引言
本文主要针对作者本人复习使用,相关基础知识点不会讲述。
二叉堆
二叉堆是最普通的堆,能够实现p u s h , p o p push,poppush,pop等基本操作,下面以小根堆为例给出一种常见的实现。
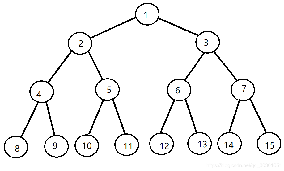
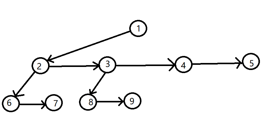
首先设置一个足够大的数组,我们将树的节点按照层次遍历的顺序从小到大依次放置在数组中,数组中的位置也对应是该节点的编号,如下图所示:
上图是一个典型的二叉树,每个节点上标注的数字即是该节点的编号,容易发现对于一个节点u uu而言,它的儿子分别是2 u , 2 u + 1 2u,2u+12u,2u+1,它的父亲是⌊ u 2 ⌋ \lfloor \frac u2\rfloor⌊2u⌋。
下面是一些必要的数组和变量声明,其中t [ m a x n ] t[maxn]t[maxn]数组用于储存堆,t o t tottot表示节点的最大编号。
int t[maxn],tot;
由于小根堆必须满足父亲节点的权值不小于子节点的权值,因此再p u s h pushpush和p o p poppop的过程中要对这一性质进行有效地维护。
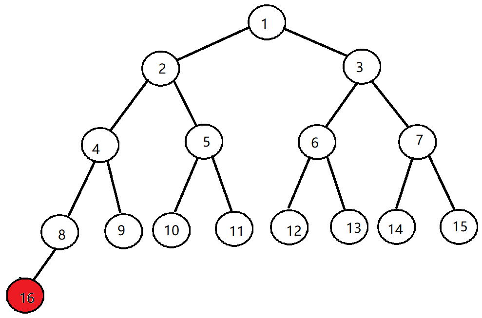
p u s h pushpush操作: 考虑插入一个权值为x xx的点,首先直接将x xx插入到数组的末尾即可,以上图为例,插入一个新点后如下图所示,新点用红色表示:
由于插入一个新点后的新堆可能不满足堆的性质,因此考虑交换一些节点的权值来达到平衡,考虑上图中的16 、 8 16、816、8两个节点,如果8 88节点权值大于16 1616节点,那么我们交换它们两个的权值即可,然后再考虑8 88与4 44权值的关系…一直比较到满足父亲权值不大于儿子权值的时候为止。
具体实现代码如下:
void push(int x){
t[++tot]=x;//新建节点并赋予权值
int u=tot;//从该新节点开始考虑其与父亲的关系
while(u>1){
int v=u>>1;
if(t[u]<t[v])swap(t[u],t[v]);else return;
u=v;
}
}
p o p poppop操作: 先将树根节点与编号最大的节点的权值进行交换,然后将这个编号最大的节点删除即可。
当然这样做并不能保证新的堆仍然具有良好的性质,因此考虑根节点是否符合性质,即根节点权值必须不大于它的两个儿子节点,如果不满足,那么考虑将它的两个儿子中较小的一个与它交换一下权值,然后类似于p u s h pushpush操作一样继续向下考虑直到考虑到满足条件位置。不过需要注意一下没有儿子以及只有一个儿子的情况,需要特殊判断,代码实现如下:
void pop(){
swap(t[1],t[tot]);--tot;//先将根节点与尾节点交换权值并删除尾节点
int u=1;
while((u<<1)<=tot){//如果存在儿子
int a=u<<1,b=a+1;//两个儿子分别是a,b
if(t[a]>t[u] && (b>tot || b<=tot && t[b]>t[u]))return;//如果符合堆的性质那么就不用继续判断了
if(b>tot || t[a]<=t[b]){//如果只有一个儿子或左儿子不大于右儿子,就跟左儿子交换即可
swap(t[a],t[u]);
u=a;
}else swap(t[b],t[u]),u=b;//否则跟右儿子交换
}
}
下面以LuoGu P3378 【模板】堆为例给出一份参考代码:
#include <bits/stdc++.h>
using namespace std;
const int maxn = 1e6+5;
int t[maxn],n,tot;
void push(int x){
t[++tot]=x;
int u=tot;
while(u>1){
int v=u>>1;
if(t[u]<t[v])swap(t[u],t[v]);else return;
u=v;
}
}
void pop(){
swap(t[1],t[tot]);--tot;
int u=1;
while((u<<1)<=tot){
int a=u<<1,b=a+1;
if(t[a]>t[u] && (b>tot || b<=tot && t[b]>t[u]))return;
if(b>tot || t[a]<=t[b]){
swap(t[a],t[u]);
u=a;
}else swap(t[b],t[u]),u=b;
}
}
int top(){
return t[1];
}
int main(){
scanf("%d",&n);
for(int i=1;i<=n;++i){
int op,x;
scanf("%d",&op);
if(op==1){
scanf("%d",&x);
push(x);
}else if(op==2)printf("%d\n",top());
else pop();
}
}
左偏树
左偏树是一种可并堆,能够将两个堆进行合并,形成的一个新的堆仍然具有良好的性质。
首先给出几个定义:
外节点: 没有儿子或者只有一个儿子的节点
d [ u ] d[u]d[u]: 从u uu节点出发到达最近的外节点的距离
规定外节点的d dd值为0 00,空节点的d dd值也就是-1,相应地一开始要设置d [ 0 ] = − 1 d[0]=-1d[0]=−1。
那么左偏树除了满足堆的性质以外,还满足它的左儿子的d dd值不小于右儿子的d dd值,我们在建树的时候就需要额外维护这种性质。
然后注意到一颗大小为n nn的树它的根节点的d dd值的级别是O ( l o g ( n + 1 ) ) O(log(n+1))O(log(n+1))的,因为假设它的d dd值是x xx,那么这颗树至少在前x + 1 x+1x+1层都是满的,也就是说至少有2 x + 1 − 1 2^{x+1}-12x+1−1个节点。
关于左偏树最核心的操作是m e r g e mergemerge操作,它能够将两个左偏树合并为一个左偏树,每次都拿右儿子去合并即可,这样能够保证d dd值递减,而d dd值最大是O ( l o g n ) O(logn)O(logn)级别的,这样就能保证m e r g e mergemerge是对数级别的复杂度,有时候为了方便需要记录每个节点的父节点,这个用于并查集的更新,就能够很快地找到每个节点所在左偏树的根节点。下面给出一份实现代码:
int merge(int u,int v){
if(!u || !v)return u+v;
if(val[u]>val[v])swap(u,v);
rs[u]=merge(rs[u],v);
fa[rs[u]]=u;//更新fa数组,当需要用到并查集的时候才写这一句
if(d[rs[u]]>d[ls[u]])swap(rs[u],ls[u]);//保证右子树的d值更小
d[u]=d[rs[u]]+1;
return u;
}
p u s h pushpush节点和p o p poppop节点的操作均可以用m e r g e mergemerge操作实现。如果要p u s h pushpush节点那么可以m e r g e ( r o o t , n e w n o d e ) merge(root,newnode)merge(root,newnode)即可,如果要p o p poppop节点那就将r o o t rootroot的两个儿子节点m e r g e mergemerge一下即可。具体代码如下所示:
int newnode(int x){
val[++tot]=x;
return tot;
}
void push(int x){
root=merge(root,newnode(x));
}
void pop(){
root=merge(ls[root],rs[root]);
}
当然,有了并查集我们还可以维护多个左偏树,如果想要p o p poppop某个节点所在的左偏树,可以利用并查集锁定该节点所在的左偏树的根节点即可,不过断开根节点和它儿子节点的边会导致并查集出现问题,需要更改一些f a fafa值,考虑设置根节点的两个儿子节点的f a fafa为它们自己,而根节点的f a fafa需要设置为新树的根节点,最后还需要给原树的根节点打上一个被删除标记,代码如下所示:
void pop(int u){//pop u所在的左偏树
if(vis[u])return;//如果已经被删除就不需要进一步操作了
u=fd(u);//找到u所在左偏树根节点
fa[rs[u]]=rs[u];//儿子的fa设置为自己
fa[ls[u]]=ls[u];
fa[u]=merge(ls[u],rs[u]);//根节点的fa设置成新树的根节点
vis[u]=1;//给根节点打上被删除标记
}
左偏树还可以实现删除任意一个节点的操作,我们考虑增加一个f ff数组,用于储存左偏树中的每个节点的直接父亲(注意与并查集中的父亲节点区分开),假设我们要删除u uu节点,那么需要设置f [ m e r g e ( l s [ u ] , r s [ u ] ) ] = f [ u ] f[merge(ls[u],rs[u])]=f[u]f[merge(ls[u],rs[u])]=f[u],此外还要更改一下f [ u ] f[u]f[u]的儿子节点,并且注意当u uu是根节点的时候要特判一下,设置一下r o o t rootroot值为新树根节点。不过注意到在f [ u ] f[u]f[u]之上的节点的d dd值没有得到维护,因此需要暴力跳父亲节点去c h e c k checkcheck是否满足左偏树的性质,并进行相应地更新即可,注意到之后d dd值不符合的时候才会继续暴跳父亲节点,一旦有一个父亲节点满足d dd值关系,那么就没有必要继续跳了,这样的话d dd值最多被更新O ( l o g n ) O(logn)O(logn)次,复杂度得到了保证,如果需要维护并查集的话注意特判一下u uu是根节点的情况,代码实现如下所示:
void del(int u){
if(vis[u])return;int v;
f[v=merge(ls[u],rs[u])]=f[u];
if(u==root){
root=v;
fa[u]=fa[v]=v;
}
if(ls[f[u]]==u)ls[f[u]]=v;else rs[f[u]]=v;
while(f[v]){
v=f[v];
if(d[ls[v]]<d[rs[v]])swap(ls[v],rs[v]);
if(d[v]==d[rs[v]]+1)return;
d[v]=d[rs[v]]+1;
}
}
左偏树还有一种随机化的写法,也就是在m e r g e mergemerge操作中随机交换左右儿子,而不是根据d dd值来决定是否交换,可以证明这样写的话复杂度仍然是O ( l o g n ) O(logn)O(logn)的。
最后注意左偏树的深度其实并不保证是O ( l o g n ) O(logn)O(logn)的,甚至能够到达O ( n ) O(n)O(n),即一条向左倾斜的链。
下面以LuoGu P3377 【模板】左偏树(可并堆)为例给出一份参考代码:
#include <bits/stdc++.h>
using namespace std;
const int maxn = 1e5+5;
int fa[maxn],ls[maxn],rs[maxn],val[maxn],d[maxn],n,m,vis[maxn];
int fd(int rt){
return rt==fa[rt]?rt:(fa[rt]=fd(fa[rt]));
}
int merge(int u,int v){
if(!u || !v)return u+v;
if(val[u]>val[v] || val[u]==val[v]&&u>v)swap(u,v);
fa[rs[u]=merge(rs[u],v)]=u;
if(d[rs[u]]>d[ls[u]])swap(rs[u],ls[u]);
d[u]=d[rs[u]]+1;
return u;
}
int pop(int u){
if(vis[u])return -1;
u=fd(u);
fa[rs[u]]=rs[u];
fa[ls[u]]=ls[u];
fa[u]=merge(ls[u],rs[u]);
vis[u]=1;
return val[u];
}
int main(){
d[0]=-1;
scanf("%d%d",&n,&m);
for(int i=1;i<=n;++i){
scanf("%d",&val[i]);
fa[i]=i;
}
for(int i=1;i<=m;++i){
int op,x,y;
scanf("%d%d",&op,&x);
if(op==1){
scanf("%d",&y);
if(fd(x)==fd(y) || vis[x] || vis[y])continue;
merge(fd(x),fd(y));
}else{
printf("%d\n",pop(x));
}
}
}
斜堆
斜堆是左偏堆的一个变种,唯一的差别就是m e r g e mergemerge函数。斜堆不储存d dd值,并且不依靠d dd值来判断是否需要交换左右儿子,而是每次递归回溯都直接交换左右儿子,代码如下所示:
int merge(int u,int v){
if(!u || !v)return u+v;
if(val[u]>val[v])swap(u,v);
rs[u]=merge(rs[u],v);
fa[rs[u]]=u;//更新fa数组,当需要用到并查集的时候才写这一句
swap(rs[u],ls[u]);//直接交换左右儿子
return u;
}
剩下的操作和左偏树相同,就不多说,需要注意的是斜堆的深度同样无法得到保证,但它的复杂度可以保证O ( l o g n ) O(logn)O(logn)。
配对堆
配对堆的均摊复杂度是O ( l o g n ) O(logn)O(logn)的,但实际上它的插入操作非常快,不过删除操作就较为逊色,它也是一种可并堆,能够将两个堆进行合并,除此之外它还能实现更键值(由大变小)的操作。
配对堆采用左儿子右兄弟的方式储存树结构,设置s o n [ u ] son[u]son[u]表示u uu的左儿子,b r o [ u ] bro[u]bro[u]表示u uu的右兄弟,具体如下图所示:
上图中以2 22节点为例,b r o [ 2 ] = 3 , s o n [ 2 ] = 6 bro[2]=3,son[2]=6bro[2]=3,son[2]=6,如果一个节点没有兄弟节点,那么设置其兄弟节点值为0,儿子节点没有同理。此外再设置一个f a fafa数组,注意到上图中每个节点最多只有一个节点指向它,考虑让这个指向它的节点是它的f a fafa值,这只是为了方便起见这样做,事实上从一颗树的角度来说它的父亲不应该这样设置。
下面来实现m e r g e mergemerge操作,假设要将u uu和v vv合并,并且v a l [ u ] ≤ v a l [ v ] val[u]\le val[v]val[u]≤val[v](如果不满足就交换一下),那么设置f a [ v ] = u , f a [ s o n [ u ] ] = v , b r o [ v ] = s o n [ u ] , s o n [ u ] = v fa[v]=u,fa[son[u]]=v,bro[v]=son[u],son[u]=vfa[v]=u,fa[son[u]]=v,bro[v]=son[u],son[u]=v即可,如下图所示(加入以10节点为根新树,假设v a l [ 1 ] ≤ v a l [ 10 ] val[1]\le val[10]val[1]≤val[10],将灰线断开,连上红线):
具体代码如下:
int merge(int u,int v){
if(!u || !v)return u+v;
if(val[u]>val[v])swap(u,v);
fa[son[u]]=v;
fa[v]=u;
fa[u]=0;
bro[v]=son[u];
son[u]=v;
return u;
}
有了m e r g e mergemerge操作,实现p u s h pushpush操作就很简单了,类似左偏树,我们m e r g e ( r o o t , n e w n o d e ) merge(root,newnode)merge(root,newnode)即可。代码如下:
int newnode(int x){
val[++tot]=x;
return tot;
}
void push(int x){
root=merge(root,newnode(x));
}
最麻烦的是p o p poppop操作,注意到p u s h pushpush操作是O ( 1 ) O(1)O(1)的,那么复杂度全堆到了p o p poppop操作上。我们考虑m e r g e mergemerge根节点的所有儿子节点,注意到这里的儿子节点指的是树的关系中的儿子节点,还是以下面这张图为例,我们需要将2 、 3 、 4 、 5 2、3、4、52、3、4、5节点m e r g e mergemerge。
如果一个一个m e r g e mergemerge的话复杂度会太大,考虑从左到右两个两个m e r g e mergemerge,再从右到左依次merge,这里先实现一个辅助函数m e r g e s ( u ) merges(u)merges(u)用于合并它的所有兄弟节点,代码如下所示:
int merges(int u){//将u的兄弟全部合并,从左到右两两配对,再从右往左依次合并
fa[u]=0;
if(!u || !bro[u])return u;
int v=bro[u],w=bro[v];
fa[v]=bro[u]=bro[v]=0;
return merge(merge(u,v),merges(w));
}
那么p o p poppop操作其实就是m e r g e s mergesmerges它的左儿子即可。代码如下:
void pop(){
root=merges(son[root]);
}
配对堆还可以减小某个节点的值,方法也很暴力,考虑减小某个节点的值后,直接将该节点连同其子树从原树中分离,然后再与原树进行m e r g e mergemerge操作即可,原理也比较简单,也不多解释, 具体看代码:
void assign(int u,int x){
val[u]=x;
if(!fa[u]){//如果是根节点就特判
root=u;
return;
}
if(son[fa[u]]==u){//判断一下与其父节点关系(兄弟or儿子)
son[fa[u]]=bro[u];
}else bro[fa[u]]=bro[u];
fa[bro[u]]=fa[u];
fa[u]=0;
root=merge(root,u);//最后merge一下即可
}
这里以LuoGu P3378 【模板】堆为例给出一份参考代码:
#include <bits/stdc++.h>
using namespace std;
const int maxn = 1e6+5;
int n,fa[maxn],tot,val[maxn],son[maxn],bro[maxn],root=0;
int merge(int u,int v){
if(!u || !v)return u+v;
if(val[u]>val[v])swap(u,v);
fa[son[u]]=v;
fa[v]=u;
fa[u]=0;
bro[v]=son[u];
son[u]=v;
return u;
}
int merges(int u){//将u的兄弟全部合并,从左到右两两配对,再从右往左依次合并
fa[u]=0;
if(!u || !bro[u])return u;
int v=bro[u],w=bro[v];
fa[v]=bro[u]=bro[v]=0;
return merge(merge(u,v),merges(w));
}
int newnode(int x){
val[++tot]=x;
return tot;
}
void push(int x){
root=merge(root,newnode(x));
}
int top(){
return val[root];
}
void pop(){
root=merges(son[root]);
}
void assign(int u,int x){
val[u]=x;
if(!fa[u]){
root=u;
return;
}
if(son[fa[u]]==u){
son[fa[u]]=bro[u];
}else bro[fa[u]]=bro[u];
fa[bro[u]]=fa[u];
fa[u]=0;
root=merge(root,u);
}
int main(){
int n;
scanf("%d",&n);
for(int i=1;i<=n;++i){
int op,x;
scanf("%d",&op);
if(op==1){
scanf("%d",&x);
push(x);
}else if(op==2)printf("%d\n",top());
else pop();
}
}
二项堆
二项堆是一种可并堆。
二项堆不是一棵树,而是一个森林,定义在这个森林中允许存在的最小的树是B 0 B_0B0,大小为2 0 2^020,即只有一个节点,B 1 B_1B1由两个B 0 B_0B0堆叠而来,B 2 B_2B2由两个B 1 B_1B1堆叠而来…以此类推类推,下面这张图可以很好地看出森林中树之间的关系。
一个堆会被拆分成一个森林,并且该森林中的树只能是上图所示的树中的一些组成。比如一个大小为7 77的堆只能由B 0 , B 1 , B 2 B_0,B_1,B_2B0,B1,B2组成,一个大小为9 99的堆只能由B 0 , B 3 B_0,B_3B0,B3组成,其中每颗树都符合堆的性质。
具体实现的时候,为了方便我们用左儿子右兄弟的方法表示一颗树,即真实的树如下图所示:
我们用一个结构体来记录二项堆,其本质是记录这个森林中所有树的根节点,并与此同时维护整个森林的最小值,即所有树根节点的v a l valval值种最小的一个,森林中最大的一棵树是B s z − 1 B_{sz-1}Bsz−1。
struct Bheap{
int t[maxlog]={},sz=0,top=0;
};
下面考虑实现m e r g e mergemerge操作,m e r g e mergemerge操作由两个引用参数a , b a,ba,b,代表将两个二项堆a aa与b bb合并,并将合并的结果放在a aa中。合并的原理也很简单,我们遍历两个森林的根节点列表按照尺寸从小到大的顺序,考虑B i B_iBi在a , b a,ba,b中是否存在,有四种情况,下面将分别讨论这四种情况,我们需要用到一个辅助函数c o m b i n ( u , v ) combin(u,v)combin(u,v)代表将两个相同大小的树合并,返回新树的根节点,此外需要一个变量c u r curcur代表在考虑1 ∼ i − 1 1\sim i-11∼i−1的尺寸的树的过程中产生的一个尺寸为i ii的树的根节点:
- a存在,b存在:如果c u r curcur不为零,我们就将c u r curcur与b bb做一次c o m b i n combincombin操作,得到的新的c u r curcur显然尺寸为i + 1 i+1i+1,那么不能放在第i ii个位置,就到下一个位置继续考虑。如果c u r curcur为零,那么我们将a aa与b bb的B i B_iBi做一次c o m b i n combincombin操作,得到的根节点赋给c u r curcur,这时候c u r curcur的尺寸为i + 1 i+1i+1,也不能放在当前位置,考虑将a aa的B i B_iBi置空即可,然后考虑下一个位置能否放置c u r curcur。
- a存在,b不存在:如果c u r curcur为零,我们什么都不要做;否则我们我们将a aa的B i B_iBi与c u r curcur做一次c o m b i n combincombin并更新c u r curcur,然后置空a aa的B i B_iBi。
- a不存在,b存在:如果c u r curcur为零,我们把b bb的B i B_iBi赋给a aa的B i B_iBi即可;否则我们我们将b bb的B i B_iBi与c u r curcur做一次c o m b i n combincombin并更新c u r curcur。
- a和b都不存在:如果c u r curcur为零,什么都不做。否则把c u r curcur直接赋给a aa的B i B_iBi即可。
那么c o m b i n combincombin操作如何实现呢?很简单,我们只需要比较u , v u,vu,v的v a l valval值大小,将v a l valval值小的作为新树根节点,然后另一个节点成为新树根节点的左儿子即可。
最后注意在m e r g e mergemerge的时候维护一下t o p toptop即可。
代码如下所示:
int combin(int u,int v){//将相同大小的树合并
if(!u || !v)return u+v;
if(val[u]>val[v])swap(u,v);
bro[v]=son[u];
son[u]=v;
return u;
}
void merge(Bheap &a,Bheap &b){
if(!a.sz){//特判一下空堆的情况
a=b;return;
}else if(!b.sz)return;
int i=0,cur=0;a.top=min(a.top,b.top);//维护一下top
while(i<max(a.sz,b.sz) || cur){//从尺寸小的树考虑到尺寸大的,有四种情况
if(a.t[i] && b.t[i]){
if(cur){
cur=combin(cur,b.t[i]);
}else{
cur=combin(a.t[i],b.t[i]);
a.t[i]=0;
}
}else if(a.t[i]){
if(cur){
cur=combin(cur,a.t[i]);
a.t[i]=0;
}
}else if(b.t[i]){
if(cur)cur=combin(cur,b.t[i]);
else a.t[i]=b.t[i];
}else{
a.t[i]=cur;
cur=0;
}
i++;
}
a.sz=i;//最后别忘了更新尺寸
}
有了m e r g e mergemerge操作就可以轻易实现p u s h pushpush操作了,我们考虑新建一个二项堆,只有一个节点,这个节点的v a l valval值赋为我们要p u s h pushpush的值即可,然后将这个新建的二项堆与原来的二项堆合并即可。
Bheap newnode(int x){
val[++tot]=x;
Bheap ans;ans.t[0]=tot,ans.sz=1,ans.top=x;
return ans;
}
void push(Bheap &a,int x){
Bheap b=newnode(x);
merge(a,b);
}
最后是p o p poppop操作,我们先找到堆的v a l valval最小的根节点所在的位置,B i d B_{id}Bid是我们要找的这颗树,其根节点是u uu,那么我们将它的所有子树拆开来,根据二项堆的性质,它恰好能够拆成B 0 ∼ i d − 1 B_{0\sim id-1}B0∼id−1,将这些树放在一个新二项堆中,然后将这个新的二项堆与原二项堆做一次合并操作即可。
代码实现的时候需要注意一些细节,详见注释:
void pop(Bheap &a){
int id=0;
for(int i=0;i<a.sz;++i){//先找到val最小的根节点
if(!a.t[i])continue;
if(val[a.t[i]]==a.top){
id=i;
break;
}
}
Bheap b;b.sz=id;
int u=son[a.t[id]],v=bro[u];b.top=val[u];a.t[id]=0;
while(a.sz && !a.t[a.sz-1])a.sz--;if(a.sz)a.top=val[a.t[a.sz-1]];//更新一下a的sz和top
for(int i=0;i<a.sz;++i)if(a.t[i])a.top=min(a.top,val[a.t[i]]);
for(int i=id-1;i>=0;--i){//把son[u]的所有兄弟节点拆开来并一个个放到新堆b中
b.t[i]=u;
b.top=min(val[u],b.top);
bro[u]=0,u=v,v=bro[v];
}
merge(a,b);//合并a和b即可(结果放在a中)
}
当然还可以类似左偏树一样实现减少一个指定节点v a l valval的操作,方法也很简单,先改变该节点的值,然后,类似二叉树我们可以让这个节点与它的父亲节点比较,如果不满足堆的性质,就与它的父亲节点交换val即可,如何寻找父亲节点呢,考虑维护一个f a fafa数组,f a [ u ] fa[u]fa[u]代表指向u uu节点的节点,于是可以遍历f a fafa,直到遇到它在树中的真父亲节点为止,由于一个父亲节点的儿子最多是O ( l o g n ) O(logn)O(logn)级别的,而一旦找到真父亲节点后,每次交换v a l valval都会减少当前节点深度,因此总复杂度也是O ( l o g n ) O(logn)O(logn)级别的。
这里以LuoGu P3378 【模板】堆为例给出一份参考代码:
#include <bits/stdc++.h>
using namespace std;
const int maxn = 1e6+5;
const int inf = 2147483647;
const int maxlog = 21;
int tot,bro[maxn],son[maxn],val[maxn];
struct Bheap{
int t[maxlog]={},sz=0,top=0;
};
int combin(int u,int v){//将相同大小的树合并
if(!u || !v)return u+v;
if(val[u]>val[v])swap(u,v);
bro[v]=son[u];
son[u]=v;
return u;
}
void merge(Bheap &a,Bheap &b){
if(!a.sz){
a=b;return;
}else if(!b.sz)return;
int i=0,cur=0;a.top=min(a.top,b.top);
while(i<max(a.sz,b.sz) || cur){
if(a.t[i] && b.t[i]){
if(cur){
cur=combin(cur,b.t[i]);
}else{
cur=combin(a.t[i],b.t[i]);
a.t[i]=0;
}
}else if(a.t[i]){
if(cur){
cur=combin(cur,a.t[i]);
a.t[i]=0;
}
}else if(b.t[i]){
if(cur)cur=combin(cur,b.t[i]);
else a.t[i]=b.t[i];
}else{
a.t[i]=cur;
cur=0;
}
i++;
}
a.sz=i;
}
Bheap newnode(int x){
val[++tot]=x;
Bheap ans;ans.t[0]=tot,ans.sz=1,ans.top=x;
return ans;
}
void insert(Bheap &a,int x){
Bheap b=newnode(x);
merge(a,b);
}
int top(Bheap &a){
return a.top;
}
void pop(Bheap &a){
int id=0;
for(int i=0;i<a.sz;++i){
if(!a.t[i])continue;
if(val[a.t[i]]==a.top){
id=i;
break;
}
}
Bheap b;b.sz=id;
int u=son[a.t[id]],v=bro[u];b.top=val[u];a.t[id]=0;
while(a.sz && !a.t[a.sz-1])a.sz--;if(a.sz)a.top=val[a.t[a.sz-1]];
for(int i=0;i<a.sz;++i)if(a.t[i])a.top=min(a.top,val[a.t[i]]);
for(int i=id-1;i>=0;--i){
b.t[i]=u;
b.top=min(val[u],b.top);
bro[u]=0,u=v,v=bro[v];
}
merge(a,b);
}
int main(){
int n;
scanf("%d",&n);
Bheap t;
for(int i=1;i<=n;++i){
int op,x;
scanf("%d",&op);
if(op==1){
scanf("%d",&x);
insert(t,x);
}else if(op==2){
printf("%d\n",top(t));
}else pop(t);
}
}
斐波拉契堆
一种常数巨大实现巨复杂的堆(貌似没有实际价值),pairing heap其实可以完美地代替它。
所以先鸽了
STL中的堆
c++自带一些堆,首先是p r i o r i t y _ q u e u e priority\_queuepriority_queue,对应的头文件是q u e u e queuequeue,声明方式是p r i o r i t y _ q u e u e < T , v e c t o r < T > , f u n c t i o n < T > > priority\_queue<T,vector<T>,function<T>>priority_queue<T,vector<T>,function<T>>,T TT代表优先队列储存的数据类型,f u n c t i o n < T > function<T>function<T>是一个仿函数,能够表明T TT的比较方式,S T L STLSTL中自带两个仿函数g r e a t e r < i n t > , l e s s < i n t > greater<int>,less<int>greater<int>,less<int>,分别代表升序降序。默认情况下的声明方式为p r i o r i t y _ q u e u e < T > q priority\_queue<T>qpriority_queue<T>q,是大根堆。
关于p r i o r i t y _ q u e u e priority\_queuepriority_queue的一些基本方法如下:
- t o p ( ) top()top(),代表取根节点v a l valval值
- e m p t y ( ) empty()empty(),判断队列是否为空
- p u s h ( x ) push(x)push(x),将x p u s h x\;pushxpush进入优先队列
- p o p ( ) pop()pop(),p o p poppop操作
- s i z e ( ) size()size(),获取队列中元素个数
这里以LuoGu P3378 【模板】堆为例给出一份参考代码:
#include <cstdio>
#include <queue>
using namespace std;
priority_queue<int,vector<int>,greater<int>>q;
int main(){
int n;
scanf("%d",&n);
for(int i=1;i<=n;++i){
int op,x;
scanf("%d",&op);
if(op==1){
scanf("%d",&x);
q.push(x);
}else if(op==2)printf("%d\n",q.top());
else q.pop();
}
}
除了p r i o r i t y _ q u e u e priority\_queuepriority_queue,p b d s pbdspbds中的优先队列更加丰富,能够实现更加复杂的功能,需要用到的头文件有e x t / p b _ d s / p r i o r i t y _ q u e u e . h p p , f u n c t i o n a l ext/pb\_ds/priority\_queue.hpp,functionalext/pb_ds/priority_queue.hpp,functional 以及_ _ g n u _ p b d s \_\_gnu\_pbds__gnu_pbds中的p r i o r i t y _ q u e u e priority\_queuepriority_queue,声明方式为p r i o r i t y _ q u e u e < T , f u n c t i o n < T > , 实 现 方 式 > q priority\_queue<T, function<T>, 实现方式> qpriority_queue<T,function<T>,实现方式>q,T TT代表元素类型,f u n c t i o n functionfunction是仿函数,同前面的优先队列,实现方式的话主要有五种:
- 二叉堆(b i n a r y _ h e a p _ t a g binary\_heap\_tagbinary_heap_tag)
- 二项堆(b i n o m i a l _ h e a p _ t a g binomial\_heap\_tagbinomial_heap_tag)
- 配对堆(p a i r i n g _ h e a p _ t a g pairing\_heap\_tagpairing_heap_tag)
- 斐波拉契堆(t h i n _ h e a p _ t a g thin\_heap\_tagthin_heap_tag)
- l e f t _ c h i l d _ n e x t _ s i b l i n g _ t a g left\_child\_next\_sibling\_tagleft_child_next_sibling_tag
在使用的时候需要加上_ _ g n u _ p b d s : : \_\_gnu\_pbds::__gnu_pbds::,除了前面优先队列的基本操作以外p b d s pbdspbds还支持j o i n joinjoin操作,能够实现将两个堆合并。
这里以LuoGu P3378 【模板】堆为例给出一份参考代码(不知道为什么跑得很慢):
#include <cstdio>
#include <ext/pb_ds/priority_queue.hpp>
#include <functional>
using __gnu_pbds::priority_queue;
using namespace std;
__gnu_pbds::priority_queue<int,greater<int>,__gnu_pbds::binomial_heap_tag>q;
int main(){
int n;
scanf("%d",&n);
for(int i=1;i<=n;++i){
int op,x;
scanf("%d",&op);
if(op==1){
scanf("%d",&x);
q.push(x);
}else if(op==2)printf("%d\n",q.top());
else q.pop();
}
}
堆的应用
先鸽了