1.导数与微分
1.1.复合函数求导法则(链式法则)

1.2.微分

注意:
- 对于一元函数来说,可导与可微是等价的。
2.微分中值定理
2.1.微分中值定理
2.1.1.罗尔定理

2.1.2.拉格朗日中值定理

2.1.3.柯西中值定理

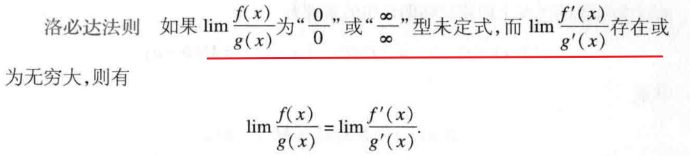
2.2.洛必达法则

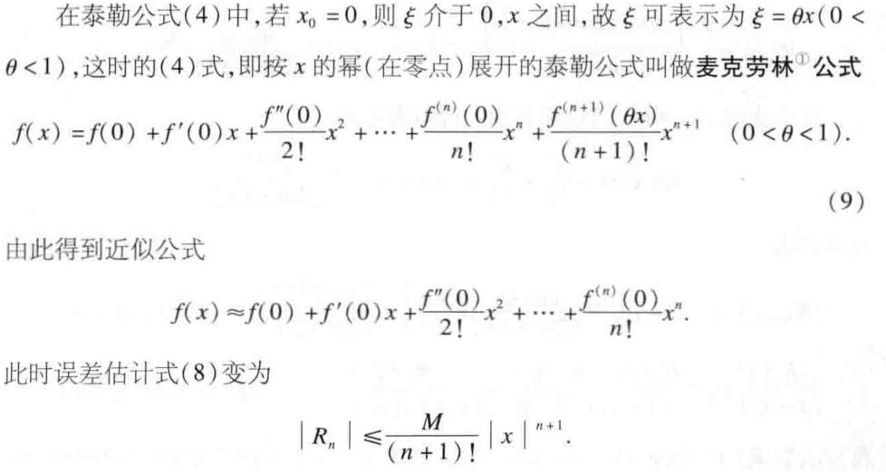
2.3.泰勒公式(重要)
2.3.1.泰勒公式的引入


2.3.2.泰勒定理

2.3.3.在零点展开的麦克劳林公式


注意:
- 上面写的常见初等函数的泰勒展开公式是在x = 0 x=0x=0附近展开的麦克劳林公式,如果换做在其他地方展开,那么这个公式的表达形式都会不一样!比如s i n ( x ) sin(x)sin(x),它的偶数阶导数在x = 0 x=0x=0处为0,而在其他地方不一定为0。
2.4.函数极值的求法

注意:
- 第二判别法更加常用,也就是在多元函数求极值的时候,要求二阶导数,得到海森矩阵要求它正定,那么才是极小值,原因就是第二判别法。
3.不定积分
3.1.换元积分法



3.2.分部积分法


4.定积分
4.1.微积分学基本定理

4.2.定积分的计算
4.2.1.换元积分法

4.2.2.分部积分法

5.微分方程
5.1.一阶微分方程
5.1.1.可分离变量的方程

5.1.2.一阶线性微分方程


5.2.线性微分方程及其通解的结构

5.3.常系数线性微分方程
5.3.1.常系数齐次线性微分方程



5.3.2.常系数非齐次线性微分方程


5.4.线性微分方程组
5.4.1.线性微分方程组的定义


5.4.2.线性微分方程组通解的结构

5.4.3.常系数齐次线性微分方程组


5.4.4.常系数非齐次线性微分方程组

6.多元函数微分学
6.1.多元函数的极限

6.2.偏导数

6.3.全微分



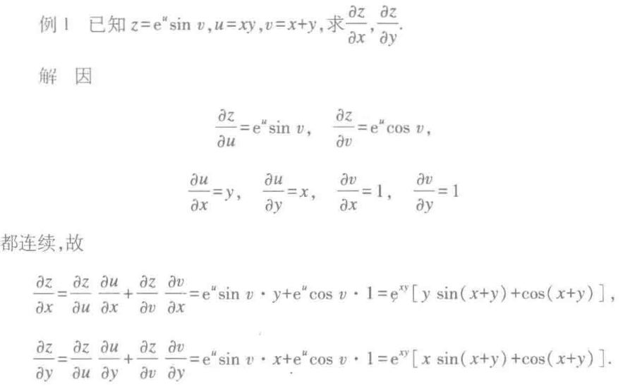
6.4.复合函数求导法
6.4.1.链导法则



6.4.2.全微分形式不变性


6.5.多元函数的泰勒公式与极值(重要)
6.5.1.多元函数的泰勒公式


6.5.2.多元函数的极值


6.5.3.条件极值、拉格朗日乘数法
6.6.方向导数与梯度

7.无穷级数
版权声明:本文为qq_42731705原创文章,遵循CC 4.0 BY-SA版权协议,转载请附上原文出处链接和本声明。