文章目录
一、学习任务
1、计算几何是研究什么的?
2、计算几何理论中(或凸集中)过两点的一条直线的表达式,是如何描述的?与初中数学中那些直线方程有什么差异?有什么好处?(按自己的体会)
3、凸集是什么? 直线是凸集吗?是仿射集吗?
4、三维空间中的一个平面,如何表达?
5、更高维度的“超平面”,如何表达?
6、什么是“凸函数”定义?什么是Hessian Matrix 矩阵? 如何判别一个函数是凸函数?f(x)=x^3 函数是凸函数吗?
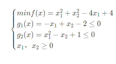
7、什么是“凸规划”?如何判别一个规划问题是凸规划问题。下例是凸规划问题吗?
二、学习内容
1.计算几何
1.1.计算几何 的定义
计算几何是指的对几何外形信息的计算机表示、分析和综合。
1.几何外形信息
那些用来确定某些几何外形的离散数据点或特征多边形2.计算机表示
按照给定的信息,建立一定的数学模型,再通过计算机进行计算,求得其他所需的信息3.分析和综合
对所建立的数学模型特性及误差等进行分析、综合,以便逼真地反映出几何形体
1.2.直线表达

2.
2.凸集
2.1.定义
凸集(convex set)是在凸组合下闭合的仿射空间的子集。
更具体地说,在欧氏空间中,凸集是对于集合内的每一对点,连接该对点的直线段上的每个点也在该集合内。(任何中空的或具有凹痕的都不是凸集)
仿射集亦称仿射流形、线性流形、仿射簇,是实线性空间中的一类子集。
非空间射集 M 的维数定义为上述子空间 L 的维数。空集的维数定义为-1。维数分别为0、1,以及2的仿射集为点、直线和平面
2.2.平面表达

2.3.超平面表达

3.凸函数
3.1.定义

3.2.Hessian Matrix 矩阵
Hessen矩阵是是一个多元函数的二阶偏导数构成的方阵,描述了函数的局部曲率,利用Hessian矩阵可判定多元函数的极值问题
3.3.判别
对于一元函数f(x),我们可以通过其二阶导数f′′(x)的符号来判断。如果函数的二阶导数总是非负,即f′′(x)≥0 ,则f(x)是凸函数
对于多元函数f(X),我们可以通过其Hessian矩阵(Hessian矩阵是由多元函数的二阶导数组成的方阵)的正定性来判断。如果Hessian矩阵是半正定矩阵,则是f(X)凸函数
判别f ( x ) = x 3 {f(x)=x^3}f(x)=x
函数是否为凸函数
①对f(x)求二阶导
y’’=6x
②判断二阶导的值
x>0, y’‘非负,x<0 y’'为负,所以函数不是凹函数。
4.凸规划
4.1.定义

4.2.判别
1.判断f(x)是否为凸函数
2.判断不等式约束函数是否为凸函数
3.例子