前言
- 使用的库
turtle,math - 如果出现什么问题,可以在评论区提出
- 因为笔者也是萌新,所以写的博客多有不足之处
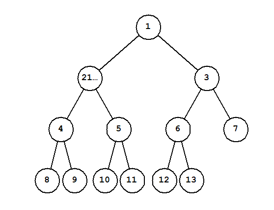
先放效果图
ps. 其实csdn上也有很多二叉树可视化,但是我觉得我的外观挺好看的(滑稽
步骤
- 构建二叉树
class TreeNode(object) - 设定好层与层之间的高度和圆的半径
HEIGHT = 100, r = 25 - 预先计算每一层枝干的偏转角度
DEGREE
函数说明
- 为当前位置画一个圆圈
def center(begin_x, begin_y) - 将当前节点的值写在当前位置
def value(begin_x, begin_y, val) - 为当前节点画出一个左子树
def left(begin_x, begin_y, degree) - 为当前节点画出一个右子树
def right(begin_x, begin_y, degree)
对代码一些解释
- 因为画笔创建时位于(0,0)位置,为了使二叉树更加好看,将初始位置向上移动了一定的高度
- 画笔朝向的问题:初始位置的朝向是水平向右,left是逆时针旋转,right是顺时针旋转
代码
# encoding: utf-8
"""
This module provides access to binary tree visualization
"""
import turtle
import math
class TreeNode(object):
def __init__(self, val=0, left=None, right=None):
self.val = val
self.left = left
self.right = right
''' 相关的数据 '''
DEGREE = []
DEEP = 0
HEIGHT = 100
''' 画布的设置 '''
Tree = turtle.Turtle()
W = turtle.Screen()
W.title("二叉树可视化")
Tree.hideturtle()
Tree.speed(20)
Tree.pensize(2)
# 圆的半径
r = 25
# 写数据
def value(begin_x, begin_y, val):
val = str(val)
Tree.penup()
Tree.goto(begin_x, begin_y - 10)
Tree.pendown()
if len(val) > 2:
val = val[0] + val[1] + "…"
Tree.write(val, align="center", font=("Courier", 14, "bold"))
# 复原操作
Tree.penup()
Tree.goto(begin_x, begin_y)
Tree.pendown()
# 圆圈
def center(begin_x, begin_y):
Tree.penup()
Tree.goto(begin_x, begin_y - r)
Tree.pendown()
Tree.circle(r)
Tree.penup()
Tree.goto(begin_x, begin_y)
Tree.pendown()
# 左子树
def left(begin_x, begin_y, degree):
length = HEIGHT / math.cos((degree - 90) / 180 * math.pi)
Tree.right(degree)
Tree.penup()
Tree.forward(r)
Tree.pendown()
Tree.forward(length - 2 * r)
Tree.penup()
Tree.forward(r)
Tree.pendown()
Tree.left(degree)
temp_x, temp_y = Tree.pos()
center(temp_x, temp_y)
Tree.penup()
Tree.goto(begin_x, begin_y)
Tree.down()
_x = begin_x - math.sin((degree - 90) / 180 * math.pi) * length
_y = begin_y - math.cos((degree - 90) / 180 * math.pi) * length
return _x, _y
# 右子树
def right(begin_x, begin_y, degree):
length = HEIGHT / math.cos((-degree + 90) / 180 * math.pi)
Tree.right(degree)
Tree.penup()
Tree.forward(r)
Tree.pendown()
Tree.forward(length - 2 * r)
Tree.penup()
Tree.forward(r)
Tree.pendown()
Tree.left(degree)
temp_x, temp_y = Tree.pos()
center(temp_x, temp_y)
Tree.penup()
Tree.goto(begin_x, begin_y)
Tree.down()
_x = math.sin((-degree + 90) / 180 * math.pi) * length + begin_x
_y = -math.cos((-degree + 90) / 180 * math.pi) * length + begin_y
return _x, _y
def func(x_, y_, root, deep_):
Tree.penup()
Tree.goto(x_, y_)
Tree.pendown()
value(x_, y_, root.val)
if root.left is not None:
_x, _y = left(x_, y_, 90 + DEGREE[deep_])
func(_x, _y, root.left, deep_ + 1)
Tree.penup()
Tree.goto(x_, y_)
Tree.pendown()
if root.right is not None:
_x, _y = right(x_, y_, 90 - DEGREE[deep_])
func(_x, _y, root.right, deep_ + 1)
def draw(root, deep):
DEEP = deep
te = 15
last = 0
DEGREE.append(15)
for i in range(DEEP - 2):
a = math.atan((HEIGHT * math.tan(te / 180 * math.pi) + r + 6 + last) / HEIGHT) / math.pi * 180
last = (HEIGHT * math.tan(te / 180 * math.pi) + r + 6 + last) / 2
te = a
DEGREE.append(a)
DEGREE.reverse()
x = 0
y = 300
Tree.penup()
Tree.goto(x, y)
Tree.pendown()
center(x, y)
func(x, y, root, 0)
W.exitonclick()
# '''
if __name__ == '__main__':
# 随便整一个二叉树
binary_tree = TreeNode(1)
temp = TreeNode(2111)
binary_tree.left = temp
temp = TreeNode(3)
binary_tree.right = temp
temp = TreeNode(4)
binary_tree.left.left = temp
temp = TreeNode(5)
binary_tree.left.right = temp
temp = TreeNode(6)
binary_tree.right.left = temp
temp = TreeNode(7)
binary_tree.right.right = temp
temp = TreeNode(8)
binary_tree.left.left.left = temp
temp = TreeNode(9)
binary_tree.left.left.right = temp
temp = TreeNode(10)
binary_tree.left.right.left = temp
temp = TreeNode(11)
binary_tree.left.right.right = temp
temp = TreeNode(12)
binary_tree.right.left.left = temp
temp = TreeNode(13)
binary_tree.right.left.right = temp
# 调用函数
draw(binary_tree, 4)
版权声明:本文为qq_45874328原创文章,遵循CC 4.0 BY-SA版权协议,转载请附上原文出处链接和本声明。