WPS里,我目前没找到公式自动编号的方式,在此提供一种还算编辑的手动编号并右对齐的方式
=======================================================================
步骤1、打开WPS文档,点击视图菜单,勾选标尺复选框的√,显示文档的标尺
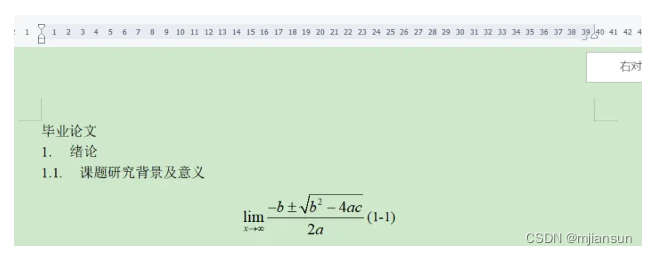
步骤2、在插入的公式右侧紧邻键入公式编号,如(1-1)

步骤3、点击纵向和横向标尺表头处的小拐,设置右对齐制表位

步骤4、在上侧标尺某一位置点击,可出现小拐

右对齐制表符向右拐,左对齐制表符向左拐
步骤5、双击制表符或者拖动制表符到指定位置,如:

若鼠标拖动了但没有停在标尺上,会自动取消制表符。停驻在标尺上后会发现制表符已就位
但我建议还是双击小拐制表符进行更详细设置,因为设置后的小拐才能一直留住

此时有更详细的WPS教程可以参加左下标蓝的操作技巧,在此我放一个WPS学堂的链接:https://www.wps.cn/learning/course/detail/id/857.html?chan=pc_win_hover
步骤6、在编号左侧定位光标,然后按下键盘左侧的Tab键

这个时候如果觉得公式的居中位置不佳,可以如法炮制上述步骤设一个居中制表符,然后将光标定位于公式左侧前端,按下Tab键

这样就能统一对其文档的公式们的居中。
要是再次按下Tab,制表符就会自左向右顺延
重复上述操作:
