当特征值变得非常多的时候,普通的逻辑回归模型就不能非常有效的处理这些特征了。这个时候我们就需要用神经网络来进行处理。
模型展示(Model Representation):
下图是一个神经网络的模型,它建立在很多神经元之上,每一个神经元又是一个个学习模型,这些神经元也叫激活单元(activate unit)采纳一些特征作为输入,并且根据本身的模型提供一个输出。

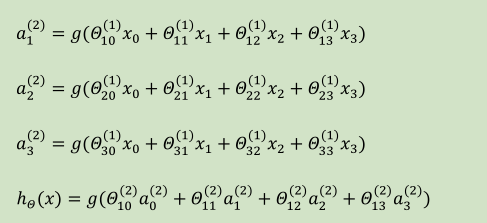
Layer 1 叫做输入层,Layer 3 叫做输出层,Layer 2 叫做隐藏层,一般的,除了输入层和输出层之外都叫隐藏层。每一层我们都会为它增加一个偏差单位(bias unit)。因此第j层权重矩阵的维数等于j+1的神经元个数乘以第j层的神经元个数加上1。


这里的函数g我们也称之为sigmoid activate function 也就是Logistic activate function。a通常表示隐藏层的神经元。
对每个神经元来说都有自己的权重参数,这种从左到右的算法叫做前向传播算法。
在神经网络的最后一层实际上就是一种逻辑回归,只不过他输入的特征不是原始的特征,而是经过若干层隐藏层计算之后的高级特征,能够更好的预测新数据。
在神经网络中,单层神经元的计算可以用来表示逻辑运算,比如逻辑与和逻辑或。



为了表示更复杂的运算,我们可以通过将神经元组合起来从而实现更复杂的运算。

我们可以通过组合神经元的方式逐渐构造出越来越复杂的函数,也能得到更加厉害的特征值,这就是神经网络的厉害之处。
版权声明:本文为blue_coffeei原创文章,遵循CC 4.0 BY-SA版权协议,转载请附上原文出处链接和本声明。