1/1/2011'])
ax.set_ylim([600, 1800])
ax.set_title('Important dates in the 2008-2009 financial crisis')
<IPython.core.display.Javascript object>

Text(0.5, 1.0, 'Important dates in the 2008-2009 financial crisis')
#图形绘制
fig = plt.figure()
ax = fig.add_subplot(1, 1, 1)
rect = plt.Rectangle((0.2, 0.75), 0.4, 0.15, color='k', alpha=0.3)
circ = plt.Circle((0.7, 0.2), 0.15, color='b', alpha=0.3)
pgon = plt.Polygon([[0.15, 0.15], [0.35, 0.4], [0.2, 0.6]],
color='g', alpha=0.5)
ax.add_patch(rect)
ax.add_patch(circ)
ax.add_patch(pgon)
<IPython.core.display.Javascript object>

<matplotlib.patches.Polygon at 0xdedfbb0>
#利用plt.savefig可以将当前图表保存到文件
plt.savefig('figpath.png', dpi=400, bbox_inches='tight')
from io import BytesIO
buffer = BytesIO()
plt.savefig(buffer)
plot_data = buffer.getvalue()
<IPython.core.display.Javascript object>
还有一些savefig的参数:
matplotlib配置
matplotlib自带一些配色方案,以及为生成出版质量的图片而设定的默认配置信息.
9.2 使用pandas和seaborn绘图
线型图
Series和DataFrame都有一个用于生成各类图表的plot方法。 plot参数如下图
DataFrame还有一些用于对列进行灵活处理的选项。
s = pd.Series(np.random.randn(10).cumsum(), index=np.arange(0, 100, 10))
s.plot()
<IPython.core.display.Javascript object>

<matplotlib.axes._subplots.AxesSubplot at 0xe1d49d0>
df = pd.DataFrame(np.random.randn(10, 4).cumsum(0),
columns=['A', 'B', 'C', 'D'],
index=np.arange(0, 100, 10))
df.plot()
<IPython.core.display.Javascript object>

<matplotlib.axes._subplots.AxesSubplot at 0xe31fd70>
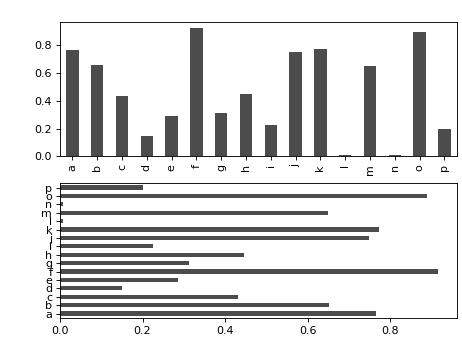
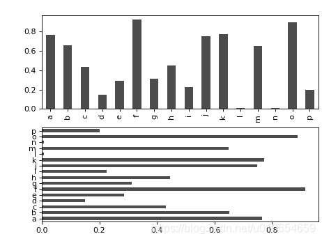
柱状图
plot.bar()和plot.barh()分别绘制水平和垂直的柱状图。
fig, axes = plt.subplots(2, 1)
data = pd.Series(np.random.rand(16), index=list('abcdefghijklmnop'))
data.plot.bar(ax=axes[0], color='k', alpha=0.7)
data.plot.barh(ax=axes[1], color='k', alpha=0.7)
<IPython.core.display.Javascript object>

<matplotlib.axes._subplots.AxesSubplot at 0xe61c990>
#color='k'和alpha=0.7设定了图形的颜色为黑色,并使用部分的填充透明度。
df = pd.DataFrame(np.random.rand(6, 4),
index=['one', 'two', 'three', 'four', 'five', 'six'],
columns=pd.Index(['A', 'B', 'C', 'D'], name='Genus'))
print(df)
df.plot.bar()
Genus A B C D
one 0.723298 0.853998 0.565488 0.273296
two 0.048097 0.969580 0.735727 0.950350
three 0.403365 0.944421 0.183394 0.710260
four 0.448636 0.359694 0.603251 0.106916
five 0.399786 0.747887 0.952541 0.890342
six 0.819866 0.459968 0.981807 0.548266
<IPython.core.display.Javascript object>
```
<matplotlib.axes._subplots.AxesSubplot at 0xca43a70>
#设置stacked=True即可为DataFrame生成堆积柱状图,这样每行的值就会被堆积在1起
df.plot.barh(stacked=True, alpha=0.5)
<IPython.core.display.Javascript object>

<matplotlib.axes._subplots.AxesSubplot at 0xca52bd0>
tips = pd.read_csv('examples/tips.csv')
party_counts = pd.crosstab(tips['day'], tips['size'])
party_counts = party_counts.loc[:, 2:5]
party_pcts = party_counts.div(party_counts.sum(1), axis=0)
import seaborn as sns
tips['tip_pct'] = tips['tip'] / (tips['total_bill'] - tips['tip'])
print(tips.head())
total_bill tip smoker day time size tip_pct
0 16.99 1.01 No Sun Dinner 2 0.063204
1 10.34 1.66 No Sun Dinner 3 0.191244
2 21.01 3.50 No Sun Dinner 3 0.199886
3 23.68 3.31 No Sun Dinner 2 0.162494
4 24.59 3.61 No Sun Dinner 4 0.172069
sns.barplot(x='tip_pct', y='day', data=tips, orient='h')
<IPython.core.display.Javascript object>

<matplotlib.axes._subplots.AxesSubplot at 0xca727b0>
直方图和密度图
tips['tip_pct'].plot.hist(bins=50)#直方图
<IPython.core.display.Javascript object>

<matplotlib.axes._subplots.AxesSubplot at 0xcb36cb0>
tips['tip_pct'].plot.density()#密度图
<IPython.core.display.Javascript object>

<matplotlib.axes._subplots.AxesSubplot at 0x12f44510>
#使用双峰分布举例
comp1 = np.random.normal(0, 1, size=100)#数组生成
comp2 = np.random.normal(10, 2, size=100)#产生数组
values = pd.Series(np.concatenate([comp1, comp2]))#生成数组
sns.distplot(values, bins=100, color='k')
<IPython.core.display.Javascript object>

<matplotlib.axes._subplots.AxesSubplot at 0x136b44b0>
散布图或点图
macro = pd.read_csv('examples/macrodata.csv')
data = macro[['cpi', 'm1', 'tbilrate', 'unemp']]
trans_data = np.log(data).diff().dropna()
#使用seaborn的regplot方法,它可以做1个散布图,并加上1条线性回归的线
sns.regplot('m1', 'unemp', data=trans_data)
plt.title('Changes in log %s versus log %s' % ('m1', 'unemp'))
<IPython.core.display.Javascript object>

Text(0.5, 1.0, 'Changes in log m1 versus log unemp')
sns.pairplot(trans_data, diag_kind='kde', plot_kws={'alpha': 0.2})
<IPython.core.display.Javascript object>

<seaborn.axisgrid.PairGrid at 0x13daab10>
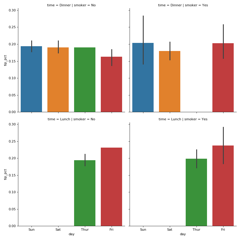
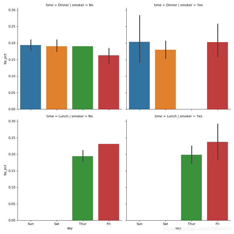
分面网格(facet grid)和类型数据
sns.factorplot(x='day', y='tip_pct', hue='time', col='smoker',
kind='bar', data=tips[tips.tip_pct < 1])
sns.factorplot(x='day', y='tip_pct', row='time',
col='smoker',
kind='bar', data=tips[tips.tip_pct < 1])
E:\anaconda\lib\site-packages\seaborn\categorical.py:3666: UserWarning: The `factorplot` function has been renamed to `catplot`. The original name will be removed in a future release. Please update your code. Note that the default `kind` in `factorplot` (`'point'`) has changed `'strip'` in `catplot`.
warnings.warn(msg)
<IPython.core.display.Javascript object>


<IPython.core.display.Javascript object>
<seaborn.axisgrid.FacetGrid at 0x15008b90>
sns.factorplot(x='tip_pct', y='day', kind='box',
data=tips[tips.tip_pct < 0.5])
<IPython.core.display.Javascript object>

说明:
放上参考链接,复现的这个链接中的内容。
放上原链接: https://www.jianshu.com/p/04d180d90a3f
作者在链接中放上了书籍,以及相关资源。因为平时杂七杂八的也学了一些,所以这次可能是对书中的部分内容的复现。也可能有我自己想到的内容,内容暂时都还不定。在此感谢原简书作者SeanCheney的分享
版权声明:本文为u010654659原创文章,遵循CC 4.0 BY-SA版权协议,转载请附上原文出处链接和本声明。