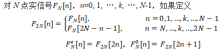
数据预处理



FFT蝶形变换原理


上图中,符号X代表实数,O代表复数。线相连的O两个代表互为共轭的两个复数。在变换过程中,保持线相连的互为共轭的两个复数的共轭性,以上4类蝶形运算的实数形式如下:
(1)图2(a)形式的蝶形变换矩阵都具有如下实数形式:

(2)图2(b)形式的蝶形变换矩阵都具有如下形式

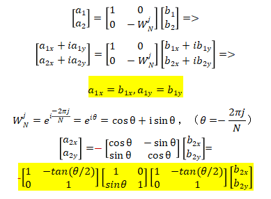
(3)图2(c)形式的蝶形变换称为主蝶,蝶形变换矩阵都具有如下形式


(4) 图2(d)形式的蝶形变换称为虚蝶。只要在正变换时,先计算主蝶的结果,再对其取复共轭赋值给虚蝶;反变换时,先重建主蝶,再对主蝶的重建值取共轭赋值给虚蝶。
按照以上对4类蝶形变换的处理,对FFT一层一层地加以改造,最终可满足具有对称共轭性的整数可逆变换。
整数DCT变换



整数DCT算法实现流程:

版权声明:本文为zhangrui87926原创文章,遵循CC 4.0 BY-SA版权协议,转载请附上原文出处链接和本声明。