前言
上篇文章中,讲述了语音识别技术中的DTW算法,DTW算法是用于模板匹配的。这篇文章我们将介绍人脸识别中的Gabor特征提取算法,Gabor算法是用在特征提取阶段。我们在这里对比一下语音识别的流程图和人脸识别技术的流程图,以便学习总结。
下图是基于DTW算法的语音识别技术的流程图:
下图是基于Gabor特征提取算法和SVM分类器的人脸检测与识别流程图,其中包括测试过程与训练过程。
Gabor特征提取算法简介
为什么选择它
Gabor 特征提取算法可以在不同方向上描述局部人脸特征,对光照、遮挡以及表情变换等情况具有较强的鲁棒性,即Gabor算法在异常和危险情况下具有较强的系统生存的能力。
先介绍一些基本概念作为引入
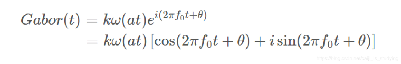
一维Gabor核:
其由一个高斯核与一个复数波的乘积定义为如下公式:
其中w(t)是高斯函数,s(t)是复数波,两者的一维数学表达式定义如下:
我们将s(t)代入一维Gabor公式可得下式:
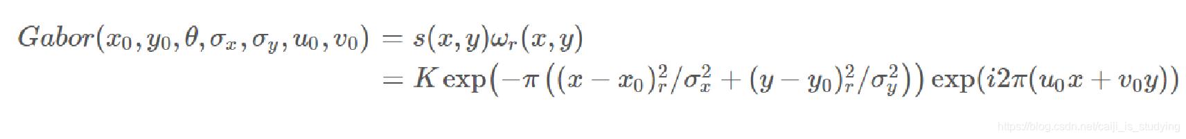
我们将上述一维情况推广到二维
二维复数波定义如下,其中(x,y)表示空间域坐标,(u0,v0)表示频率域坐标。
二维高斯函数定义如下,其中σx,σy 分别为在x,y两个方向上的尺度参数,用来控制高斯函数在两个方向上的“展布”形状。(x0,y0)为高斯函数的中心点。K为高斯核的幅度的比例。
但是由于高斯函数还有旋转的操作,所以我们对坐标进行如下的变换:
由此,我们得到了坐标变换后的高斯函数公式,其中θ表示高斯核顺时针旋转的角度。
二维Gabor核
类似一维 Gabor 核,我们将二维高斯函数与二维复数波相乘,就得到了二维的Gabor核:
一个Gabor核能获取到图像某个频率邻域的响应情况,这个响应结果可以看做是图像的一个特征。如果我们用多个不同频率的Gabor核去获取图像在不同频率邻域的响应情况,最后就能形成图像在各个频率段的特征,这个特征就可以描述图像的频率信息了。
下图展示了一系列具有不同频率的 Gabor 核,用这些核与图像卷积,我们就能得到图像上每个点和其附近区域的频率分布情况。
经过 Gabor 滤波获到的人脸图像信息包含实部和虚部两部分,分别代表不同局部的人脸特征信息,为了提取更加全面的人脸特征信息,一般会采用两种特征值相结合的方法,比如幅值和相位信息。但 Gabor 的相位信息会因为人脸空间位置发生改变而不太稳定。Gabor 幅值信息变化相对稳定,并且充分反映了人脸图像的能量谱。因此采取 Gabor 幅值特征。经过Gabor幅值特征处理,得到了人脸 Gabor 特征信息。5 个尺度,8 个方向的 Gabor 特征提取图如下所示: