一、随机事件和概率
1:互斥,对立,独立事件的定义和性质。
互斥事件 \color{red}\textbf{互斥事件}互斥事件
事件A和B的交集为空,A与B就是互斥事件,也叫互不相容事件。也可叙述为:不可能同时发生的事件。如A∩B为不可能事件(A∩B=Φ),那么称事件A与事件B互斥,其含义是:事件A与事件B在任何一次试验中不会同时发生。
则P(A+B)=P(A)+P(B)(这个公式何时成立在我一面thu叉院的时候被问到过,我神tm就答了一个相互独立/(ㄒoㄒ)/~~)且P(A)+P(B)≤1
对立事件 \color{red}\textbf{对立事件}对立事件
若A交B为不可能事件,A并B为必然事件,那么称A事件与事件B互为对立事件,其含义是:事件A和事件B必有一个且仅有一个发生。
对立事件概率之间的关系:P(A)+P(B)=1。例如,在掷骰子试验中,A={出现的点数为偶数},b={出现的点数为奇数},A∩B为不可能事件,A∪B为必然事件,所以A与B互为对立事件。
互斥事件与对立事件两者的联系在于:对立事件属于一种特殊的互斥事件。
它们的区别可以通过定义看出来:一个事件本身与其对立事件的并集等于总的样本空间;而若两个事件互为互斥事件,表明一者发生则另一者必然不发生,但不强调它们的并集是整个样本空间。即对立必然互斥,互斥不一定会对立。
独立事件 \color{red}\textbf{独立事件}独立事件
设A,B是试验E的两个事件,若P ( A ) > 0 P(A)>0P(A)>0,可以定义P ( B ∣ A ) P(B∣A)P(B∣A).一般A的发生对B发生的概率是有影响的,所以条件概率P ( B ∣ A ) ≠ P ( B ) P(B∣A)≠P(B)P(B∣A)=P(B),而只有当A的发生对B发生的概率没有影响的时候(即A与B相互独立)才有条件概率P ( B ∣ A ) = P ( B ) P(B∣A)=P(B)P(B∣A)=P(B).这时,由乘法定理P ( A ∩ B ) = P ( B ∣ A ) P ( A ) = P ( A ) P ( B ) . P(A∩B)=P(B∣A)P(A)=P(A)P(B).P(A∩B)=P(B∣A)P(A)=P(A)P(B).
定义:设A,B是两事件,如果满足等式P ( A ∩ B ) = P ( A B ) = P ( A ) P ( B ) P(A∩B)=P(AB)=P(A)P(B)P(A∩B)=P(AB)=P(A)P(B),则称事件A,B相互独立,简称A,B独立.
容易推广:设A,B,C是三个事件,如果满足P ( A B ) = P ( A ) P ( B ) P(AB)=P(A)P(B)P(AB)=P(A)P(B),P ( B C ) = P ( B ) P ( C ) P(BC)=P(B)P(C)P(BC)=P(B)P(C),P ( A C ) = P ( A ) P ( C ) P(AC)=P(A)P(C)P(AC)=P(A)P(C),P ( A B C ) = P ( A ) P ( B ) P ( C ) P(ABC)=P(A)P(B)P(C)P(ABC)=P(A)P(B)P(C),则称事件A,B,C相互独立
更一般的定义是,A 1 , A 2 , … … , A n A1,A2,……,AnA1,A2,……,An是n ( n ≥ 2 ) n(n≥2)n(n≥2)个事件,如果对于其中任意2个,任意3个,…任意n个事件的积事件的概率,都等于各个事件概率之积,则称事件A 1 , A 2 , … , A n A1,A2,…,AnA1,A2,…,An相互独立
2:概率,条件概率和五大概率公式
概率公理与条件概率 \color{red}\textbf{概率公理与条件概率}概率公理与条件概率
什么是概率?设实验E的样本空间为Ω \OmegaΩ,则称实值函数P PP为概率,如果P PP满足下列三个条件
- 对于任意事件A,满足P ( A ) ≥ 0 P(A)\geq0P(A)≥0
- 对于必然事件Ω \OmegaΩ有P ( A ) = 1 P(A)=1P(A)=1
- 对于两两互斥的可数无穷个事件A 1 , A 2 , . . . , A N . . . A_1,A_2,...,A_N...A1,A2,...,AN...,有
P ( A 1 ∪ A 2 ∪ . . . ∪ A N ∪ . . . ) = P ( A 1 ) + P ( A 2 ) + . . . + P ( A N ) + . . . P(A_1\cup A_2\cup...\cup A_N\cup...)=P(A_1)+P(A_2)+...+P(A_N)+...P(A1∪A2∪...∪AN∪...)=P(A1)+P(A2)+...+P(AN)+...
什么是条件概率?设A , B A,BA,B为两个事件,且P ( A ) > 0 P(A)>0P(A)>0,称
P ( B ∣ A ) = P ( A B ) P ( A ) P(B|A)=\frac{P(AB)}{P(A)}P(B∣A)=P(A)P(AB)
为在事件A发生的条件下事件B发生的条件概率。
五大概率公式 \color{red}\textbf{五大概率公式}五大概率公式
- 加法公式:P ( A ∪ B ) = P ( A ) + P ( B ) − P ( A B ) P(A\cup B)=P(A)+P(B)-P(AB)P(A∪B)=P(A)+P(B)−P(AB),P(A∪B∪C)=P(A)+P(B)+P©-P(AB)-P(BC)-P(AC)+P(ABC).
- 减法公式:P ( A − B ) = P ( A ) − P ( A B ) P(A-B)=P(A)-P(AB)P(A−B)=P(A)−P(AB)
- 乘法公式:当P ( A ) > 0 P(A)>0P(A)>0时,P ( A B ) = P ( A ) P ( B ∣ A ) P(AB)=P(A)P(B|A)P(AB)=P(A)P(B∣A)
- 全概率公式:设B 1 , B 2 , . . . , B n B_1,B_2,...,B_nB1,B2,...,Bn为样本区间内概率均不为零的一个完备事件组,则对任意事件A AA,有P ( A ) = ∑ i = 1 n P ( B i ) P ( A ∣ B i ) P(A)=\sum_{i=1}^n P(B_i)P(A|B_i)P(A)=∑i=1nP(Bi)P(A∣Bi)。
- 贝叶斯公式:设B 1 , B 2 , . . . , B n B_1,B_2,...,B_nB1,B2,...,Bn为样本区间内概率均不为零的一个完备事件组,则对任意事件A AA且P ( A ) > 0 P(A)>0P(A)>0,有
P ( B j ∣ A ) = P ( B j ) P ( A ) P ( A ) = P ( B j ) P ( A ∣ B j ) ∑ i = 1 n P ( B i ) P ( A ∣ B i ) P(B_j|A)=\frac{P(B_j)P(A)}{P(A)}=\frac{P(B_j)P(A|B_j)}{\sum_{i=1}^nP(B_i)P(A|B_i)}P(Bj∣A)=P(A)P(Bj)P(A)=∑i=1nP(Bi)P(A∣Bi)P(Bj)P(A∣Bj)
3:古典型,几何型概率和伯努利试验
古典型-能通过样本点数出来的概率 \color{red}\textbf{古典型-能通过样本点数出来的概率}古典型-能通过样本点数出来的概率
几何型:通过几何度量计算的概率 \color{red}\textbf{几何型:通过几何度量计算的概率}几何型:通过几何度量计算的概率
伯努利试验:独立重复实验 \color{red}\textbf{伯努利试验:独立重复实验}伯努利试验:独立重复实验
伯努利试验(Bernoulli experiment)是在同样的条件下重复地、相互独立地进行的一种随机试验,其特点是该随机试验只有两种可能结果:发生或者不发生。我们假设该项试验独立重复地进行了n次,那么就称这一系列重复独立的随机试验为n重伯努利试验,或称为伯努利概型。单个伯努利试验是没有多大意义的,然而,当我们反复进行伯努利试验,去观察这些试验有多少是成功的,多少是失败的,事情就变得有意义了,这些累计记录包含了很多潜在的非常有用的信息。
4:易错问题汇总
- P ( A ∪ B ) = 1 P(A\cup B)=1P(A∪B)=1不能推出A ∪ B = Ω A\cup B=\OmegaA∪B=Ω,同样P ( A B ) = 0 P(AB)=0P(AB)=0也不能推出A B = ∅ AB=\emptysetAB=∅。这两个关系只能从右往左推,仅给出概率是得不到事件的结论的。
二、随机变量及其分布
1:随机变量及其分布函数
随机变量 \color{red}\textbf{随机变量}随机变量
在样本空间Ω \OmegaΩ上的实值函数X = X ( ω ) , ω ∈ Ω X=X(\omega),\omega\in\OmegaX=X(ω),ω∈Ω称为随机变量,简记为X XX。随机变量不是一个变量,而是实值函数。
分布函数 \color{red}\textbf{分布函数}分布函数
分布函数(英文Cumulative Distribution Function, 简称CDF),是概率统计中重要的函数,正是通过它,可用数学分析的方法来研究随机变量。分布函数是随机变量最重要的概率特征,分布函数可以完整地描述随机变量的统计规律,并且决定随机变量的一切其他概率特征。
分布函数F ( x ) F(x)F(x)是定义在( − ∞ , ∞ ) (-\infty,\infty)(−∞,∞)上的一个实值函数,F ( x ) F(x)F(x)的值等于随机变量X XX在区间( − ∞ , x ] (-\infty,x](−∞,x]上取值的概率,即事件X ≤ x X\leq xX≤x的概率:
F ( x ) = P ( X ≤ x ) , x ∈ ( − ∞ , ∞ ) \color{blue}F(x)=P(X\leq x),x\in (-\infty,\infty)F(x)=P(X≤x),x∈(−∞,∞)
分布函数的性质主要有三条,单调不减,负无穷收敛到0lim x → + ∞ F ( x ) = 1 \lim_{x\rightarrow+\infty} F(x)=1limx→+∞F(x)=1,正无穷收敛到1。右连续性F ( x + 0 ) = F ( x ) F(x+0)=F(x)F(x+0)=F(x).
这三个条件同样是F ( x ) F(x)F(x)成为某一随机变量的分布函数的充分必要条件。
分布函数的定义对于离散型随机变量和连续型随机变量都是一致的,但是对于连续型随机变量而言,他还有概率密度
把随机变量的概率分布表推广到无限情况,就可以得到连续型随机变量的概率密度函数。 此时,随机变量取每个具体的值的概率为0,但在落在每一点处的概率是有相对大小的,描述这个概念的,就是概率密度函数。 你可以把这个想象成一个实心物体,在每一点处质量为0,但是有密度,即有相对质量大小,他有以下两条主要的性质。
2:常用分布
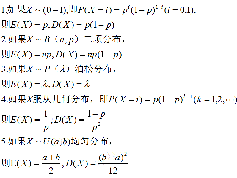
伯努利分布(0-1分布) \color{red}\textbf{伯努利分布(0-1分布)}伯努利分布(0-1分布)
0 — 1 0—10—1分布就是n = 1 n=1n=1情况下的二项分布。即只先进行一次事件试验,该事件发生的概率为p pp,不发生的概率为1 − p 1-p1−p。这是一个最简单的分布,任何一个只有两种结果的随机现象都服从0 − 1 0-10−1分布。
二项分布 \color{red}\textbf{二项分布}二项分布
一般地,如果随机变量X XX有分布律
则称X XX服从参数为n nn和p pp的二项分布,我们记为X ∼ B ( n , p ) X\thicksim B(n,p)X∼B(n,p)或X ∼ b ( n , p ) X\thicksim b(n,p)X∼b(n,p)。
含义:在n nn次独立重复的伯努利试验中,若每次实验的成功率为p pp,则在n nn次独立重复实验种成功的总次数X XX服从二项分布。当n = 1 n=1n=1时,二项分布退化为0 − 1 0-10−1分布。
几何分布 \color{red}\textbf{几何分布}几何分布
如果随机变量X XX的分布律为:
则称X XX服从参数为p pp的几何分布。
含义:在n nn次伯努利试验中,试验k kk次才得到第一次成功的机率服从几何分布
超几何分布 \color{red}\textbf{超几何分布}超几何分布
如果随机变量X XX的分布律为:
则称X XX服从参数为n , N , M n,N,Mn,N,M的超几何分布。
含义:如果N NN件产品中含有M MM件次品,从中任意一次取出n nn件(不放回依次取出n nn件),另X XX=抽取的n nn件产品中的次品件数,则X XX服从参数为n , N , M n,N,Mn,N,M的超几何分布。
如果有放回的取n nn次,那么服从B ( N , M N ) B(N,\frac{M}{N})B(N,NM)。
泊松分布 \color{red}\textbf{泊松分布}泊松分布
如果随机变量X XX的分布律为:
则称X XX服从参数为λ \lambdaλ的泊松分布,记为X ∼ P ( λ ) X\thicksim P(\lambda)X∼P(λ)。
泊松分布的参数λ是单位时间(或单位面积)内随机事件的平均发生次数。 泊松分布适合于描述单位时间内随机事件发生的次数。
在实际事例中,当一个随机事件,例如某电话交换台收到的呼叫、来到某公共汽车站的乘客、某放射性物质发射出的粒子、显微镜下某区域中的白血球等等,以固定的平均瞬时速率λ λλ(或称密度)随机且独立地出现时,那么这个事件在单位时间(面积或体积)内出现的次数或个数就近似地服从泊松分布P ( λ ) P(λ)P(λ)。
指数分布 \color{red}\textbf{指数分布}指数分布
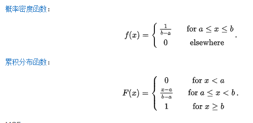
连续型均匀分布:如果连续型随机变量X XX具有如下的概率密度函数,
则称X XX服从 [ a , b ] [a,b][a,b]上的均匀分布(uniform distribution),记为X ∼ U ( a , b ) X\thicksim U(a,b)X∼U(a,b)。
正态分布 \color{red}\textbf{正态分布}正态分布
如果随机变量X XX的概率密度为:
其中μ , σ \mu,\sigmaμ,σ为常数而且σ > 0 \sigma>0σ>0,则称X XX服从参数为μ , σ \mu,\sigmaμ,σ的正态分布,记作X ∼ N ( μ , σ 2 ) X\thicksim N(\mu,\sigma^2)X∼N(μ,σ2)。当μ = 0 , σ 2 = 1 \mu=0,\sigma^2=1μ=0,σ2=1时,称X XX服从标准正态分布。
三、多维随机变量及其分布
1-二维随机变量及其分布
二维随机变量 \color{red}\textbf{二维随机变量}二维随机变量
设X = X ( = ω ) X=X(=\omega)X=X(=ω),Y = Y ( ω ) Y=Y(\omega)Y=Y(ω)是定义在样本空间Ω \OmegaΩ上的两个随机变量,则称向量( X , Y ) (X,Y)(X,Y)为二维随机变量或者随机向量。
二维随机变量的分布 \color{red}\textbf{二维随机变量的分布}二维随机变量的分布
F ( x , y ) = P ( X ≤ x , Y ≤ y ) F(x,y)=P(X\leq x,Y\leq y)F(x,y)=P(X≤x,Y≤y),该分布具有如下的性质
- 对任意的x , y x,yx,y,0 ≤ F ( x , y ) ≤ 1 0\leq F(x,y)\leq 10≤F(x,y)≤1
- F ( − ∞ , y ) = F ( x , − ∞ ) = F ( − ∞ , − ∞ ) = 0 , F ( + ∞ , + ∞ ) = 1 F(-\infty,y)=F(x,-\infty)=F(-\infty,-\infty)=0,F(+\infty,+\infty)=1F(−∞,y)=F(x,−∞)=F(−∞,−∞)=0,F(+∞,+∞)=1
- F ( x , y ) F(x,y)F(x,y)关于x , y x,yx,y均单调不减而且右连续。
- P ( a < X ≤ b , c < Y ≤ d ) = F ( b , d ) − F ( b , c ) − F ( a , d ) + F ( a , c ) P(a<X\leq b,c<Y\leq d)=F(b,d)-F(b,c)-F(a,d)+F(a,c)P(a<X≤b,c<Y≤d)=F(b,d)−F(b,c)−F(a,d)+F(a,c)
二维随机变量的边缘分布 \color{red}\textbf{二维随机变量的边缘分布}二维随机变量的边缘分布
设二维随机变量( X , Y ) (X,Y)(X,Y)的分布函数如上,那么称F X ( x ) = P ( X ≤ x ) , F Y ( y ) = P ( Y ≤ y ) F_X(x)=P(X\leq x),F_Y(y)=P(Y\leq y)FX(x)=P(X≤x),FY(y)=P(Y≤y)为( X , Y ) (X,Y)(X,Y)关于X XX和关于Y YY的边缘分布函数。
边缘分布与二维随机变量分布函数的关系为:
F X ( x ) = P ( X ≤ x ) = P ( X ≤ x , Y < + ∞ ) = F ( x , + ∞ ) F_X(x)=P(X\leq x)=P(X\leq x,Y<+\infty)=F(x,+\infty)FX(x)=P(X≤x)=P(X≤x,Y<+∞)=F(x,+∞)
二维连续型随机变量的概率密度 \color{red}\textbf{二维连续型随机变量的概率密度}二维连续型随机变量的概率密度


2-随机变量的独立性
如果对于任意x , y x,yx,y,都有
P ( X ≤ x , Y ≤ y ) = P { X ≤ x } P { Y ≤ y } P(X\leq x,Y\leq y)=P\{X\leq x\}P\{Y\leq y\}P(X≤x,Y≤y)=P{X≤x}P{Y≤y}
即F ( x , y ) = F X ( x ) F Y ( y ) F(x,y)=F_X(x)F_Y(y)F(x,y)=FX(x)FY(y),则称随机变量X XX与Y YY相互独立。
随机变量相互独立的充要条件 \color{red}\textbf{随机变量相互独立的充要条件}随机变量相互独立的充要条件
- 离散型随机变量X XX和Y YY相互独立的充要条件:对任意i , j = 1 , 2 , . . , i,j=1,2,..,i,j=1,2,..,有P { X = x i , Y = y i } = P { X = x i } P { Y = y i } P\{X=x_i,Y=y_i\}=P\{X=x_i\}P\{Y=y_i\}P{X=xi,Y=yi}=P{X=xi}P{Y=yi},即p i j = p i p j p_{ij}=p_ip_jpij=pipj
- 连续型随机变量X XX,Y YY相互独立的充要条件:对于任意的x , y x,yx,y,有f ( x , y ) = f X ( x ) f Y ( y ) f(x,y)=f_X(x)f_Y(y)f(x,y)=fX(x)fY(y)。可将两个随机变量的独立性推广到两个以上随机变量的情形。
3-两个随机变量Z = g ( X , Y ) Z=g(X,Y)Z=g(X,Y)的分布
当X , Y X,YX,Y为离散型随机变量时,Z ZZ的分布律与一维离散型类似。
当X , Y X,YX,Y为连续型随机变量时,F Z ( z ) F_Z(z)FZ(z)的求法,可以用公式
F Z ( z ) = P ( Z ≤ z ) = P { g ( X , Y ) ≤ z } = ∫ ∫ g ( X , Y ) ≤ z f ( x , y ) d x d y F_Z(z)=P(Z\leq z)=P\{g(X,Y)\leq z\}=\int\int_{g(X,Y)\leq z} f(x,y)dxdyFZ(z)=P(Z≤z)=P{g(X,Y)≤z}=∫∫g(X,Y)≤zf(x,y)dxdy
四、随机变量的数字特征
1:随机变量的数学期望
数学期望 \textbf{数学期望}数学期望
- 离散型随机变量:设随机变量X XX的概率分布为P { X = x k } = p k P\{X=x_k\}=p_kP{X=xk}=pk,如果级数∑ k = 1 ∞ x k p k \color{red}\sum_{k=1}^\infty x_kp_k∑k=1∞xkpk绝对收敛,则称此级数为随机变量X XX的数学期望或均值,记作E ( X ) E(X)E(X)。
连续型随机变量,f ( x ) f(x)f(x)为随机变量X XX的概率密度,那么他的数学期望为∫ − ∞ + ∞ x f ( x ) d x \color{red}\int_{-\infty}^{+\infty} xf(x)dx∫−∞+∞xf(x)dx
数学期望的性质 \textbf{数学期望的性质}数学期望的性质
- 设C是常数,X是随机变量,那么E ( C ) = C E(C)=CE(C)=C,E ( C X ) = C E ( X ) E(CX)=CE(X)E(CX)=CE(X)
- 设X , Y X,YX,Y是任意两个随机变量,那么E ( X + Y ) = E ( X ) + E ( Y ) E(X+Y)=E(X)+E(Y)E(X+Y)=E(X)+E(Y)。
- 设X , Y X,YX,Y是任意两个随机变量,那么E ( X Y ) = E ( X ) E ( Y ) E(XY)=E(X)E(Y)E(XY)=E(X)E(Y)当且仅当二者不相关。
随机变量X的函数Y=g(X)的数学期望 \textbf{随机变量X的函数Y=g(X)的数学期望}随机变量X的函数Y=g(X)的数学期望
建议看一篇好文:https://www.cnblogs.com/bigmonkey/p/11088669.html
- 离散性随机变量:E ( g ( X ) ) = ∑ i = 1 ∞ g ( x i ) p i \color{red}E(g(X))=\sum_{i=1}^\infty g(x_i)p_iE(g(X))=∑i=1∞g(xi)pi,p i p_ipi是x i x_ixi出现的概率
- 连续型随机变量:E ( g ( X ) ) = ∫ − ∞ + ∞ g ( x ) f ( x ) d x \color{red}E(g(X))=\int_{-\infty}^{+\infty} g(x)f(x)dxE(g(X))=∫−∞+∞g(x)f(x)dx,f ( X ) f(X)f(X)是X XX的概率密度。
随机变量(X,Y)的函数Z=g(X,Y)的数学期望 \textbf{随机变量(X,Y)的函数Z=g(X,Y)的数学期望}随机变量(X,Y)的函数Z=g(X,Y)的数学期望
- 离散性随机变量:E ( g ( X , Y ) ) = ∑ i = 1 ∞ ∑ j = 1 ∞ p i , j g ( x i , y j ) \color{red}E(g(X,Y))=\sum_{i=1}^\infty\sum_{j=1}^\infty p_{i,j}g(x_i,y_j)E(g(X,Y))=∑i=1∞∑j=1∞pi,jg(xi,yj),其中p i , j = P ( X = x i , Y = y j ) p_{i,j}=P(X=x_i,Y=y_j)pi,j=P(X=xi,Y=yj)。
- 连续型随机变量:E ( g ( X , Y ) ) = ∫ − ∞ + ∞ ∫ − ∞ + ∞ g ( x , y ) f ( x , y ) d x d y \color{red}E(g(X,Y))=\int_{-\infty}^{+\infty} \int_{-\infty}^{+\infty}g(x,y)f(x,y)dxdyE(g(X,Y))=∫−∞+∞∫−∞+∞g(x,y)f(x,y)dxdy,f ( X , Y ) f(X,Y)f(X,Y)是Z ZZ的概率密度。
2:随机变量的方差
- 随机变量X XX的方差定义为D ( X ) = E { [ X − E ( X ) ] 2 } D(X)=E\{[X-E(X)]^2\}D(X)=E{[X−E(X)]2}
- 方差计算公式:D ( X ) = E ( X 2 ) − [ E ( X ) ] 2 D(X)=E(X^2)-[E(X)]^2D(X)=E(X2)−[E(X)]2
- 方差的性质:(1)常数的方差为0.(2)D ( a X + b ) = a 2 D ( X ) D(aX+b)=a^2D(X)D(aX+b)=a2D(X)。(3)D ( X + Y ) = D ( X ) + D ( Y ) D(X+Y)=D(X)+D(Y)D(X+Y)=D(X)+D(Y)成立的充要条件是X , Y X,YX,Y不相关。
3:常用随机变量的数学期望和方差

4:矩、协方差和相关系数
这里需要注意的是两个随机变量不相关,这是区别于独立,互斥的另一种关系,不相关的充要条件是两个随机变量的相关系数ρ X Y = 0 \rho_{XY}=0ρXY=0。如果两个变量独立,那么相关系数一定为0,但是相关系数为0是线性不相关,不能推出两变量相互独立。
五、理解大数定律和中心极限定律
1:大数定律和中心极限定理的区别和联系
这里主要是理解,我就不摆公式了,
在统计活动中,人们发现,在相同条件下大量重复进行一种随机实验时,一件事情发生的次数与实验次数的比值,即该事件发生的频率值会趋近于某一数值。重复次数多了,这个结论越来越明显。这个就是最早的大数定律。一般大数定律讨论的是n个随机变量平均值的稳定性。
而中心极限定理则是证明了在很一般的条件下,n个随即变量的和当n趋近于正无穷时的极限分布是正态分布。(对,就是它,跟我念,正态分布!O.O哎,哪里都有它,记住记住。)
一句话解释:大数定律讲的是样本均值收敛到总体均值,说白了就是期望,如图一样:

而中心极限定理告诉我们,当样本足够大时,样本均值的分布会慢慢变成正态分布,对,就是如图这个样子:

上面是区别,那么联系根据区别也能看出来,都总结的是在独立同分布条件下的随即变量平均值的表现。
2:简单总结他们的作用
我们假设有n个独立随机变量,令他们的和为:
S n = ∑ i = 1 n X i S_n=\sum_{i=1}^n X_iSn=i=1∑nXi
那么大数定律(以一般的大数定律为例),它的公式为:
S n n − E ( X ) → 0 \frac{S_n}{n}-E(X)\rightarrow 0nSn−E(X)→0
而中心极限定理的公式为:
n ( S n n − E ( X ) ) → N ( 0 , ∑ ) \sqrt{n}(\frac{S_n}{n}-E(X))\rightarrow N(0,\sum)n(nSn−E(X))→N(0,∑)
注意:上面两个公式,一个是值为0,一直均值为0的正太分布;而左边极为相似!但不一样的。第二个公式比第一个公式多了n \sqrt nn,所以你就记住这条就不会混乱了,来,跟我念一遍:“差了个n \sqrt nn!”
六、参数估计
1:点估计
总体分布的参数在很多情况下是未知的,如均值μ μμ、方差σ 2 \sigma^2σ2、泊松分布的λ λλ、二项分布的比例π ππ,其它分布还会有更多的未知参数,需要通过样本进行相应的估计,这种估计值就是点估计。
点估计的评价:
无偏性:如果参数估计值的数学期望等于被估计的参数值E ( θ ) ^ E(\theta\widehat)E(θ),则称此估计量为无偏估计。与此相反则称为有偏估计。
有效性:当一个参数有多个无偏估计时,估计方差越小则越有效。
相合性(一致性):如果随着样本量增大,参数的估计量趋于被估计的参数值。
2:矩估计
矩估计,即矩估计法,也称“矩法估计”,就是利用样本矩来估计总体中相应的参数。首先推导涉及感兴趣的参数的总体矩(即所考虑的随机变量的幂的期望值)的方程。然后取出一个样本并从这个样本估计总体矩。接着使用样本矩取代(未知的)总体矩,解出感兴趣的参数。从而得到那些参数的估计。
矩法估计原理简单、使用方便,使用时可以不知总体的分布,而且具有一定的优良性质(如矩估计为Eξ的一致最小方差无偏估计)。矩法估计量实际上只集中了总体的部分信息,这样它在体现总体分布特征上往往性质较差,只有在样本容量n较大时,才能保障它的优良性,因而理论上讲,矩法估计是以大样本为应用对象的。
用样本矩作为相应的总体矩估计来求出估计量的方法.其思想是:如果总体中有 K KK个未知参数,可以用前 K KK阶样本矩估计相应的前K KK阶总体矩,然后利用未知参数与总体矩的函数关系,求出参数的估计量。即有多少未知参数,就利用矩列几个方程。
令样本的l ll阶原点矩为A l = 1 n ∑ i = 1 n X i l A_l=\frac{1}{n}\sum_{i=1}^n X_i^lAl=n1∑i=1nXil,而每阶矩肯定也是X XX分布中未知参数θ 1 , θ 2 , . . . , θ n \theta_1,\theta_2,...,\theta_nθ1,θ2,...,θn的函数,即
α l ( θ 1 , θ 2 , . . . , θ n ) = A l , l = 1 , 2 , . . . , k \alpha_l(\theta_1,\theta_2,...,\theta_n)=A_l,l=1,2,...,kαl(θ1,θ2,...,θn)=Al,l=1,2,...,k
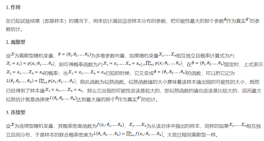
3:最大似然估计
极大似然估计,通俗理解来说,就是利用已知的样本结果信息,反推最具有可能(最大概率)导致这些样本结果出现的模型参数值!

最大似然估计,只是一种概率论在统计学的应用,它是参数估计的方法之一。说的是已知某个随机样本满足某种概率分布,但是其中具体的参数不清楚,参数估计就是通过若干次试验,观察其结果,利用结果推出参数的大概值。最大似然估计是建立在这样的思想上:已知某个参数能使这个样本出现的概率最大,我们当然不会再去选择其他小概率的样本,所以干脆就把这个参数作为估计的真实值。
求最大似然函数估计值的一般步骤:
(1) 写出似然函数
(2) 对似然函数取对数,并整理
(3) 求导数
(4) 解似然方程