有向无权图简介
图是作为数据结构的一种类型,有向无权图是指有方向但没有方向路径权值。
python如何模拟有向无权图
利用列表模拟,看作为邻接表。邻接表是图的一种表示方法。
关于数据结构更多可以查看这篇博文:
执念斩长河专栏数据结构–目录
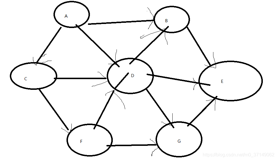
实例:python搜索图中指定两点的最短路径
实例用图:
实验效果:
实验代码:
# -*- coding:utf-8 -*-
def searchGraph(graph,start,end):
results = []
generatePath(graph,[start],end,results)
results.sort(key=lambda x:len(x))
return results
def generatePath(graph,path,end,results):
state = path[-1]
if state == end:
results.append(path)
else:
for arc in graph[state]:
if arc not in path:
generatePath(graph,path + [arc],end,results)
if __name__ == '__main__':
Graph = {'A':['B','C','D'],
'B':['E'],
'C':['D','F'],
'D':['B','E','G'],
'E':[],
'F':['D','G'],
'G':['E']}
r = searchGraph(Graph,'A','E')
print('*************************')
print(' path A to E')
print('*************************')
if not r:
print('很遗憾,无此路径...')
else:
for i in r:
print(i)
版权声明:本文为m0_37149062原创文章,遵循CC 4.0 BY-SA版权协议,转载请附上原文出处链接和本声明。