问题描述
如图所示,在A处有一水库,现需要从A点铺设一条管道到E点,边上的数字表示与其相连的两个地点之间所需修建的管道长度用c数组表示, 例如c(A,B1)=2。现要找出一条从A到E的修建线路,使得所需修建的管道长度最短。
求解思路
对于有k个阶段的动态规划问题,从第k阶段到第1阶段的求解过程称为逆序解法,从第1阶段到第k阶段的求解过程称为顺序解法。
动态规划逆序解法
给出图的状态转移方程f(s)的递推顺序是从后向前,即E-→A,对应逆序解法。
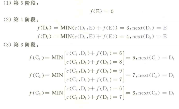
用next表示路径.上一个顶点的后继顶点,其求解A到E最短路径的过程如下

逆序实现代码
#include <iostream>
#include <cstring>
using namespace std;
#define INF 0x3f3f3f3f
#define MAX 21
int n=10;
int c[MAX][MAX];
int pre[MAX];
int dp[MAX];
void Init(){
memset(c,0,sizeof(c));
memset(dp,0,sizeof(dp));
memset(pre,0,sizeof(pre));
for(int j=0;j<n;j++){
c[j][j]=0;
}
c[0][1]=2;c[0][2]=4;c[0][3]=3;
c[1][4]=7;c[1][5]=4;
c[2][4]=3;c[2][5]=2;c[2][6]=4;
c[3][4]=6;c[3][5]=2;c[3][6]=5;
c[4][7]=3;c[4][8]=4;
c[5][7]=6;c[5][8]=3;
c[6][7]=3;c[6][8]=3;
c[7][9]=3;
c[8][9]=4;
}
int main() {
Init();
for(int i=n-2;i>=0;i--){
dp[i]=INF;
for(int j=i;j<n;j++){
if(c[i][j]!=0){
if(c[i][j]+dp[j]<dp[i]){
pre[i]=j;
dp[i]=c[i][j]+dp[j];
}
}
}
}
cout<<dp[0]<<endl;
cout<<"最短路径为"<<endl;
int i=0;
cout<<"0-->";
while(true){
cout<<pre[i];
i=pre[i];
if(i==9)
break;
cout<<"-->";
}
return 0;
}
动态规划逆序解法
对于图8. 4,顺序解法是从源点出发,求出到达当前状态的最短路径,再考虑下一个阶段,直到终点E。对应的状态转移方程如下:
pre 表示路径,上一个顶点的前驱顶点,其求解 A到E最短路径的过程 如下。
顺序实现代码
#include <iostream>
#include <cstring>
using namespace std;
#define INF 0x3f3f3f3f
int main() {
int n=10,k=1,j=1;
int c[n][n];
int pre[n];
int dp[n];
memset(c,0,sizeof(c));
memset(dp,0,sizeof(dp));
memset(pre,0,sizeof(pre));
int cost=0;
dp[0]=0;
c[0][1]=2;c[0][2]=4;c[0][3]=3;
c[1][4]=7;c[1][5]=4;
c[2][4]=3;c[2][5]=2;c[2][6]=4;
c[3][4]=6;c[3][5]=2;c[3][6]=5;
c[4][7]=3;c[4][8]=4;
c[5][7]=6;c[5][8]=3;
c[6][7]=3;c[6][8]=3;
c[7][9]=3;
c[8][9]=4;
for(k=1;k<n;k++){//先算和0连着的3个点,不用比大小,所以可以先算
if(c[0][k]!=0){
dp[k]=dp[0]+c[0][k];
}
else{
break;
}
}
int mini;//记录最小点的序号
for(j=k;j<n;j++){
int mincost=INF;//记录最短距离
for(int i=1;i<n;i++){
if(c[i][j]!=0){
cost=dp[i]+c[i][j];//计算每两个链接点的距离
if(mincost>cost){//替换最小距离
mincost=cost;
mini=i;
}
}
}
dp[j]=mincost;//记录到节点j的最小距离
pre[j]=mini;//记录到节点j最近的点
}
cout<<dp[9]<<endl;
int i=9;
cout<<"9<--";
while(true){
cout<<pre[i];
i=pre[i];
if(i==0)
break;
cout<<"<--";
}
return 0;
}
版权声明:本文为yijiangzhao原创文章,遵循CC 4.0 BY-SA版权协议,转载请附上原文出处链接和本声明。