【泛函分析】 3 赋范线性空间上的有界线性算子

1  有界线性算子

 1.1  定义与性质

设X,Y是(统一数域\mathbb{K}上)赋范线性空间,D\sqsubset X为X的线性子空间,T:D\rightarrow Y

  • 线性算子(齐次可加):T(ax+by)=aTx+bTy,\, \forall x,y\in X,a,b\in \mathbb{K}
  • 有界算子:存在常数M,使得\left \| Tx \right \|\leq M\left \| x \right \|,\,\forall x\in D

几个等价命题:

   1.T一致连续;2.T连续;3.T在x=\theta处连续;4.对任一有界集A\sqsubset XT(A)是Y中的有界集;

   5.T有界;6.\exists k,\left \| Tx \right \|\leq k,\left \| x \right \|\leq 1

 1.2  算子范数、算子空间

  B(X,Y)表示X到Y的一切有界线性算子的全体,对T_{1},T_{2}\in B(X,Y),定义

                                                   (aT_{1}+bT_{2})(x)=aT_{1}x+bT_{2}x,\forall x\in X,a,b\in \mathbb{K}

B(X,Y)是线性空间。(共轭空间?)

算子范数\left \| T \right \|=sup\frac{\left \| Tx \right \|}{\left \| x \right \|}=sup \left\{ \left \| Tx \right \|,\left \| x \right \|\leq 1\right \}=sup\left \{ \left \| Tx \right \|,\left \| x \right \|=1 \right \}

【如果Y是Banach空间,则B(X,Y)也是Banach空间。】

[1]

 1.3 开映射、闭图像、共鸣定理

  • open-mapping:设X,Y是Banach空间,T:X\rightarrow Y为有界线性算子,如果T(X)是Y中的第二纲集,则存在K>0,使得(满射)对于\forall y\in Y,\exists x\in X,使得y=Tx,且有\left \| x \right \|\leq K\left \| Tx \right \|【则对X中任一开集G,T(G)是Y中开集】
  • 闭图像:设X,Y是Banach空间,T:X\rightarrow Y为闭算子,则T是有界的
  • 共鸣(一致有界):设X是Banach空间,Y是赋范线性空间,T_{_{\alpha }}:X\rightarrow Y为有界线性算子。如果对于\forall x\in X,都有sup\left \| T_{\alpha }(x) \right \|<\infty,则sup\left \| T_{\alpha }\right \|<\infty

[1]

2  延拓与Hahn-Banach定理

 2.1 延拓

设E是线性空间,f_{1},f_{2}分别是定义在E的子空间G_{1},G_{2}上的线性泛函,如果满足一下两个条件:

(1)G_{1}\sqsubset G_{2}

(2)f_{1}(x)=f_{2}(x),\forall x\in G_{1}

则称f_{2}f_{1}G_{2}上的延拓。

 2.2  HBT

  • 实:设G为实线性空间E的子空间,f是定义在G上的实线性泛函,p是定义在E上的次可加正齐泛函。f与p满足:f(x)\leq p(x),\forall x\in G,则必存在定义在E上的实线性泛函f_{0},满足(1)f_{0}(x)=f(x),\forall x\in G;(2)f_{0}(x)\leq p(x),\forall x\in E
  • 复:设G为复线性空间E的子空间,f是定义在G上的线性泛函,p是定义在E上的半范。f与p满足:|f(x)|\leq p(x),\forall x\in G,则必存在定义在E上的实线性泛函f_{0},满足(1)f_{0}(x)=f(x),\forall x\in G;(2)|f_{0}(x)|\leq p(x),\forall x\in E

 2.3  保范延拓

 

  • 定理:设E是B^{*}空间,G是E的线性子空间,f是G上的有界线性泛函,则必存在E上的有界线性泛函f_{0},满足:(1)f_{_{0}}(x)=f(x),\forall x\in E;(2)\left \| f_{0} \right \|=\left \| f \right \|_{G}
  •  推论:设E是B^{*}空间,G是E的线性子空间,x_{0}\in E/G,若dist(x_{0},G)=inf(x_{0},x)=\delta >0,则存在E上的有界线性泛函f,使(1)f(x)=0,\forall x \in G;(2)\left \| f \right \|=\frac{1}{\delta },f\left ( x_{0} \right )=1
  • 【证明思路】构造f满足以上条件,令f(\alpha x_{0}+x)=\alpha\alpha x_{0}+x\in G_{_{1}}显然其满足f(x)=0,\forall x \in G

f\left(x_{0} \right )=1。下证其满足

\left \| f \right \|=\frac{1}{\delta }

(1)\left \| \alpha x_{0}+x \right \|=\left | \alpha \right |\left \| x_{_{_{0}}}+\frac{x}{\alpha } \right \|\geq \left | \alpha \right |\delta,即\left | f\left ( \alpha x_{0} \right )+x \right |=\left | \alpha \right |\leq \frac{1}{\delta }\left \| \alpha x_{_{0}}+x\right \|。(\left \| f \right \|_{G_{1}}\leq \frac{1}{\delta }

(2)\left \| f \right \|_{G_{1}}\left \| x_{0}-x_{n} \right \|\geq \left | f(x_{0})-f(x_{n}) \right |=\left | f(x_{0}) \right |=1。(\left \| f \right \|_{G_{1}}\geq \frac{1}{\delta }

3  第二共轭空间  自然嵌入映射  自反空间

3.1  第二共轭空间

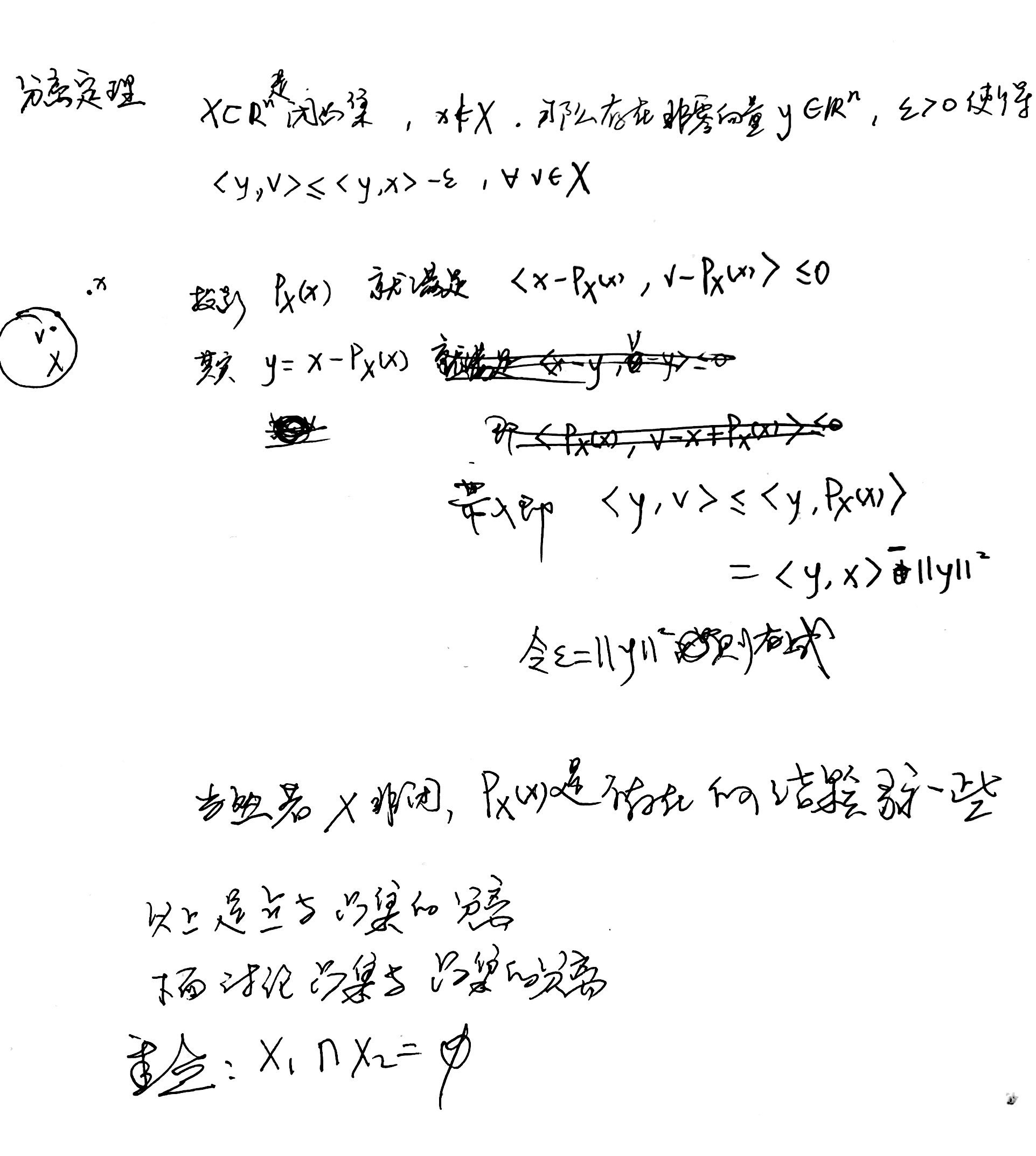
凸集分离定理

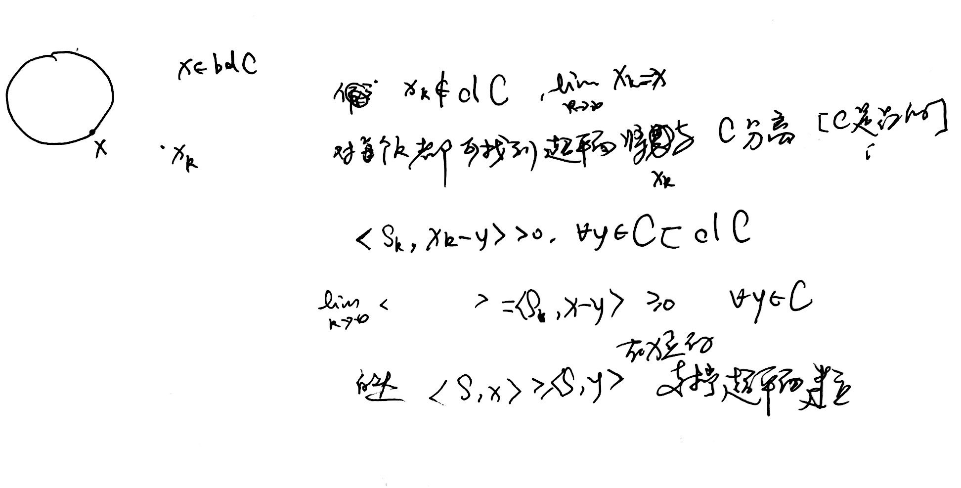
但是如果只满足riX_1 \cap riX_2=\O,结论有什么变化?

在C边界bdC上一点可以建立一个支撑超平面

 

      

参考文献:

[1]Hongxin Zhang 2007-06-21 State Key Lab of CAD&CG, ZJU


版权声明:本文为weixin_38716567原创文章,遵循CC 4.0 BY-SA版权协议,转载请附上原文出处链接和本声明。