一、最大公约数与最小公倍数
- 最大公约数,属于数论所探究的内容。
- 最大公约数可以通过下面的三种方法求出来。
- 最小公倍数呢,它与最大公约数的乘机为所求数之积。
- 比如求 x,y的最大公约数和最小公倍数
- 记住这个公式: x*y=最小公倍数*最大公约数
二、求最大公约数的三种方法
①辗转相除法

int measure(int x, int y)
{
int z = y;
while(x%y!=0)
{
z = x%y;
x = y;
y = z;
}
return z;
}
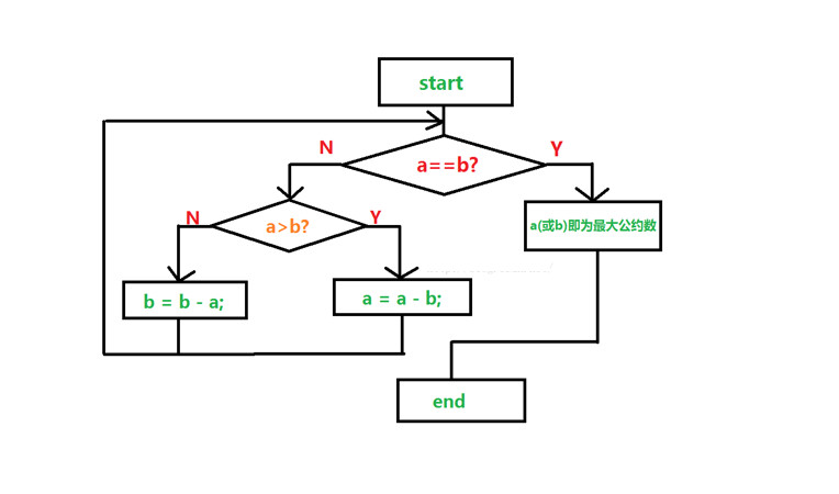
②辗转相减法

int measure(int a,int b)
{
while(a != b)
{
if(a>b)
{
a = a - b;
}
else
{
b = b - a;
}
}
return a;
}
③穷举法
int measure(int x,int y)
{
int temp = 0;
for(temp = x ; ; temp-- )
{
if(x%temp == 0 && y%temp==0)
break;
}
return temp;
}
版权声明:本文为chen_zan_yu_原创文章,遵循CC 4.0 BY-SA版权协议,转载请附上原文出处链接和本声明。