此文主要参考 huaxiaozhuan.com
编辑: Python与算法社区 公众号
在贝叶斯学派中,先验分布+数据(似然)= 后验分布 。例如:假设需要识别一大箱苹果中的好苹果、坏苹果的概率。
在这里:如果不使用先验分布,仅仅清点这箱苹果中的好坏,则得到的分布只能代表这一箱苹果。采用了先验分布之后得到的分布,可以认为是所有箱子里的苹果的分布。当采用先验分布时:给出的好、坏苹果的个数(也就是频数)越大,则先验分布越占主导地位。
根据你对苹果好、坏的认知,给出先验分布为:50个好苹果和50个坏苹果。现在你拿出10个苹果,发现有:8个好苹果,2个坏苹果。根据数据,你得到后验分布为:58个好苹果,52个坏苹果。再拿出10个苹果,发现有:9个好苹果,1个坏苹果。根据数据,你得到后验分布为:67个好苹果,53个坏苹果。这样不断重复下去,不断更新后验分布。当一箱苹果清点完毕,则得到了最终的后验分布。
假设好苹果的概率为 P,则抽取 N 个苹果中,好苹果个数为 K 个的概率为一个二项分布:

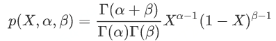
现在的问题是:好苹果的概率 p 不再固定,而是服从一个分布。假设好苹果的概率 p 的先验分布为贝塔分布:

则后验概率为:

归一化之后,得到后验概率为:

好苹果概率 p 的先验分布的期望为:

好苹果概率 p 的后验分布的期望为:

根据上述例子所述:
好苹果的先验概率的期望为:

进行第一轮数据校验之后,好苹果的后验概率的期望为:

如果将 α 视为先验的好苹果数量, β 视为先验的坏苹果数量, N 表示箱子中苹果的数量, k 表示箱子中的好苹果数量(相应的, N-k 就是箱子中坏苹果的数量)。则:好苹果的先验概率分布的期望、后验概率分布的期望符合人们的生活经验。
这里使用先验分布和后验分布的期望,因为 p 是一个随机变量。若想通过一个数值来刻画好苹果的可能性,则用期望较好。







文章参考:
http://huaxiaozhuan.com/%E6%95%B0%E5%AD%A6%E5%9F%BA%E7%A1%80/chapters/2_probability.html
最近推广多,抱歉打扰到各位读者,以后我会安排好日期,并减少次数。为了表达歉意,备好166个红包,公众号界面回复:红包,即可参与,今晚就要自动开奖,金额随机。详情点击:
