一、逻辑回归应用于多类别分类
假设有一个训练集如下图左部分所示,有3个类别。逻辑回归的方法是将其分成3个二元分类问题。先从类别1开始,创建一个新的“伪”训练集,类别2和类别3定为负类,类别1设定为正类,如图所示:
对新的训练集训练一个标准的逻辑回归分类器,记作h θ ( 1 ) ( x ) h_{\theta }^{\left ( 1 \right )}\left ( x \right )hθ(1)(x)。接着类似地,选择另一个类标记为正向类,将其它类都标记为负向类,将这个模型记作h θ ( 2 ) ( x ) h_{\theta }^{\left ( 2 \right )}\left ( x \right )hθ(2)(x)。依此类推,得到一系列的模型为:h θ ( i ) ( x ) = p ( y = i ∣ x ; θ ) ( i = 1 , 2 , 3 , . . . , k ) h_{\theta }^{\left ( i \right )}\left ( x \right )=p\left ( y=i|x;\theta \right )\left ( i=1,2,3,...,k \right )hθ(i)(x)=p(y=i∣x;θ)(i=1,2,3,...,k)
最后,在做预测时将所有的分类模型都运行一遍,对每一个输入变量,都选择最高可能性的输出变量。也就是输入x,选择一个让h θ ( i ) ( x ) h_{\theta }^{\left ( i\right )}\left ( x \right )hθ(i)(x)最大的i。
二、神经网络
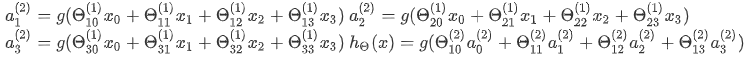
神经网络是一组神经元连接在一起的集合,每一个神经元是一个学习模型。神经元(也叫激活单元,activation unit)采纳一些特征作为输入,并且根据本身的模型提供一个输出。神经网络模型中每一层的输出变量都是下一层的输入变量。下图为一个3层的神经网络,第一层为输入层,最后一层为输出层,中间一层为隐藏层。为每一层都增加一个偏差单位(bias unit)即常数项。
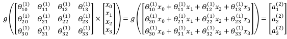
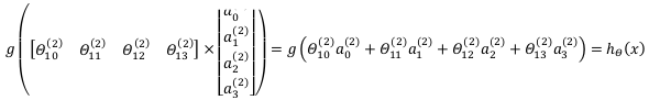
模型描述:a i ( j ) a_{i}^{\left ( j \right )}ai(j)代表第j层的第i个激活单元,θ ( j ) \theta ^{\left ( j \right )}θ(j)代表从第j层映射到第j+1层时的权重的矩阵,其尺寸为:以第j+1层的激活单元数量为行数,以第j层的激活单元数加一为列数。如上图所示的神经网络中θ ( 1 ) \theta ^{\left ( 1 \right )}θ(1)的尺寸为3*4。对于上图所示的模型,激活单元和输出分别表达为:
每一个a都是由上一层所有的x和每一个x所对应的θ决定的,这样从左到右的算法称为前向传播算法。利用向量化的方法表示模型,以上图三层神经网络的第二层计算为例:
令z ( 2 ) = θ ( 1 ) x z^{\left ( 2 \right )}=\theta ^{\left ( 1 \right )}xz(2)=θ(1)x,则a ( 2 ) = g ( z ( 2 ) ) a^{\left ( 2 \right )}=g\left ( z^{\left ( 2 \right )} \right )a(2)=g(z(2)),计算后添加a 0 ( 2 ) = 1 a_{0}^{\left ( 2 \right )}=1a0(2)=1。计算输出的值为:
三、以吴恩达机器学习课程练习材料实现,分别使用逻辑回归和神经网络进行多类别分类。背景是识别手写数字,代码实现来源参考:吴恩达机器学习作业Python实现(三):多类分类和前馈神经网络
原始训练数据集以matlab的数据存储格式.mat保存,数据中有5000个训练样本,其中每个训练样本是一个20像素×20像素灰度图像的数字,每个像素由一个浮点数表示,该浮点数表示该位置的灰度强度。每个20×20像素的网格被展开成一个400维的向量,得到一个5000×400矩阵X,每一行作为一个训练样本。训练集的第二部分是表示训练集标签的5000维向量y,“0”标记为“10”,而“1”到“9”按自然顺序标记为“1”到“9”。
数据加载及可视化的代码如下:
from scipy.io import loadmat
import numpy as np
import matplotlib.pyplot as plt
data=loadmat('ex3data1.mat') #读取matlab格式的数据集
#print(data.keys()) #查看变量名
#print(np.unique(y)) #查看有几类标签
X=data['X'] #获得特征数据
y=data['y'] #获得类别数据
#随机画25个数字
def plot_25_image(X):
sample_idx=np.random.choice(np.arange(X.shape[0]),25) #随机选取25个样本
sample_images=X[sample_idx,:] #获得随机抽取的样本特征
fig,ax_array=plt.subplots(nrows=5,ncols=5,sharey=True,sharex=True,figsize=(8,8)) #把父图分成5*5个子图,设置图的大小,True设置x和y轴属性在所有子图中共享
for row in range(5):
for column in range(5):
ax_array[row,column].matshow(sample_images[5*row+column].reshape((20,20)),cmap='gray_r') #绘制数字图像,cmap设置绘制风格为白底黑字
plt.xticks([]) #去除刻度,保证美观
plt.yticks([])
plt.show()
plot_25_image(X)
随机打印25个数字如下图所示:
使用逻辑回归进行多类别分类代码如下:
#定义Sigmoid函数
def sigmoid(z):
return 1 / (1 + np.exp(-z))
#定义正则化后的代价函数
def regularized_cost(theta,X,y,a):
thetaReg=theta[1:] #不惩罚第一项θ0
first=-y*np.log(sigmoid(X@theta))+(y-1)*np.log(1-sigmoid(X@theta)) #原先代价函数
reg=a*(thetaReg@thetaReg)/(2*len(X)) #正则化项
return np.mean(first)+reg
#定义正则化后的梯度
def regularized_gradient(theta,X,y,a):
reg = 1 / len(X) * theta
reg[0] = 0 #不惩罚第一项θ0
first=1/len(X)*X.T@(sigmoid(X@theta)-y) #原先梯度
return first+reg
#使用高级优化算法训练10个分类器
from scipy.optimize import minimize
def one_vs_all(X,y,l,K): #参数l是正则化参数,K是类别数量
all_theta=np.zeros((K,X.shape[1])) #初始化参数,行数等于类别数量,列数等于特征数量
for i in range(1,K+1):
theta=np.zeros(X.shape[1]) #初始化每个分类器的参数
y_i=np.array([1 if label==i else 0 for label in y]) #将y从类标签转换为每个分类器的二进制值(要么是类i,要么不是类i)
ret=minimize(fun=regularized_cost,x0=theta,args=(X,y_i,l),method='BFGS',jac=regularized_gradient,options={'disp':True}) #使用minimize,fun是优化的目标函数,x0定义初值,args元组是传递给优化函数的参数,method是求解的算法,jac提供梯度函数,disp设置true输出收敛信息
all_theta[i-1,:]=ret.x #保存每个分类器的最终参数
return all_theta
#计算预测类别
def predict_all(X,all_theta):
h=sigmoid(X@all_theta.T) #计算获得每个样本分别对应10个类别的概率
h_argmax=np.argmax(h,axis=1) #按行方向搜索每个样本所属类别概率最大对应的索引
h_argmax=h_argmax+1 #索引加1得到分类器最终预测出来的类别
return h_argmax
#处理数据并训练分类器
X=np.insert(X,0,1,axis=1) #特征集前面添加一列1,以便计算截距项
y=y.flatten() #类别数据消除列的维度,方便后面的计算
all_theta=one_vs_all(X,y,1,10) #获得每个分类器的参数
y_pred=predict_all(X,all_theta) #预测类别
accuracy=np.mean(y_pred==y) #计算预测准确率
print('accuracy={0}%'.format(accuracy*100))
使用神经网络进行多类别分类代码如下:
#定义Sigmoid函数
def sigmoid(z):
return 1 / (1 + np.exp(-z))
#处理数据
data = loadmat('ex3weights.mat') #读取已经训练好的权重
#print(data.keys())
theta1 = data['Theta1'] #获得隐藏层参数
theta2 = data['Theta2'] #获得输出层参数
#print(theta1.shape,theta2.shape)
data = loadmat('multi_class_cl.mat')
X = data['X'] #获得特征数据
y = data['y']
y = y.flatten() #类别数据消除列的维度,方便后面的计算
X = np.insert(X, 0, 1, axis=1) #特征集前面添加一列1,以便计算截距项
print(X.shape,y.shape)
#训练模型
a1 = X #输入层为特征集
z2 = a1 @ theta1.T #计算隐藏层输入数据
z2 = np.insert(z2, 0, 1, axis=1) #数据集前面添加一列1,以便计算截距项
a2 = sigmoid(z2) #计算隐藏层输出数据
z3 = a2 @ theta2.T #计算输出层输入数据
a3 = sigmoid(z3) #计算输出层输出数据
y_pred = np.argmax(a3, axis=1) + 1 #获得每个样本所属类别概率最大的作为最终预测出来的类别
accuracy = np.mean(y_pred == y) #计算预测准确率
print('accuracy={0}%'.format(accuracy * 100))
运行代码分别获得两种方法的预测准确率,逻辑回归模型的准确率为94.48%,神经网络的准确率为97.52%,可以看出神经网络的准确性要高于逻辑回归模型。
(结语个人日记:最近开心的事情大概是持续将近一年时间的大创被评为优秀了叭,虽然做出来的结果自己和队友都没有完全满意,但是付出的过程是问心无愧的。为了解决问题思考各种可能的方法,边查边写代码,一有空闲时间就跑代码,每周固定和老师例会讨论,尝试实践了很多思路。也算终于画上句号了,还有留下曾经自己充实努力的回忆。)