论文的题目为《Dynamic Convolution: Attention over Convolution Kernels》
paper的地址https://arxiv.org/pdf/1912.03458.pdf
代码实现地址,其中包含一维,二维,三维的动态卷积;分别可以用于实现eeg的处理,正常图像的处理,医疗图像中三维脑部的处理等等(水漫金山)。https://github.com/kaijieshi7/Dynamic-convolution-Pytorch,大家觉得有帮助的话,我就求个star。
一句话描述下文的内容:将 的大小视为分组卷积里面的组的大小进行动态卷积。如 ,那么就转化成 , 的分组卷积。
文章简单的回顾
这篇文章主要是改进传统卷积,让每层的卷积参数在推理的时候也是随着输入可变的,而不是传统卷积中对任何输入都是固定不变的参数。(由于本文主要说明的是代码如何实现,所以推荐给大家一个讲解论文的连接:Happy:动态滤波器卷积|DynamicConv)

推理的时候:红色框住的参数是固定的,黄色框住的参数是随着输入的数据不断变化的。
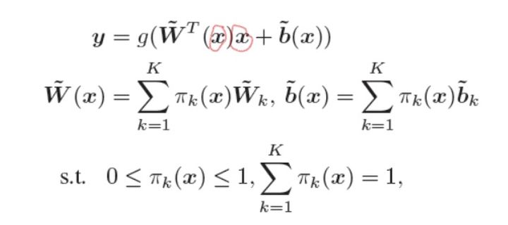
对于卷积过程中生成的一个特征图 ,先对特征图做几次运算,生成 个和为 的参数 ,然后对 个卷积核参数进行线性求和,这样推理的时候卷积核是随着输入的变化而变化的。(可以看看其他的讲解文章,本文主要理解怎么写代码)
下面是attention代码的简易版本,输出的是[ , ]大小的加权参数。 对应着要被求和的卷积核数量。
class attention2d(nn.Module):
def __init__(self, in_planes, K,):
super(attention2d, self).__init__()
self.avgpool = nn.AdaptiveAvgPool2d(1)
self.fc1 = nn.Conv2d(in_planes, K, 1,)
self.fc2 = nn.Conv2d(K, K, 1,)
def forward(self, x):
x = self.avgpool(x)
x = self.fc1(x)
x = F.relu(x)
x = self.fc2(x).view(x.size(0), -1)
return F.softmax(x, 1)下面是文章中 个卷积核求和的公式。

其中 是输入, 是输出;可以看到 进行了两次运算,一次用于求注意力的参数(用于生成动态的卷积核),一次用于被卷积。
但是,写代码的时候如果直接将 个卷积核求和,会出现问题。接下来我们先回顾一下Pytorch里面的卷积参数,然后描述一下可能会出现的问题,再讲解如何通过分组卷积去解决问题。
Pytorch卷积的实现
我会从维度的视角回顾一下Pytorch里面的卷积的实现(大家也可以手写一下,几个重点:输入维度、输出维度、正常卷积核参数维度、分组卷积维度、动态卷积维度、attention模块输出维度)。
输入:输入数据维度大小为[ , , , ]。
输出:输出维度为[ , , , ]。
卷积核:正常卷积核参数维度为[ , , , ]。(在Pytorch中,2d卷积核参数应该是固定这种维度的)
这里我们可以注意到,正常卷积核参数的维度是不存在 的。因为对于正常的卷积来说,不同的输入数据,使用的是相同的卷积核,卷积核的数量与一次前向运算所输入的 大小无关(相同层的卷积核参数只需要一份)。
可能会出现的问题
这里描述一下实现动态卷积代码的过程中可能因为 大于1而出现的问题。
对于图中attention模块最后softmax输出的 个数,他们的维度为[ , , , ],可以直接.view成[ , ],紧接着 作用于 卷积核参数上(形成动态卷积)。
问题所在:正常卷积,一次输入多个数据,他们的卷积核参数是一样的,所以只需要一份网络参数即可;但是对于动态卷积而言,每个输入数据用的都是不同的卷积核,所以需要 份网络参数,不符合Pytorch里面的卷积参数格式,会出错。
看下维度运算[ , ]*[ , , , , ],生成的动态卷积核是[ , , , , ],不符合Pytorch里面的规定,不能直接参与运算(大家可以按照这个思路写个代码看看,体会一下,光看可能感觉不出来问题),最简单的解决办法就是 等于1,不会出现错误,但是慢啊!!!
总之, 大于1会导致中间卷积核参数不符合规定。
分组卷积以及如何通过分组卷积实现 大于1的动态卷积
一句话描述分组卷积:对于多通道的输入,将他们分成几部分各自进行卷积,结果concate。
组卷积过程用废话描述:对于输入的数据[ , , , ],假设 为 ,那么分组卷积就是将他分为两个 为 的数据(也可以用其他方法分),那么维度就是[ , , , ],换个维度换下视角,[ , , , ],那么 为2的组卷积可以看成 的正常卷积。(如果还是有点不了解分组卷积,可以阅读其他文章仔细了解一下。)
巧妙的转换:上面将 翻倍即可将分组卷积转化成正常卷积,那么反向思考一下,将 变为1,是不是可以将正常卷积变成分组卷积?
我们将 大小看成分组卷积中 的数量,令 所在维度直接变为 !!!直接将输入数据从[ , , , ]变成[1, , , ],就可以用分组卷积解决问题了!!!
详细描述实现过程:将输入数据的维度看成[1, , , ](分组卷积的节奏);卷积权重参数初始化为[ , , , , ],attention模块生成的维度为[ , ],直接进行正常的矩阵乘法[ , ]*[ , * * * ]生成动态卷积的参数,生成的动态卷积权重维度为[ , , , , ],将其看成分组卷积的权重[ , , , ](过程中包含reshape)。这样的处理就完成了,输入数据[ , , , ],动态卷积核[ , , , ],直接是 的分组卷积,问题解决。
具体代码如下:
class Dynamic_conv2d(nn.Module):
def __init__(self, in_planes, out_planes, kernel_size, stride=1, padding=0, dilation=1, groups=1, bias=True, K=4,):
super(Dynamic_conv2d, self).__init__()
assert in_planes%groups==0
self.in_planes = in_planes
self.out_planes = out_planes
self.kernel_size = kernel_size
self.stride = stride
self.padding = padding
self.dilation = dilation
self.groups = groups
self.bias = bias
self.K = K
self.attention = attention2d(in_planes, K, )
self.weight = nn.Parameter(torch.Tensor(K, out_planes, in_planes//groups, kernel_size, kernel_size), requires_grad=True)
if bias:
self.bias = nn.Parameter(torch.Tensor(K, out_planes))
else:
self.bias = None
def forward(self, x):#将batch视作维度变量,进行组卷积,因为组卷积的权重是不同的,动态卷积的权重也是不同的
softmax_attention = self.attention(x)
batch_size, in_planes, height, width = x.size()
x = x.view(1, -1, height, width)# 变化成一个维度进行组卷积
weight = self.weight.view(self.K, -1)
# 动态卷积的权重的生成, 生成的是batch_size个卷积参数(每个参数不同)
aggregate_weight = torch.mm(softmax_attention, weight).view(-1, self.in_planes, self.kernel_size, self.kernel_size)
if self.bias is not None:
aggregate_bias = torch.mm(softmax_attention, self.bias).view(-1)
output = F.conv2d(x, weight=aggregate_weight, bias=aggregate_bias, stride=self.stride, padding=self.padding,
dilation=self.dilation, groups=self.groups*batch_size)
else:
output = F.conv2d(x, weight=aggregate_weight, bias=None, stride=self.stride, padding=self.padding,
dilation=self.dilation, groups=self.groups * batch_size)
output = output.view(batch_size, self.out_planes, output.size(-2), output.size(-1))
return output完整的代码在https://github.com/kaijieshi7/Dynamic-convolution-Pytorch,大家觉得有帮助的话,我就求个star。
纸上得来终觉浅,绝知此事要躬行。试下代码,方能体会其中妙处。