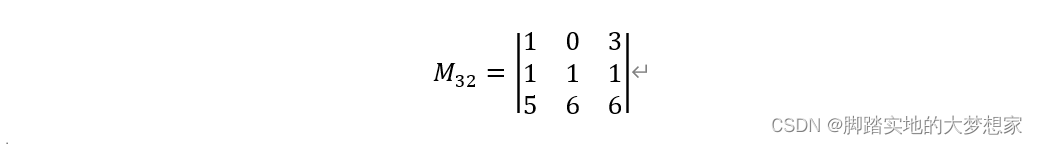
第i行第j列元素的余子式表示为:Mij
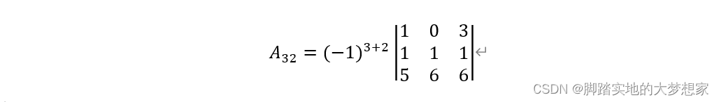
第i行第j列元素的代数余子式表示为:Aij
余子式

那么存在第三行第二个的余子式:去掉所在行所在列所有元素:
代数余子式

那么存在第三行第二个的代数余子式:余子式加上符号
观察可以发现余子式与代数余子式的关系:
且代数余子式的展开可以求得行列式D的值:
代数余子式求行列式D的值
假设有行列式D:
可通过代数余子式求和的方法求解行列式D的值:
异乘变零定理
定理:行列式中某行元素与另一行元素的代数余子式乘积之和为0。
举例证明:
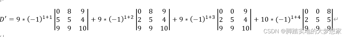
用第四行元素与第一行元素的代数余子式相乘得到D’:
我们先不求其值,更改行列式D的第一行,使得满足新行列式B=0,有:
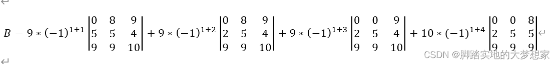
求行列式B的值,使用代数余子式求值进行展开:
可以发现B的展开与D’的展开相同,所以D’=B=0
版权声明:本文为weixin_43098506原创文章,遵循CC 4.0 BY-SA版权协议,转载请附上原文出处链接和本声明。