day07
206. 反转链表
题目
给你单链表的头节点 head,请你反转链表,并返回反转后的链表。
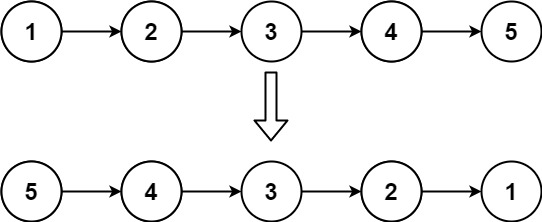
示例 1:

输入:head = [1,2,3,4,5]
输出:[5,4,3,2,1]
示例 2:

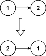
输入:head = [1,2]
输出:[2,1]
示例 3:
输入:head = []
输出:[]
提示:
链表中节点的数目范围是 [0, 5000]
-5000 <= Node.val <= 5000
思路

- 首先定义一个cur指针,指向头结点,再定义一个pre指针,初始化为null。
- 然后就要开始反转了,首先要把 cur->next 节点用tmp指针保存一下,也就是保存一下这个节点。
- 为什么要保存一下这个节点呢?因为接下来要改变 cur->next 的指向了,将cur->next 指向pre ,此时已经反转了第一个节点了。
- 接下来,就是循环走如下代码逻辑了,继续移动pre和cur指针。
- 最后,cur 指针已经指向了null,循环结束,链表也反转完毕了。 此时我们return pre指针就可以了,pre指针就指向了新的头结点。
代码实现
/**
* https://leetcode-cn.com/problems/reverse-linked-list/
*
* @author xiexu
* @create 2022-03-01 4:37 PM
*/
public class _206_反转链表 {
public ListNode reverseList(ListNode head) {
ListNode pre = null;
ListNode cur = head;
ListNode tmp = null;
while (cur != null) {
tmp = cur.next; // 保存下一个节点
cur.next = pre;
pre = cur;
cur = tmp;
}
return pre;
}
}
19. 删除链表的倒数第 N 个结点
题目
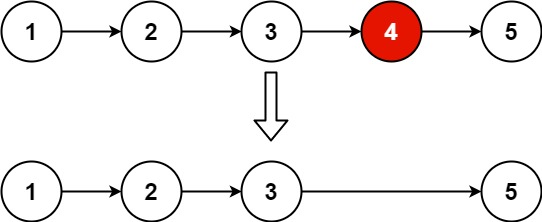
给你一个链表,删除链表的倒数第 n **个结点,并且返回链表的头结点。
示例 1:

输入:head = [1,2,3,4,5], n = 2
输出:[1,2,3,5]
示例 2:
输入:head = [1], n = 1
输出:[]
示例 3:
输入:head = [1,2], n = 1
输出:[1]
提示:
链表中结点的数目为 sz
1 <= sz <= 30
0 <= Node.val <= 100
1 <= n <= sz
思路
- 定义fast指针和slow指针,初始值为虚拟头结点,如图:

- fast首先走n + 1步 ,为什么是n+1呢,因为只有这样同时移动的时候slow才能指向删除节点的前一个节点(方便做删除操作),如图:

- fast和slow同时移动,直到fast指向末尾,如题:

- 删除slow指向的下一个节点,如图:

代码实现
/**
* https://leetcode-cn.com/problems/remove-nth-node-from-end-of-list/
*
* @author xiexu
* @create 2022-03-01 5:30 PM
*/
public class _19_删除链表的倒数第N个结点 {
public ListNode removeNthFromEnd(ListNode head, int n) {
ListNode dummy = new ListNode(-1);
dummy.next = head;
ListNode slow = dummy;
ListNode fast = dummy;
for (int i = 0; i <= n; i++) {
fast = fast.next;
}
while (fast != null) {
slow = slow.next;
fast = fast.next;
}
slow.next = slow.next.next;
return dummy.next;
}
}
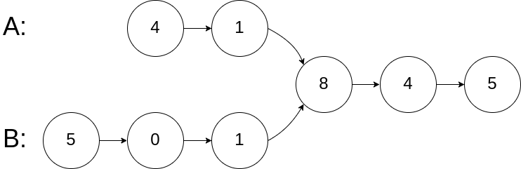
160. 相交链表
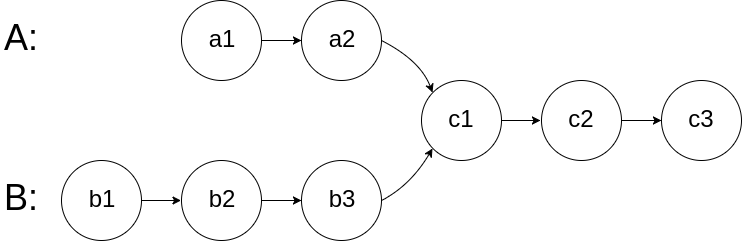
题目
给你两个单链表的头节点 headA 和 headB ,请你找出并返回两个单链表相交的起始节点。如果两个链表没有交点,返回 null 。
图示两个链表在节点 c1 开始相交:

题目数据 保证 整个链式结构中不存在环。
注意,函数返回结果后,链表必须 保持其原始结构 。
示例 1:

输入:intersectVal = 8, listA = [4,1,8,4,5], listB = [5,0,1,8,4,5], skipA = 2, skipB = 3
输出:Intersected at '8'
解释:相交节点的值为 8 (注意,如果两个链表相交则不能为 0)。
从各自的表头开始算起,链表 A 为 [4,1,8,4,5],链表 B 为 [5,0,1,8,4,5]。
在 A 中,相交节点前有 2 个节点;在 B 中,相交节点前有 3 个节点。
示例 2:

输入:intersectVal = 2, listA = [0,9,1,2,4], listB = [3,2,4], skipA = 3, skipB = 1
输出:Intersected at '2'
解释:相交节点的值为 2 (注意,如果两个链表相交则不能为 0)。
从各自的表头开始算起,链表 A 为 [0,9,1,2,4],链表 B 为 [3,2,4]。
在 A 中,相交节点前有 3 个节点;在 B 中,相交节点前有 1 个节点。
示例 3:

输入:intersectVal = 0, listA = [2,6,4], listB = [1,5], skipA = 3, skipB = 2
输出:null
解释:从各自的表头开始算起,链表 A 为 [2,6,4],链表 B 为 [1,5]。
由于这两个链表不相交,所以 intersectVal 必须为 0,而 skipA 和 skipB 可以是任意值。
这两个链表不相交,因此返回 null 。
提示:
listA 中节点数目为 m
listB 中节点数目为 n
0 <= m, n <= 3 * 10^4
1 <= Node.val <= 10^5
0 <= skipA <= m
0 <= skipB <= n
如果 listA 和 listB 没有交点,intersectVal 为 0
如果 listA 和 listB 有交点,intersectVal == listA[skipA + 1] == listB[skipB + 1]
思路

我们可以让p1遍历完链表A之后开始遍历链表B,让p2遍历完链表B之后开始遍历链表A,这样相当于「逻辑上」两条链表接在了一起。
如果这样进行拼接,就可以让p1和p2同时进入公共部分,也就是同时到达相交节点c1:

那你可能会问,如果说两个链表没有相交点,是否能够正确的返回 null 呢?
这个逻辑可以覆盖这种情况的,相当于c1节点是 null 空指针嘛,可以正确返回 null。
代码实现
/**
* https://leetcode-cn.com/problems/intersection-of-two-linked-lists/
*
* @author xiexu
* @create 2022-03-01 5:33 PM
*/
public class _160_相交链表 {
public ListNode getIntersectionNode(ListNode headA, ListNode headB) {
// p1 指向 A 链表头结点,p2 指向 B 链表头结点
ListNode p1 = headA, p2 = headB;
while (p1 != p2) {
// p1 走一步,如果走到 A 链表末尾,转到 B 链表
if (p1 == null) {
p1 = headB;
} else {
p1 = p1.next;
}
// p2 走一步,如果走到 B 链表末尾,转到 A 链表
if (p2 == null) {
p2 = headA;
} else {
p2 = p2.next;
}
}
return p1;
}
}
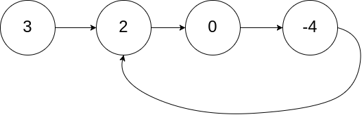
142. 环形链表 II
题目
给定一个链表,返回链表开始入环的第一个节点。 如果链表无环,则返回 null。
如果链表中有某个节点,可以通过连续跟踪 next 指针再次到达,则链表中存在环。 为了表示给定链表中的环,评测系统内部使用整数 pos 来表示链表尾连接到链表中的位置(索引从 0 开始)。如果 pos 是 -1,则在该链表中没有环。注意:pos 不作为参数进行传递,仅仅是为了标识链表的实际情况。
不允许修改 链表。
示例 1:

输入:head = [3,2,0,-4], pos = 1
输出:返回索引为 1 的链表节点
解释:链表中有一个环,其尾部连接到第二个节点。
示例 2:

输入:head = [1,2], pos = 0
输出:返回索引为 0 的链表节点
解释:链表中有一个环,其尾部连接到第一个节点。
示例 3:

输入:head = [1], pos = -1
输出:返回 null
解释:链表中没有环。
提示:
链表中节点的数目范围在范围 [0, 10^4] 内
-10^5 <= Node.val <= 10^5
pos 的值为 -1 或者链表中的一个有效索引
思路
- 判断链表是否有环
可以使用快慢指针法,分别定义 fast 和 slow 指针,从头结点出发,fast指针每次移动两个节点,slow指针每次移动一个节点,如果 fast 和 slow指针在途中相遇 ,说明这个链表有环。
为什么fast 走两个节点,slow走一个节点,有环的话,一定会在环内相遇呢,而不是永远的错开呢
首先第一点:fast指针一定先进入环中,如果fast指针和slow指针相遇的话,一定是在环中相遇,这是毋庸置疑的。
那么来看一下,为什么fast指针和slow指针一定会相遇呢?
可以画一个环,然后让 fast指针在任意一个节点开始追赶slow指针。
会发现最终都是这种情况, 如下图:

fast和slow各自再走一步, fast和slow就相遇了
这是因为fast是走两步,slow是走一步,其实相对于slow来说,fast是一个节点一个节点的靠近slow的,所以fast一定可以和slow重合。
动画如下:

- 如果有环,如何找到这个环的入口
此时已经可以判断链表是否有环了,那么接下来要找这个环的入口了。
假设从头结点到环形入口节点 的节点数为x。 环形入口节点到 fast指针与slow指针相遇节点 节点数为y。 从相遇节点 再到环形入口节点节点数为 z。 如图所示:

那么相遇时: slow指针走过的节点数为: x + y, fast指针走过的节点数:x + y + n (y + z),n为fast指针在环内走了n圈才遇到slow指针, (y+z)为 一圈内节点的个数A。
因为fast指针是一步走两个节点,slow指针一步走一个节点, 所以 fast指针走过的节点数 = slow指针走过的节点数 * 2:
(x + y) * 2 = x + y + n (y + z)
两边消掉一个(x+y): x + y = n (y + z)
因为要找环形的入口,那么要求的是x,因为x表示 头结点到 环形入口节点的的距离。
所以要求x ,将x单独放在左面:x = n (y + z) - y ,
再从 n(y+z) 中提出一个 (y+z)来,整理公式之后为如下公式:x = (n - 1) (y + z) + z 注意这里n一定是大于等于1的,因为 fast指针至少要多走一圈才能相遇slow指针。
这个公式说明什么呢?
先拿n为1的情况来举例,意味着fast指针在环形里转了一圈之后,就遇到了 slow指针了。
当 n为1的时候,公式就化解为 x = z,
这就意味着,从头结点出发一个指针,从相遇节点 也出发一个指针,这两个指针每次只走一个节点, 那么当这两个指针相遇的时候就是 环形入口的节点。
也就是在相遇节点处,定义一个指针index1,在头结点处定一个指针index2。
让index1和index2同时移动,每次移动一个节点, 那么他们相遇的地方就是 环形入口的节点。
动画如下:

那么 n如果大于1是什么情况呢,就是fast指针在环形转n圈之后才遇到 slow指针。
其实这种情况和n为1的时候 效果是一样的,一样可以通过这个方法找到 环形的入口节点,只不过,index1 指针在环里 多转了(n-1)圈,然后再遇到index2,相遇点依然是环形的入口节点。
代码实现
/**
* https://leetcode-cn.com/problems/linked-list-cycle-ii/
*
* @author xiexu
* @create 2022-03-01 5:37 PM
*/
public class _142_环形链表_II {
public ListNode detectCycle(ListNode head) {
ListNode slow = head;
ListNode fast = head;
while (fast != null && fast.next != null) {
slow = slow.next;
fast = fast.next.next;
if (slow == fast) { // 有环
ListNode index1 = fast;
ListNode index2 = head;
// 两个指针,从头结点和相遇结点,各走一步,直到相遇,相遇点即为环入口
while (index1 != index2) {
index1 = index1.next;
index2 = index2.next;
}
return index1;
}
}
return null;
}
}
15. 三数之和
题目
给你一个包含 n 个整数的数组 nums,判断 nums 中是否存在三个元素 a,b,c ,使得 a + b + c = 0 ?请你找出所有和为 0 且不重复的三元组。
注意:答案中不可以包含重复的三元组。
示例 1:
输入:nums = [-1,0,1,2,-1,-4]
输出:[[-1,-1,2],[-1,0,1]]
示例 2:
输入:nums = []
输出:[]
示例 3:
输入:nums = [0]
输出:[]
提示:
0 <= nums.length <= 3000
-10^5 <= nums[i] <= 10^5
思路
- 特判,对于数组长度 n,如果数组为 null 或者数组长度小于 3,返回 [ ]。
- 对数组进行排序。
- 遍历排序后数组:
- 若 nums[i] > 0:因为已经排序好,所以后面不可能有三个数加和等于 00,直接返回结果。
- 对于重复元素:跳过,避免出现重复解
- 令左指针 left=i+1 ,右指针 right = n − 1,当 left < right 时,执行循环:
- 当
nums[i] + nums[L] + nums[R] == 0,执行循环,判断左界和右界是否和下一位置重复,去除重复解。并同时将L , R移到下一位置,寻找新的解 - 若和大于 0,说明
nums[right]太大,right 左移 - 若和小于 0,说明
nums[left]太小,left 右移
- 当
代码实现
/**
* https://leetcode-cn.com/problems/3sum/
*
* @author xiexu
* @create 2022-03-01 5:48 PM
*/
public class _15_三数之和 {
public List<List<Integer>> threeSum(int[] nums) {
List<List<Integer>> res = new ArrayList<>();
int len = nums.length;
if (nums == null || len < 3) {
return res;
}
// 将数组进行排序
Arrays.sort(nums);
for (int i = 0; i < len; i++) {
if (nums[i] > 0) { // 如果当前数字大于0,则三数之和一定大于0,所以结束循环
break;
}
// 去重,当起始的值等于前一个元素,那么得到的结果将会和前一次相同
if (i > 0 && nums[i] == nums[i - 1]) {
continue;
}
int left = i + 1;
int right = len - 1;
while (left < right) {
int sum = nums[i] + nums[left] + nums[right];
if (sum == 0) {
ArrayList<Integer> list = new ArrayList<>();
list.add(nums[i]);
list.add(nums[left]);
list.add(nums[right]);
res.add(list);
// 去重,因为 i 不变,当此时 left 取的值与后一个数相同,所以不用再计算,直接跳
while (left < right && nums[left] == nums[left + 1]) {
left++;
}
// 去重,因为 i 不变,当此时 right 取的值与前一个数相同,所以不用再计算
while (left < right && nums[right] == nums[right - 1]) {
right--;
}
// 将左指针右移,将右指针左移
left++;
right--;
} else if (sum < 0) {
left++;
} else if (sum > 0) {
right--;
}
}
}
return res;
}
}
18. 四数之和
题目
给你一个由 n 个整数组成的数组 nums ,和一个目标值 target 。请你找出并返回满足下述全部条件且不重复的四元组 [ nums[a], nums[b], nums[c], nums[d] ] (若两个四元组元素一一对应,则认为两个四元组重复):
0 <= a, b, c, d < na、b、c和d互不相同nums[a] + nums[b] + nums[c] + nums[d] == target
你可以按 任意顺序 返回答案 。
示例 1:
输入:nums = [1,0,-1,0,-2,2], target = 0
输出:[[-2,-1,1,2],[-2,0,0,2],[-1,0,0,1]]
示例 2:
输入:nums = [2,2,2,2,2], target = 8
输出:[[2,2,2,2]]
提示:
1 <= nums.length <= 200
-10^9 <= nums[i] <= 10^9
-10^9 <= target <= 10^9
代码实现
/**
* https://leetcode-cn.com/problems/4sum/
*
* @author xiexu
* @create 2022-03-01 5:57 PM
*/
public class _18_四数之和 {
public List<List<Integer>> fourSum(int[] nums, int target) {
List<List<Integer>> res = new ArrayList<>();
if (nums.length < 4) {
return res;
}
Arrays.sort(nums);
for (int i = 0; i < nums.length; i++) {
if (i > 0 && nums[i] == nums[i - 1]) {
continue;
}
for (int j = i + 1; j < nums.length; j++) {
if (j > i + 1 && nums[j] == nums[j - 1]) {
continue;
}
int left = j + 1;
int right = nums.length - 1;
while (left < right) {
int sum = nums[i] + nums[j] + nums[left] + nums[right];
if (sum == target) {
ArrayList<Integer> list = new ArrayList<>();
list.add(nums[i]);
list.add(nums[j]);
list.add(nums[left]);
list.add(nums[right]);
res.add(list);
while (left < right && nums[left] == nums[left + 1]) {
left++;
}
while (left < right && nums[right] == nums[right - 1]) {
right--;
}
left++;
right--;
} else if (sum > target) {
right--;
} else if (sum < target) {
left++;
}
}
}
}
return res;
}
}