以波士顿房价数据集作为例子
from sklearn.datasets import load_boston
data = load_boston()
dir(data)#查看数据集标签
print(data.DESCR)#查看每个数据标签的描述
X, y = data['data'], data['target']#建立数据映射关系
len(X), len(y)#数据集长度
import matplotlib.pyplot as plt
%matplotlib inline
def draw_rm_and_price():
plt.scatter(X[:, 5], y)
draw_rm_and_price()

我们需要依据一个X,来预测对应的y是多少,rm ->y
Simplest Method!!!
X[:, 5]
y
# 这样就可以查看对应值
或者用这样的方式表示
rm_to_price = {rm : p for rm, p in zip(X[:, 5], y)}
通过计算距离来比较数据的相似度,距离越小越相似,否则越不相似
def distance(x1, x2):
return (x1 - x2) **2
distance(0, 2)
distance(-19, 18)
根据相似数据 来预测不知道的值
rm_data = X[:, 5]
import numpy as np
def k_neartest_model(x, k=5): # K近邻模型
query_x = x
k_nearest = k
nearted_x_and_ys = sorted(rm_to_price.items(), key=lambda r_p: distance(r_p[0], query_x))[:k_nearest]
print(nearted_x_and_ys)
ys = [y for x, y in nearted_x_and_ys]
return np.mean(ys)
k_neartest_model(8.9)
时间复杂度
O(N) 和我们观测到的数据量成正比,观测的数据量。现在的情况下,常常会有几十万。几百万的数据
空间复杂度
O(N) 非常耗费空间
Model ->Lazy Learning
Outlinear 异常值
我们现在要有更加高级的抽象方法了!!
我们不仅仅要死记硬背!我们还要抽象出一个函数出来!
最简单的找出函数的方法!!!
随机,蒙特卡洛
Function-1:Random Generate
import random
def random_linear_function():
min_v, max_v = -100, 100
k = random.randint(min_v, max_v)
b = random.randint(min_v, max_v)
return lambda x: k*x +b
function_we_get = random_linear_function()
predicated_y = [function_we_get(x) for x in rm_data]
draw_rm_and_price()
plt.scatter(rm_data, predicated_y)

我们要找到一个好的函数来预测,那么什么是好的函数?怎么定义?
def loss(predicate_y, y_true):
return np.mean((np.array(predicate_y) - y_true)**2)
list_1 = np.array([1, 2, 3, 4])
list_2 = np.array([0, 1, 3, 5])
np.mean((list_1 - list_2) **2) # numpy broadcast
sum_ = 0
for x1, x2 in zip(list_1, list_2):
sum_ += (x1 - x2)**2
sum_ /= len(list_1)
from tqdm import tqdm_notebook
trying_time = 10000
min_loss = float('inf')
optimal_func = None
for t in range(trying_time):
function_we_get = random_linear_function()
predicated_y = [function_we_get(x) for x in rm_data]
#draw_rm_and_price()
#plt.scatter(rm_data, predicated_y)
current_loss = loss(predicated_y, y)
if current_loss < min_loss:
min_loss = current_loss
optimal_func = function_we_get
print('在第{} 次,我们找到了一个更好的函数,它的loss是: {}'.format(t, min_loss))
draw_rm_and_price()
plt.scatter(rm_data, optimal_func(rm_data))

Supervised Learning by Partial Loss
def partial_k(k, b, xi, yi):
xi, yi = np.array(xi), np.array(yi)
return -2 * np.sum(xi * (yi - (k*xi +b)))
def partial_b(k, b, xi, yi):
xi, yi = np.array(xi), np.array(yi)
return -2 *np.sum(yi - (k*xi +b))
partial_k(k=123143994, b=20, xi=rm_data, yi=y), partial_b(k=2, b=20, xi=rm_data, yi=y)
def model(x, k, b):
return k * x +b
k, b = random.random(), random.random()
print('随机生成的k:{}, b:{}'.format(k, b))
trying_time = 100
min_loss = float('inf')
optimal_func = None
for t in range(trying_time):
learning_rate = 1e-3
k = partial_k(k, b, rm_data, y) *-1 * learning_rate + k
b = partial_b(k, b, rm_data, y) *-1 * learning_rate + b
predicated_y = model(rm_data, k, b)
current_loss = loss(predicated_y, y)
if current_loss < min_loss:
min_loss = current_loss
optimal_func = lambda x: model(x, k, b)
print('在第{} 次,我们找到了一个更好的函数,它的loss是: {}'.format(t, min_loss))
draw_rm_and_price()
plt.scatter(rm_data, optimal_func(rm_data))

在单元模式下,执行代码块若干次,取最佳结果
%%timeit
k_neartest_model(6.88)
%%timeit
optimal_func(6.88)
线性函数的拟合
Machine Leanring
K-nearest
Linear Regression
Loss
Partial Derivative 偏倒数
非线性的函数,我们怎么拟合?
def random_linear_small():
return lambda x: (random.uniform(-10, 10)) * x +random.uniform(-10, 10)
def sigmoid(x):
return 1 / (1 +np.exp(-x))
layers = [r, sigmoid] * 1
layers = [
(r, r),
(sigmoid, sigmoid),
(r, r, r),
(sigmoid, sigmoid),
]
def tanh(x):
return np.tanh(x)
plt.plot(test_x, tanh(test_x))

def one_layer(input_x, nodes):
test_x = input_x
span_indices = sorted(random.sample(range(0, len(test_x)), len(nodes)-1))
span_indices = [0] +span_indices +[None]
outputs = []
for i, index in enumerate(span_indices[:-1]):
now, next_ = index, span_indices[i+1]
sub_x = test_x[index:span_indices[i+1]]
sub_output = nodes[i](sub_x)
outputs.append(sub_output)
return np.concatenate(outputs)
def multiply_layers(input_x, layers):
this_layers_output = one_layer(input_x, layers[0])
if len(layers) == 1:
return this_layers_output
else:
return multiply_layers(this_layers_output, layers[1:])

for _ in range(10):
plt.plot(test_x, multiply_layers(test_x, layers))

From functions to Graph

import networkx as nx
people_relatioship = {
'Wang': ['Liu', 'Tom'],
'Tom': ['Zhang', 'Xu'],
'Xu': ['Zhao', 'Li']
}
nx.draw(nx.Graph(people_relatioship), with_labels=True)

node_x, node_k1, node_b1 = 'x', 'k1', 'b1'
node_k2, node_b2 = 'k2', 'b2'
node_linear_01, node_linear_02, node_sigmoid = 'linear_01', 'linear_02', 'sigmoid'
node_loss = 'loss'
computing_graph = { # represent model
node_x: [node_linear_01],
node_k1: [node_linear_01],
node_b1: [node_linear_01],
node_linear_01: [node_sigmoid],
node_sigmoid: [node_linear_02],
node_k2: [node_linear_02],
node_b2: [node_linear_02],
node_linear_02: [node_loss],
}
graph = nx.DiGraph(computing_graph)
layout = nx.layout.spring_layout(graph)
nx.draw(graph, layout, with_labels=True, node_color='red')

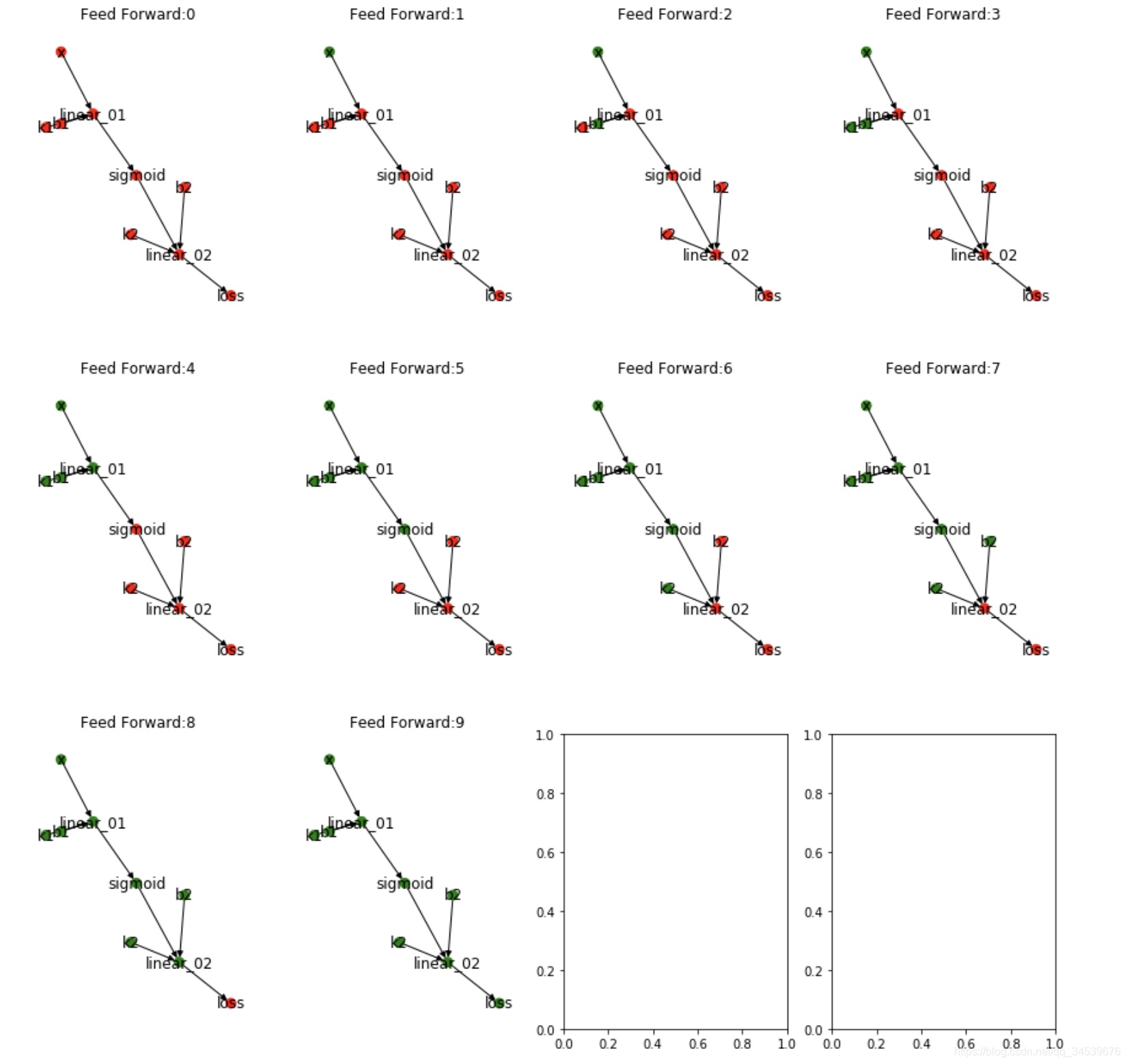
visited_order = [node_x, node_b1, node_k1, node_linear_01, node_sigmoid, node_k2, node_b2, node_linear_02, node_loss]
def visited_procedure(graph, posotion, visited_order, step=None, sub_plot_index=None, colors=('red', 'green'), node_size=5):
changed = visited_order[:step] if step is not None else visited_order
before, after = colors
color_map = [after if c in changed else before for c in graph]
nx.draw(graph, posotion, node_color=color_map, with_labels=True, ax=sub_plot_index, node_size=node_size)
dimension = int(len(visited_order) ** 0.5)
fig, ax = plt.subplots(dimension, dimension + 1, figsize=(15, 15))
for i in range(len(visited_order) + 1):
ix = np.unravel_index(i, ax.shape)
plt.sca(ax[ix])
ax[ix].title.set_text('Feed Forward:{}'.format(i))
visited_procedure(graph, layout, visited_order, step=i, sub_plot_index=ax[ix], node_size=60)
正向
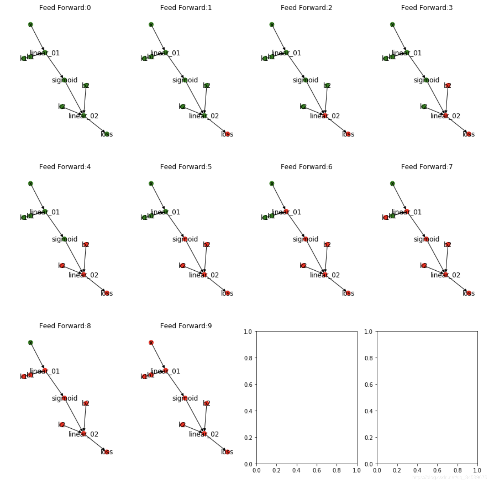
dimension = int(len(visited_order) ** 0.5)
fig, ax = plt.subplots(dimension, dimension + 1, figsize=(15, 15))
for i in range(len(visited_order) + 1):
ix = np.unravel_index(i, ax.shape)
plt.sca(ax[ix])
ax[ix].title.set_text('Feed Forward:{}'.format(i))
visited_procedure(graph, layout, visited_order[::-1], step=i, sub_plot_index=ax[ix], colors=('green', 'red'), node_size=60)
反向
def toplogic(graph):
sorted_node = []
while len(graph) > 0:
all_inputs = []
all_outputs = []
for n in graph:
all_inputs += graph[n]
all_outputs.append(n)
all_inputs = set(all_inputs)
all_outputs = set(all_outputs)
need_remove = all_outputs - all_inputs # which in all_inputs but not in all_outputs
if len(need_remove) > 0:
node = random.choice(list(need_remove))
visited_next = [node]
if len(graph) == 1: visited_next += graph[node]
graph.pop(node)
sorted_node += visited_next
for _, links in graph.items():
if node in links: links.remove(node)
else:
break
return sorted_node
node_linear_01 = 'linear_01'
node_linear_02 = 'linear_02'
node_linear_03 = 'linear_03'
node_linear_04 = 'linear_04'
node_linear_05 = 'linear_05'
node_linear_06 = 'linear_06'
node_k1, node_b1 = 'k1', 'b1'
node_k2, node_b2 = 'k2', 'b2'
node_k3, node_b3 = 'k3', 'b3'
node_k4, node_b4 = 'k4', 'b4'
node_k5, node_b5 = 'k5', 'b5'
node_k6, node_b6 = 'k6', 'b6'
node_sigmoid_01 = 'sigmoid-01'
node_sigmoid_02 = 'sigmoid-02'
node_sigmoid_03 = 'sigmoid-03'
node_sigmoid_04 = 'sigmoid-04'
computing_graph = { # represent model
node_x: [node_linear_01],
node_k1: [node_linear_01],
node_b1: [node_linear_01],
node_x: [node_linear_02],
node_k2:[node_linear_02],
node_b2:[node_linear_03],
node_linear_01: [node_sigmoid_01, node_sigmoid_02],
node_linear_02: [node_sigmoid_03, node_sigmoid_04],
node_sigmoid_01: [node_linear_04],
node_sigmoid_02: [node_linear_03],
node_sigmoid_03: [node_linear_05],
node_sigmoid_04: [node_linear_06],
node_linear_03: [node_loss],
node_linear_04: [node_loss],
node_linear_05: [node_loss],
node_linear_06: [node_loss],
}
more_complicated_graph = nx.DiGraph(computing_graph)
more_complicated_layout = nx.layout.spring_layout(more_complicated_graph)
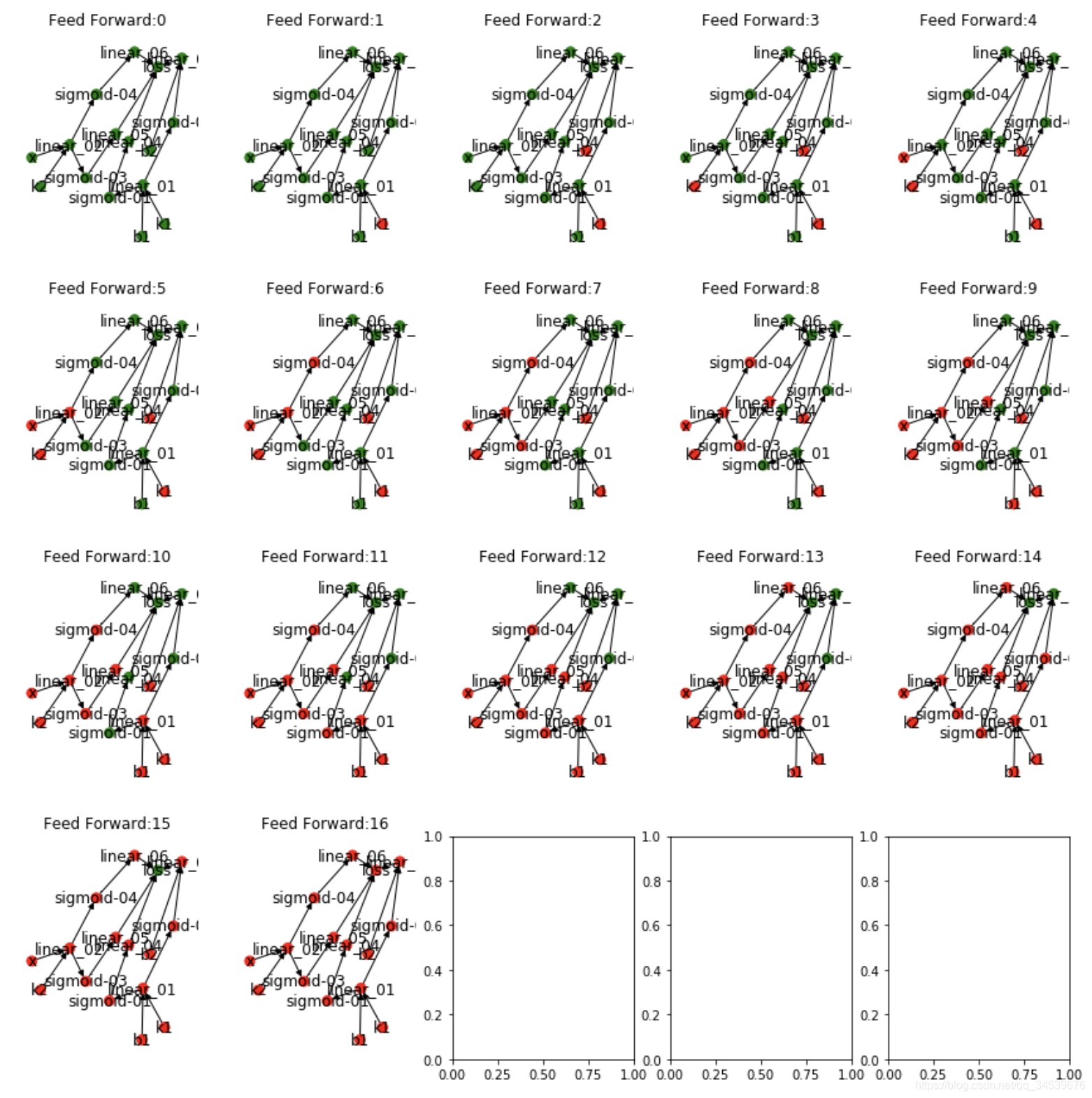
visited_order = toplogic(computing_graph)
dimension = int(len(visited_order) ** 0.5)
fig, ax = plt.subplots(dimension, dimension + 1, figsize=(15, 15))
for i in range(len(visited_order) + 1):
ix = np.unravel_index(i, ax.shape)
plt.sca(ax[ix])
ax[ix].title.set_text('Feed Forward:{}'.format(i))
visited_procedure(more_complicated_graph, more_complicated_layout, visited_order,
step=i, sub_plot_index=ax[ix], colors=('green', 'red'), node_size=60)
正向传播
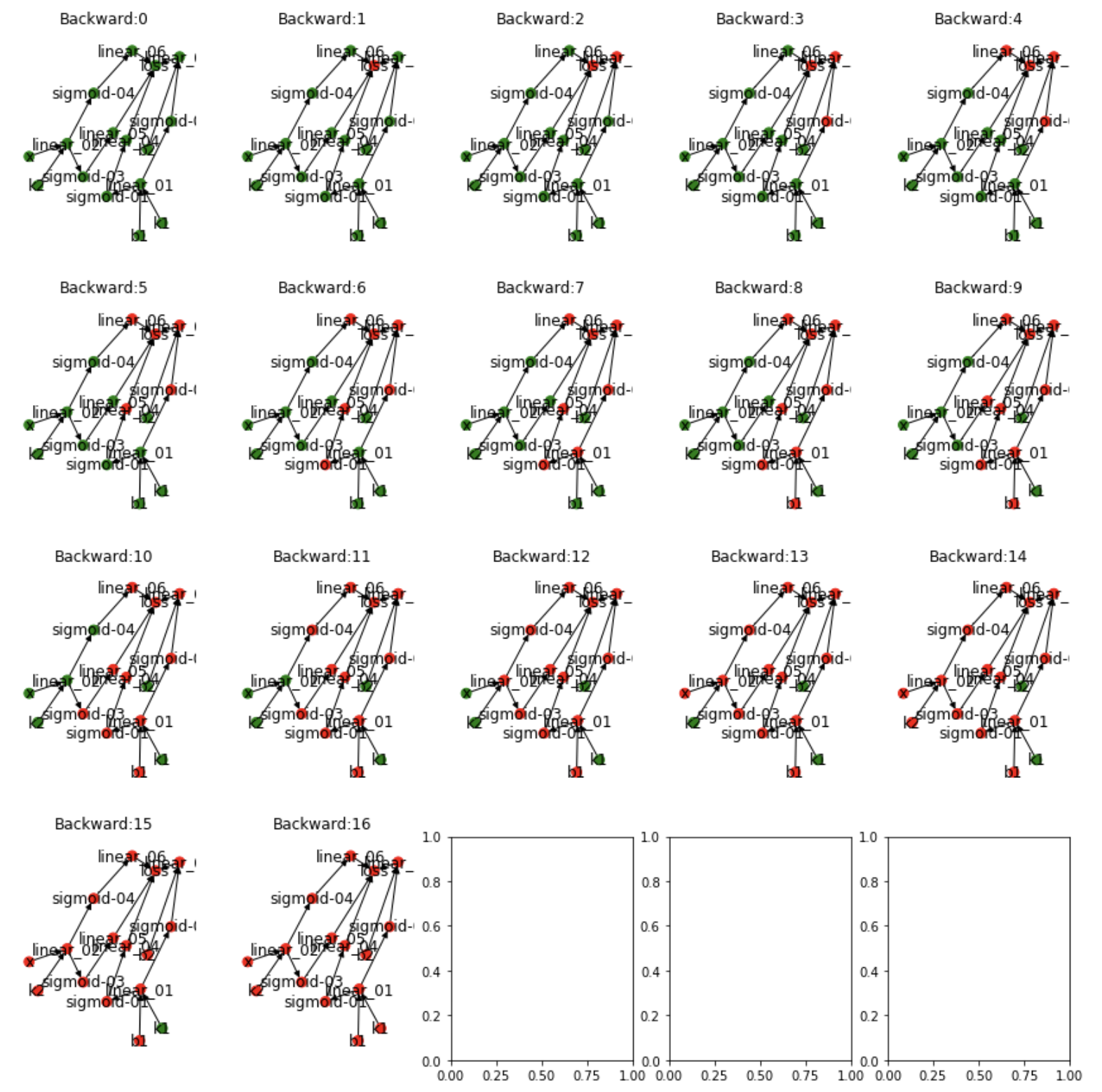
dimension = int(len(visited_order) ** 0.5)
fig, ax = plt.subplots(dimension, dimension + 1, figsize=(15, 15))
for i in range(len(visited_order) + 1):
ix = np.unravel_index(i, ax.shape)
plt.sca(ax[ix])
ax[ix].title.set_text('Backward:{}'.format(i))
visited_procedure(more_complicated_graph, more_complicated_layout, visited_order[::-1],
step=i, sub_plot_index=ax[ix], colors=('green', 'red'), node_size=60)
反向传播
import numpy as np
class Node:
def __init__(self, inputs=[]):
self.inputs = inputs
self.outputs = []
for n in self.inputs:
n.outputs.append(self)
# set 'self' node as inbound_nodes's outbound_nodes
self.value = None
self.gradients = {}
# keys are the inputs to this node, and their
# values are the partials of this node with
# respect to that input.
# \partial{node}{input_i}
def forward(self):
'''
Forward propagation.
Compute the output value vased on 'inbound_nodes' and store the
result in self.value
'''
raise NotImplemented
def backward(self):
raise NotImplemented
class Node:
def __init__(self, inputs=[], name=None, is_trainable=True):
self.inputs = inputs
self.outputs = []
self.name = name
self.is_trainable = is_trainable
for n in self.inputs:
n.outputs.append(self)
self.value = None
self.gradients = {}
def forward(self):
raise NotImplementedError
def backward(self):
raise NotImplementedError
def __repr__(self):
return self.name
class Placeholder(Node):
def __init__(self, name, is_trainable=True):
Node.__init__(self, name=name, is_trainable=is_trainable)
def forward(self, value=None):
if value is not None: self.value = value
def backward(self):
self.gradients = {}
for n in self.outputs:
self.gradients[self] = n.gradients[self] * 1
class Linear(Node):
def __init__(self, x=None, weigth=None, bias=None, name=None, is_trainable=False):
Node.__init__(self, [x, weigth, bias], name=name, is_trainable=is_trainable)
def forward(self):
k, x, b = self.inputs[1], self.inputs[0], self.inputs[2]
self.value = k.value * x.value + b.value
def backward(self):
k, x, b = self.inputs[1], self.inputs[0], self.inputs[2]
for n in self.outputs:
grad_cost = n.gradients[self]
self.gradients[k] = grad_cost * x.value
self.gradients[x] = grad_cost * k.value
self.gradients[b] = grad_cost * 1
class Sigmoid(Node):
def __init__(self, x, name=None, is_trainable=False):
Node.__init__(self, [x], name=name, is_trainable=is_trainable)
self.x = self.inputs[0]
def _sigmoid(self, x):
return 1. / (1 + np.exp(-1 * x))
def forward(self):
self.value = self._sigmoid(self.x.value)
def partial(self):
return self._sigmoid(self.x.value) * (1 - self._sigmoid(self.x.value))
def backward(self):
for n in self.outputs:
grad_cost = n.gradients[self]
self.gradients[self.x] = grad_cost * self.partial()
# print(self.gradients)
class Relu(Node):
def __init__(self, x, name=None, is_trainable=False):
Node.__init__(self, [x], name=name, is_trainable=is_trainable)
self.x = x
def forward(self):
self.value = self.x.value * (self.x.value > 0)
def backward(self):
for n in self.outputs:
grad_cost = n.gradients[self]
self.gradients[self.x] = grad_cost * (self.x.value > 0)
class L2_LOSS(Node):
def __init__(self, y, y_hat, name=None, is_trainable=False):
Node.__init__(self, [y, y_hat], name=name, is_trainable=is_trainable)
self.y = y
self.y_hat = y_hat
def forward(self):
y_v = np.array(self.y.value)
yhat_v = np.array(self.y_hat.value)
self.value = np.mean((y_v - yhat_v) ** 2)
def backward(self):
# 1/n sum (y- yhat)**2
y_v = np.array(self.y.value)
yhat_v = np.array(self.y_hat.value)
self.gradients[self.y] = 2 * np.mean((y_v - yhat_v))
self.gradients[self.y_hat] = -2 * np.mean((y_v - yhat_v))
# print(self.gradients)
def topological_sort_feed_dict(feed_dict):
graph = convert_feed_dict_to_graph(feed_dict)
return toplogic(graph)
def convert_feed_dict_to_graph(feed_dict):
computing_graph = defaultdict(list)
nodes = [n for n in feed_dict]
while nodes:
n = nodes.pop(0)
if isinstance(n, Placeholder):
n.value = feed_dict[n]
if n in computing_graph: continue
for m in n.outputs:
computing_graph[n].append(m)
nodes.append(m)
return computing_graph
def forward_and_backward(graph_order, monitor=False):
# 整体的参数就更新了一次
for node in graph_order:
if monitor:
print('forward computing -- {}'.format(node))
node.forward()
for node in graph_order[::-1]:
if monitor:
print('backward computing -- {}'.format(node))
node.backward()
def optimize(graph, learning_rate=1e-2):
# there are so many other update / optimization methods
# such as Adam, Mom,
for t in graph:
if t.is_trainable:
t.value += -1 * learning_rate * t.gradients[t]
from tqdm import tqdm_notebook
from collections import defaultdict
import numpy as np
import random
data = load_boston()
X_, y_ = data['data'], data['target']
X_rm = X_[:, 5]
w1_, b1_ = np.random.normal(), np.random.normal()
w2_, b2_ = np.random.normal(), np.random.normal()
w3_, b3_ = np.random.normal(), np.random.normal()
X, y = Placeholder(name='X', is_trainable=False), Placeholder(name='y', is_trainable=False)
w1, b1 = Placeholder(name='w1'), Placeholder(name='b1')
w2, b2 = Placeholder(name='w2'), Placeholder(name='b2')
# build model
output1 = Linear(X, w1, b1, name='linear-01')
output2 = Sigmoid(output1, name='activation')
#output2 = Relu(output1, name='activation')
y_hat = Linear(output2, w2, b2, name='y_hat')
cost = L2_LOSS(y, y_hat, name='cost')
feed_dict = {
X: X_rm,
y: y_,
w1: w1_,
w2: w2_,
b1: b1_,
b2: b2_,
}
graph_sort = topological_sort_feed_dict(feed_dict)
epoch = 5000
batch_num = 100
learning_rate = 1e-3
losses = []
for e in tqdm_notebook(range(epoch)):
loss = 0
for b in range(batch_num):
index = np.random.choice(range(len(X_rm)))
X.value = X_rm[index]
y.value = y_[index]
forward_and_backward(graph_sort, monitor=False)
optimize(graph_sort, learning_rate)
# if e % 100000 == 0:
# print('cost==', cost.value)
loss += cost.value
losses.append(loss / batch_num)
def predicate(x, graph):
X.value = x
forward_and_backward(graph_sort)
return y_hat.value
plt.plot(losses)

plt.scatter(X_rm, y_)
plot_x = np.linspace(min(X_rm), max(X_rm), 1000)
plt.scatter(plot_x, [predicate(x, graph_sort) for x in plot_x], s=30)

import numpy as np
import random
class Node:
def __init__(self, inputs=[]):
self.inputs = inputs
self.outputs = []
for n in self.inputs:
n.outputs.append(self)
# set 'self' node as inbound_nodes's outbound_nodes
self.value = None
self.gradients = {}
# keys are the inputs to this node, and their
# values are the partials of this node with
# respect to that input.
# \partial{node}{input_i}
def forward(self):
'''
Forward propagation.
Compute the output value vased on 'inbound_nodes' and store the
result in self.value
'''
raise NotImplemented
def backward(self):
raise NotImplemented
class Placeholder(Node):
def __init__(self):
'''
An Input node has no inbound nodes.
So no need to pass anything to the Node instantiator.
'''
Node.__init__(self)
def forward(self, value=None):
'''
Only input node is the node where the value may be passed
as an argument to forward().
All other node implementations should get the value of the
previous node from self.inbound_nodes
Example:
val0: self.inbound_nodes[0].value
'''
if value is not None:
self.value = value
## It's is input node, when need to forward, this node initiate self's value.
# Input subclass just holds a value, such as a data feature or a model parameter(weight/bias)
def backward(self):
self.gradients = {self:0}
for n in self.outputs:
grad_cost = n.gradients[self]
self.gradients[self] = grad_cost * 1
# input N --> N1, N2
# \partial L / \partial N
# ==> \partial L / \partial N1 * \ partial N1 / \partial N
class Add(Node):
def __init__(self, *nodes):
Node.__init__(self, nodes)
def forward(self):
self.value = sum(map(lambda n: n.value, self.inputs))
## when execute forward, this node caculate value as defined.
class Linear(Node):
def __init__(self, nodes, weights, bias):
Node.__init__(self, [nodes, weights, bias])
def forward(self):
inputs = self.inputs[0].value
weights = self.inputs[1].value
bias = self.inputs[2].value
self.value = np.dot(inputs, weights) + bias
def backward(self):
# initial a partial for each of the inbound_nodes.
self.gradients = {n: np.zeros_like(n.value) for n in self.inputs}
for n in self.outputs:
# Get the partial of the cost w.r.t this node.
grad_cost = n.gradients[self]
self.gradients[self.inputs[0]] = np.dot(grad_cost, self.inputs[1].value.T)
self.gradients[self.inputs[1]] = np.dot(self.inputs[0].value.T, grad_cost)
self.gradients[self.inputs[2]] = np.sum(grad_cost, axis=0, keepdims=False)
# WX + B / W ==> X
# WX + B / X ==> W
class Sigmoid(Node):
def __init__(self, node):
Node.__init__(self, [node])
def _sigmoid(self, x):
return 1./(1 + np.exp(-1 * x))
def forward(self):
self.x = self.inputs[0].value
self.value = self._sigmoid(self.x)
def backward(self):
self.partial = self._sigmoid(self.x) * (1 - self._sigmoid(self.x))
# y = 1 / (1 + e^-x)
# y' = 1 / (1 + e^-x) (1 - 1 / (1 + e^-x))
self.gradients = {n: np.zeros_like(n.value) for n in self.inputs}
for n in self.outputs:
grad_cost = n.gradients[self] # Get the partial of the cost with respect to this node.
self.gradients[self.inputs[0]] = grad_cost * self.partial
# use * to keep all the dimension same!.
class MSE(Node):
def __init__(self, y, a):
Node.__init__(self, [y, a])
def forward(self):
y = self.inputs[0].value.reshape(-1, 1)
a = self.inputs[1].value.reshape(-1, 1)
assert(y.shape == a.shape)
self.m = self.inputs[0].value.shape[0]
self.diff = y - a
self.value = np.mean(self.diff**2)
def backward(self):
self.gradients[self.inputs[0]] = (2 / self.m) * self.diff
self.gradients[self.inputs[1]] = (-2 / self.m) * self.diff
def forward_and_backward(outputnode, graph):
# execute all the forward method of sorted_nodes.
## In practice, it's common to feed in mutiple data example in each forward pass rather than just 1. Because the examples can be processed in parallel. The number of examples is called batch size.
for n in graph:
n.forward()
## each node execute forward, get self.value based on the topological sort result.
for n in graph[::-1]:
n.backward()
#return outputnode.value
### v --> a --> C
## b --> C
## b --> v -- a --> C
## v --> v ---> a -- > C
def toplogic(graph):
sorted_node = []
while len(graph) > 0:
all_inputs = []
all_outputs = []
for n in graph:
all_inputs += graph[n]
all_outputs.append(n)
all_inputs = set(all_inputs)
all_outputs = set(all_outputs)
need_remove = all_outputs - all_inputs # which in all_inputs but not in all_outputs
if len(need_remove) > 0:
node = random.choice(list(need_remove))
need_to_visited = [node]
if len(graph) == 1: need_to_visited += graph[node]
graph.pop(node)
sorted_node += need_to_visited
for _, links in graph.items():
if node in links: links.remove(node)
else: # have cycle
break
return sorted_node
from collections import defaultdict
def convert_feed_dict_to_graph(feed_dict):
computing_graph = defaultdict(list)
nodes = [n for n in feed_dict]
while nodes:
n = nodes.pop(0)
if isinstance(n, Placeholder):
n.value = feed_dict[n]
if n in computing_graph: continue
for m in n.outputs:
computing_graph[n].append(m)
nodes.append(m)
return computing_graph
def topological_sort_feed_dict(feed_dict):
graph = convert_feed_dict_to_graph(feed_dict)
return toplogic(graph)
def optimize(trainables, learning_rate=1e-2):
# there are so many other update / optimization methods
# such as Adam, Mom,
for t in trainables:
t.value += -1 * learning_rate * t.gradients[t]
import numpy as np
from sklearn.datasets import load_boston
from sklearn.utils import shuffle, resample
#from miniflow import *
# Load data
data = load_boston()
X_ = data['data']
y_ = data['target']
# Normalize data
X_ = (X_ - np.mean(X_, axis=0)) / np.std(X_, axis=0)
n_features = X_.shape[1]
n_hidden = 10
W1_ = np.random.randn(n_features, n_hidden)
b1_ = np.zeros(n_hidden)
W2_ = np.random.randn(n_hidden, 1)
b2_ = np.zeros(1)
# Neural network
X, y = Placeholder(), Placeholder()
W1, b1 = Placeholder(), Placeholder()
W2, b2 = Placeholder(), Placeholder()
l1 = Linear(X, W1, b1)
s1 = Sigmoid(l1)
l2 = Linear(s1, W2, b2)
cost = MSE(y, l2)
feed_dict = {
X: X_,
y: y_,
W1: W1_,
b1: b1_,
W2: W2_,
b2: b2_
}
epochs = 5000
# Total number of examples
m = X_.shape[0]
batch_size = 16
steps_per_epoch = m // batch_size
graph = topological_sort_feed_dict(feed_dict)
trainables = [W1, b1, W2, b2]
print("Total number of examples = {}".format(m))
losses = []
for i in range(epochs):
loss = 0
for j in range(steps_per_epoch):
# Step 1
# Randomly sample a batch of examples
X_batch, y_batch = resample(X_, y_, n_samples=batch_size)
# Reset value of X and y Inputs
X.value = X_batch
y.value = y_batch
# Step 2
_ = None
forward_and_backward(_, graph) # set output node not important.
# Step 3
rate = 1e-2
optimize(trainables, rate)
loss += graph[-1].value
if i % 100 == 0:
print("Epoch: {}, Loss: {:.3f}".format(i+1, loss/steps_per_epoch))
losses.append(loss/steps_per_epoch)
版权声明:本文为qq_34539676原创文章,遵循CC 4.0 BY-SA版权协议,转载请附上原文出处链接和本声明。