题目描述:
编写一个程序,找到两个单链表相交的起始节点。
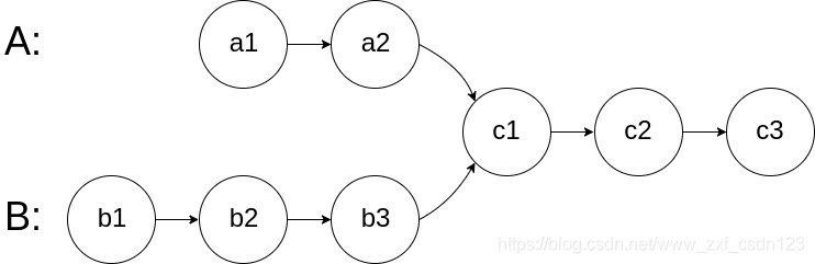
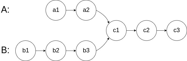
如下面的两个链表:
在节点 c1 开始相交。
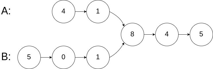
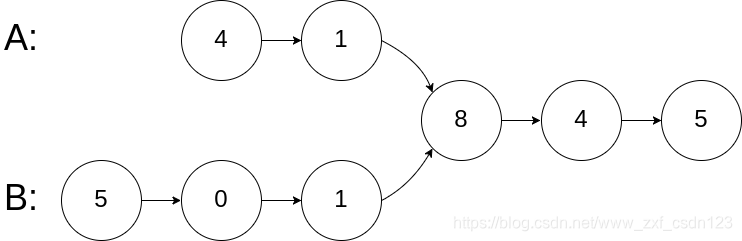
示例 1:
输入:intersectVal = 8, listA = [4,1,8,4,5], listB = [5,0,1,8,4,5], skipA = 2, skipB = 3
输出:Reference of the node with value = 8
输入解释:相交节点的值为 8 (注意,如果两个列表相交则不能为 0)。从各自的表头开始算起,链表 A 为 [4,1,8,4,5],链表 B 为 [5,0,1,8,4,5]。在 A 中,相交节点前有 2 个节点;在 B 中,相交节点前有 3 个节点。
求解思路:
1、 把链表分成一个长链表,一个短链表,
2、 求出两个链表长度差diff
3、长链表先走,走diff步停下来
4、然后两个链表一起走,只要他们的空间地址相同就停下来,此时的结点中的数值便是要返回的数值(相遇时结点)
代码:
/**
* Definition for singly-linked list.
* struct ListNode {
* int val;
* struct ListNode *next;
* };
*/
int getLength(struct ListNode* head)
{
int len=0;
for(struct ListNode* n=head;n!=NULL;n=n->next)
{
len++;
}
return len;
}
struct ListNode *getIntersectionNode(struct ListNode *headA, struct ListNode *headB) {
int lenA=getLength(headA);
int lenB=getLength(headB);
struct ListNode* longer=headA;
struct ListNode* shorter=headB;
int diff=lenA-lenB;
if(diff<0)
{
longer=headB;
shorter=headA;
diff=lenB-lenA;
}
for(int i=0;i<diff;i++)
{
longer=longer->next;
}
while(longer!=shorter)
{
shorter=shorter->next;
longer=longer->next;
}
return longer;
}
版权声明:本文为www_zxf_csdn123原创文章,遵循CC 4.0 BY-SA版权协议,转载请附上原文出处链接和本声明。