转载声明
本文大量内容系转载自以下文章,有删改,并参考其他文档资料加入了一些内容:
- 时间序列数据库的秘密(2)——索引
作者:陶文
出处:infoq - 掌握它才说明你真正懂 Elasticsearch - Lucene (一)
作者:CrazyZard
出处:learnku - Lucene 查询原理
作者:阿里云云栖号
出处:CSDN - 关于Lucene的词典FST深入剖析
作者:申艳超
出处:申艳超个人博客
1 背景知识-Lucene
1.1 概述
Elasticsearch是通过Lucene的倒排索引技术实现比关系型数据库更快的过滤。特别是它对多条件的过滤支持非常好,比如年龄在18和30之间,性别为女性这样的组合查询。倒排索引很多地方都有介绍,但是其比关系型数据库的b-tree索引快在哪里?到底为什么快呢?
笼统的来说,b-tree索引是为读优化化的索引结构。当我们不需要支持快速的更新的时候,可以用预先排序等方式换取更小的存储空间,更快的检索速度等好处,其代价就是更新慢。要进一步深入的话还是要看一下Lucene的倒排索引是怎么构成的。
1.2 Lucene核心模块
Lucene 采用了基于倒排表的设计原理,可以非常高效地实现文本查找,在底层采用了分段的存储模式,使它在读写时几乎完全避免了锁的出现,大大提升了读写性能。
Lucene 的写流程和读流程如下图所示:
其中,
- 虚线箭头(a、b、c、d)表示写索引的主要过程
- 实线箭头(1-9)表示查询的主要过程
Lucene 中的主要模块及模块说明如下:
- analysis
主要负责词法分析及语言处理,也就是我们常说的分词,通过该模块可最终形成存储或者搜索的最小单元 Term。 - index 模块
主要负责索引的创建工作。 - store 模块
主要负责索引的读写,主要是对文件的一些操作,其主要目的是抽象出和平台文件系统无关的存储。 - queryParser 模块
主要负责语法分析,把我们的查询语句生成 Lucene 底层可以识别的条件。 - search 模块
主要负责对索引的搜索工作。 - similarity 模块
主要负责相关性打分和排序的实现
1.3 核心术语
Term
是索引里最小的存储和查询单元,对于英文来说一般是指一个单词,对于中文来说一般是指一个分词后的词。词典(Term Dictionary,也叫作字典)
是 Term 的集合。词典的数据结构可以有很多种,每种都有自己的优缺点。- 如排序数组通过二分查找来检索数据:HashMap(哈希表)比排序数组的检索速度更快,但是会浪费存储空间。
- FST (finite-state transducer) 有更高的数据压缩率和查询效率,因为词典是常驻内存的,而 FST 有很好的压缩率,所以 FST 在 Lucene 的最新版本中有非常多的使用场景,也是默认的词典数据结构。
倒排序(Posting List)
一篇文章通常由多个词组成,倒排表记录的是某个词在哪些文章中出现过,Posting List是DocId 集。Filter Cache是一种加速常用Filter执行的技术,是一个简单的Map<Pair<filter, segment>, 匹配的DocIdList>。通常Filter Cache在内存,而posting list一般是在磁盘中。需要一种简单、快速的技术来实现Filter Cache,否则还不如重新执行。正向信息
原始的文档信息,可以用来做排序、聚合、展示等。DocValues
非分词String的采用的是DocValues,随倒排索引一起生成,且是在堆外内存(序列化后存到操作系统的文件系统缓存)和磁盘间弹性存储的。其实,Doc Values本质上是一个序列化了的列式存储结构,非常适合排序、聚合以及字段相关的脚本操作。而且这种存储方式便于压缩,尤其是数字类型。压缩(如多个相同值记录个数、最大公约数、最小值+偏移量等)后能够大大减少磁盘空间,提升访问速度。
FieldData
分词String采用FieldData,是懒加载到内存(JVM堆内存)的,即FieldData是在第一次将该filed用于聚合,排序或在脚本中访问时按需构建(如果加载大数据量的时候会很慢(几个GB的数据可能需要几十秒),就会让习惯亚秒级响应的用户必须忍受长时间的等待,可将FieldData和Global Ordinals加载提前到一个新段对搜索可见之前。)。FieldData是通过从磁盘读取每个段来读取整个反向索引,然后逆置term↔︎doc的关系,并将结果存储在JVM堆中构建的。所以,加载FieldData是开销很大的操作,一旦它被加载后,就会在整个段的生命周期中保留在内存中。
可以设置FieldData内存驱逐。
也可以设置断路器 Circuit Breaker(断路器)。FieldData是在数据被加载后再检查的,那么如果一个查询导致尝试加载超过可用内存的数据就会导致OOM异常。ES中使用了FieldData Circuit Breaker来处理上述问题,他可以通过分析一个查询涉及到的字段的类型、基数、大小等来评估所需内存。如果估计的查询大小大于配置的堆内存使用百分比限制,则断路器会跳闸,查询将被中止并返回异常。断路器是工作是在数据加载前,所以你不用担心遇到FieldData导致的OOM异常。
段(Segment)
索引中最小的独立存储单元。一个索引文件由一个或者多个段组成。在 Luence 中的段有不变性,也就是说段一旦生成,在其上只能有读操作,不能有写操作。
1.4 Lucene数据模型
Lucene中包含了四种基本数据类型,分别是:
- Index
索引,由很多的Document组成。 - Document
由很多的Field组成,是Index和Search的最小单位。 - Field
由很多的Term组成,包括Field Name和Field Value。 - Term
由很多的字节组成。一般将Text类型的Field Value分词之后的每个最小单元叫做Term。
1.5 Lucene倒排索引
一个Lucene倒排索引大致结构如下图
整体上来说就以下效果
Term Index
通过Trie树存储Term的某些前缀,并会对Term Index进行某些压缩。把Term Index加载到内存后,可快速查找到Term在Term Dictionary中的大致位置,再利用
Term Dictionary在磁盘上二分查找目标Term。这已经大大减少了直接对Term Dictionary在磁盘进行二分查找带来的随机IO操作消耗。Term index实际上在内存中是以FST(finite state transducers)的形式保存的,其特点是非常节省内存。可以在FST上实现单Term、Term范围、Term前缀和通配符查询等。
Term Dictionary 词典表
按字典序排序的所有Term,可以用二分查找的logN次磁盘查找得到目标Term,然后通过指针找到指向的Posting List。Term dictionary在磁盘上是以分block的方式保存的,一个block内部利用公共前缀压缩,比如都是Ab开头的单词就可以把Ab省去,这样term dictionary可以比b-tree更节约磁盘空间。
Posting List
posting list是一个int的数组,存储了所有包含某个对应的Term的文档id和词频等信息。压缩方法有基于磁盘的FOR和基于内存的RoaringBitmap等
1.6 Lucene写入-读写分离
在lucene中,读写路径是分离的:
- 写入的时候创建一个IndexWriter,
- 而读的时候会创建一个IndexSearcher,
在lucene中查询是基于segment。每个segment可以看做是一个独立的subindex,在建立索引的过程中,lucene会不断的flush内存中的数据持久化形成新的segment。
多个segment也会不断的被merge成一个大的segment,在老的segment还有查询在读取的时候,不会被删除;没有被读取且被merge的Segment会被删除。
这个过程类似于LSM数据库的merge过程。下面我们主要看在一个segment内部如何实现高效的查询。
2 Posting List
2.1 概述

那么给这些document建立的倒排索引就是:
可以看到,倒排索引是per field的,即每个字段都有一个自己的倒排索引。
18,20这些叫做 term,而[1,3]就是posting list,是一个int的数组,存储了所有包含某个term的文档id。
所谓文档id是Segment级别的,从0到Segment文档数量上限(最小0,最大上限2^31-1)的一个标识,文档在Segement中按序存储。
2.2 Posting List 压缩
2.2.1 概述
Filter Cache是一种加速常用Filter执行的技术,是一个简单的Map<Pair<filter, segment>, 匹配的DocIdList>。通常Filter Cache在内存,而posting list一般是在磁盘中。需要一种简单、快速的技术来实现Filter Cache,否则还不如重新执行。我们现在思考下怎么存储这些匹配的DocIdList。
- 整形数组
最简单,但是最占内存空间 - BitMap
适合命中数据稠密场景,但稀疏场景不适用,造成空间浪费,所以Lucene在5.0放弃了他转投RoaringBitMap。 - RoaringBitMap
少于4096个元素就用short[],多余4096就用Bitset,合理利用空间。DocId高16位用来分Block,低16存到对应容器内。关于RoaringBitmap详见数据结构-BitSet和RoaringBitmap - FOR 压缩
基于磁盘
2.2.2 FOR 压缩( Frame Of Reference)
本压缩算法是完全基于磁盘的,不需要任何内存。
为了高效对posting list 计算交集和union,需要posting list有序。排序后,我们就能利用有序性进行delta-encoding即差值压缩。其压缩方式叫做 Frame Of Reference(FOR)编码。示例如下:
- delta-encode
将数字计算差值存放 - Split into blocks
将1中结果拆分为多个block,每个Block有256个Doc Id(示意图只画了3个方便展示),以便按各个Block最大值分别按不同bit数表示从而有效压缩 - Bit packing
根据最大值,比如第一个block最大值是227,则需要8个bit存放(2^8 = 256足够存放最大值227),所以每个值都用8bit存放就肯定够了;第二个block最大值30,需要5个bit存放(2^5 = 32足够存放最大值30),所以每个值都用5bit存放就肯定够了。将最大bit位数放入Block头部,然后使用该bit数来编码所有Block内所有delta数字。这就是所谓Frame Of Reference (FOR)。
考虑到频繁出现的term(所谓low cardinality的值),比如gender里的男或者女。如果有1百万个文档,那么性别为男的posting list里就会有50万个int值。用Frame of Reference编码进行压缩可以极大减少磁盘占用。这个优化对于减少索引尺寸有非常重要的意义。当然mysql b-tree里也有一个类似的posting list的东西,但是未经过这样压缩的。
因为这个Frame of Reference的编码是有解压缩成本的。所以如果利用skip list,除了跳过了遍历的成本,也跳过了解压缩这些压缩过的block的过程,从而节省了cpu。
2.2.3 Bitset
查询问题
对于普通搜索时,query和filter返回一个满足搜索条件的文档的已排序的iterator。对于term级别的query和filter,此时只需从倒排索引中返回这个term对应的posting list的迭代器即可。
其他查询要复杂一些,比如同时查询
termA和termB,此时就需要合并posting list。见4.3
Bitset是一种很直观的数据结构,对应posting list如:
[1,3,4,7,10]
对应的bitset就是:
[1,0,1,1,0,0,1,0,0,1]
每个文档按照文档id排序对应其中的一个bit。Bitset自身就有压缩的特点,其用一个byte就可以代表8个文档。所以100万个文档只需要12.5万个byte。
但是考虑到文档可能有数十亿之多,在内存里保存bitset仍然是很奢侈的事情。而且对于个每一个filter都要消耗一个bitset,比如age=18缓存起来的话是一个全量bitset,18<=age<25是另外一个filter缓存起来也要一个全量bitset。
所以需要有一个数据结构满足以下要求:
- 可以很压缩地保存上亿个bit代表对应的文档是否匹配filter;
- 这个压缩的bitset仍然可以很快地进行AND和 OR的逻辑操作。
Lucene使用的这个数据结构叫做 Roaring Bitmap。
- 解压缩每个数字为 (N/65536, N%65536)
- 按N/65536结果划分Block
- 将每个block编码,方法是使用
short[]或bitset存储,依据是该Block是否超过4096个元素。
其压缩的思路其实很简单。与其保存100个0,占用100个bit。还不如保存0一次,然后声明这个0重复了100遍。
3 Term Dictionary 和 Term index
3.1 Term Dictionary
假设我们有很多个term,比如:
Carla,Sara,Elin,Ada,Patty,Kate,Selena
如果按照这样的顺序排列,找出某个特定的term一定很慢,因为term没有排序,需要全部过滤一遍才能找出特定的term。
按字典序排序之后就变成了:
Ada,Carla,Elin,Kate,Patty,Sara,Selena
此时可以用二分查找的方式,比全遍历更快地找出目标的term。这个就是term dictionary。
有了term dictionary之后,可以用logN次磁盘查找得到目标。但是磁盘的随机读操作仍然是非常昂贵的(一次random access大概需要10ms的时间)。
3.2 Term Index
3.2.1 概述
前面说了磁盘的随机读操作仍然是非常昂贵,所以应该尽量少读磁盘,有必要把一些数据缓存到内存里。但是整个term dictionary本身又太大了,无法完整地放到内存里。而且就算term字典里我们可以按照term进行排序,用一个二分查找就可以定为这个term所在的地址,但这样的复杂度是logN,在term很多,内存放不下的时候,效率还是需要进一步提升。于是就有了term index。
term index有点像一本字典的大的章节表。比如:
- A开头的term ……………. 1页
- C开头的term ……………. 445页
- E开头的term ……………. 566页
如果所有的term都是英文字符的话,可能这个term index就真的是26个英文字符表构成的了(A->Z)。但是实际的情况是,term未必都是英文字符,term可以是任意的byte数组。而且26个英文字符也未必是每一个字符都有均等的term,比如x字符开头的term可能一个都没有,而s开头的term又特别多。
所以实际的term index是一棵trie 树:
上图中例子是一个包含 “A”, “to”, “tea”, “ted”, “ten”, “i”, “in”, 和 “inn” 几个单词的 trie 树。这棵树不会包含所有的term,它包含的是term的一些前缀。通过term index可以快速地定位到term dictionary的某个offset,然后从这个位置再往后顺序查找。
再加上一些压缩技术(搜索 Lucene Finite State Transducers) term index 的尺寸可以只有所有term的尺寸的几十分之一,使得用内存缓存整个term index变成可能。
3.2.2 FST
3.2.2.1 FSM
FST是一种类TRIE树,使用FSM(Finite State Machines)作为数据结构:
FSM(Finite State Machines)有限状态机: 表示有限个状态(State)集合以及这些状态之间转移和动作的数学模型。其中一个状态被标记为开始状态,0个或更多的状态被标记为final状态。一个FSM同一时间只处于1个状态。
FSM很通用,可以用来表示多种处理过程,下面的FSM描述了《小猫咪的一天》。

其中“睡觉”或者“吃饭”代表的是状态,而“提供食物”或者“东西移动”则代表了转移。图中这个FSM是对小猫活动的一个抽象(这里并没有刻意写开始状态或者final状态),小猫咪不能同时的即处于“玩耍”又处于“睡觉”状态,并且从一个状态到下一个状态的转换只有一个输入。“睡觉”状态并不知道是从什么状态转换过来的,可能是“玩耍”,也可能是”猫砂窝”。如果《小猫咪的一天》从睡觉状态开始,这个FSM接收以下的输入:
- 提供食物
- 有大声音
- 安静
- 消化食物
那么我们会明确的知道,小猫咪会这样依次变化状态: 睡觉->吃饭->躲藏->吃饭->猫砂窝.
以上只是一个现实中的例子,下面我们来看如何实现一个Ordered Sets,和Map结构。
3.2.2.2 Ordered Sets
Ordered Sets是一个有序集合。通常一个有序集合可以用二叉树、B树实现。无序的集合使用hash table来实现. 这里,我们用一个确定无环有限状态接收机(Deterministric acyclic finite state acceptor, FSA)来实现。
FSA是一个FSM(有限状态机)的一种,特性如下:
- 确定:意味着指定任何一个状态,只可能最多有一个转移可以访问到。
- 无环: 不可能重复遍历同一个状态
- 接收机:有限状态机只“接受”特定的输入序列,并终止于final状态。
下面来看,我们如何来表示只有一个key:”jul“ 的集合。FSA是这样的:
当查询这个FSA是否包含“jul”的时候,按字符依序输入。
- 输入j,FSA从0->1
- 输入u, FSA从1->2
- 输入l,FSA从2->3
设想一下
- 如果输入“jun”,在状态2的时候无法移动了,就知道不在这个集合里了。
- 如何输入“ju”, 在状态2的时候,已经没有输入了。而状态2并不是final状态,所以也不在这个集合里。
- 值得指出的是,查找这个key是否在集合内的时间复杂度,取决于key的长度,而不是集合的大小。
现在往FSA里再加一个key mar
start状态0此时有了2个转移:j和m。因此,输入key:”mar”,首先会跟随m来转移。 final状态是“jul”和“mar”共享的。这使得我们能用更少的空间来表示更多的信息。
当我们再在这个FSA里加入“jun”,那么它和“jul”有共同的前缀“ju”:
这里变化很小,没有增加新的状态,只是多了一个转移而已。
下面再来看一下由“october”,“november”,”december”构成的FSA.
它们有共同的后缀“ber”,所以在FSA只出现了1次。 其中2个有共同的后缀”ember”,也只出现了1次。
那么我们如何来遍历一个FSA表示的所有key呢,我们以前面的”jul”,“jun”,”mar”为例:
遍历算法是这样的:
这个遍历算法时间复杂度O(n),n是集合里所有的key的大小, 空间复杂度O(k),k是结合内最长的key字段length。
3.2.2.3 Ordered maps
Ordered maps就像一个普通的map,只不过它的key是有序的。我们来看一下如何使用确定无环状态转换器(Deterministic acyclic finite state transducer, FST)来实现它。
FST是也一个有限状态机(FSM),具有这样的特性:
- 确定:意味着指定任何一个状态,只可能最多有一个转移可以遍历到。
- 无环: 不可能重复遍历同一个状态
- transducer:接收特定的序列,终止于final状态,同时会输出一个值。
FST和FSA很像,给定一个key除了能回答是否存在,还能输出一个关联的值。
下面来看这样的一个输入:“jul:7”, 7是jul关联的值,就像是一个map的entry.
这和对应的有序集合基本一样,除了第一个0->1的转换j关联了一个值7. 其他的转换u和l,默认关联的值是0,这里不予展现。那么当我们查找key:”jul”的时候,大概流程如下:
- 初始状态0
- 输入j, FST从0->1, value=7
- 输入u, FST从1->2, value=7+0
- 输入l,FST从2->3, value=7+0+0
此时,FST处于final状态3,所以存在jul,并且给出output是7.
我们再看一下,加入mar:3之后,FST变成什么样:
同样的很简单,需要注意的是mar自带的值3放在了第1个转移上。这只是为了算法更简单而已,事实上,可以放在其他转移上。
如果共享前缀,FST会发生什么呢?这里我们继续加入jun:6。
和sets一样,jun和jul共享状态3, 但是有一些变化。
- 0->1转移,输出从7变成了6
- 2->3转移,输入l,输出值变成了1。
这样就可以共用 值6,还能分别找到各自正确的值。也就是说FST保证了不同的转移有唯一的值,但同时也复用了大部分的数据结构。实现共享状态的关键点是:每一个key,都在FST中对应一个唯一的路径。因此,对于任何一个特定的key,总会有一些value的转移组合使得路径是唯一的。我们需要做的就是如何来在转移中分配这些组合。
key输出的共享机制同样适用于共同前缀和共同后缀。比如我们有tuesday:3和thursday:5这样的FST:
上面的这个例子,其实有点简单化,并且局限。假如这些关联的value并不是int呢? 实际上,FST对于关联value(outputs)的类型是要求必须有以下操作(method)的。
- 加(Addition)
- 减 (Subtraction)
- 取前缀 (对于整数来说,就是min)
3.2.2.4 Trie与FSM
构建相对于遍历来说,还是有些复杂的。为了简单化,我们假设set或者map里的数据是按字典序加入的。这个假设是很沉重的限制,不过我们会讲如何来缓解它。
为了构建FSM,我们先来看看TRIE树是如何构建的。TRIE可以看做是一个FSA,唯一的一个不同是TRIE只共享前缀,而FSA不仅共享前缀还共享后缀。
假设我们有一个这样的Set: mon,tues,thurs。FSA是这样的:
相应的TRIE则是这样的,只共享了前缀。
TRIE有重复的3个final状态3,8,11. 而8,11都是s转移,是可以合并的。
构建一个TRIE树是相当简单的。插入1个key,只需要做简单的查找就可以了。如果输入先结束,那么当前状态设置为final;如果无法转移了,那么就直接创建新的转移和状态。不要忘了最后一个创建的状态设置为final。
3.2.2.5 FST的构建
构建FST在很大程度上和构建FSA是一样的,主要的不同点是,怎么样在转移上放置和共享outputs。
仍旧使用前面提到的例子,mon,tues和thurs,并给他们关联相应的星期数值2,3和5.
从第1个key, mon:2开始:
这里虚线代表在后续的insert过程中,FST可能有变化。
需要关注的是,这里只是把2放在了第1个转移上。技术上说,下面这样分配也是正确的。
下面继续把thurs:5插入:
就像FSA的insert一样,插入thurs之后,我们可以知道FST的mon部分(蓝色)就不会再变了。
由于mon和thurs没有共同的前缀,只是简单的2个map中的key. 所以他们的output value可以直接放置在start状态的第1个转移上。
下面,继续插入tues:3,
这引起了新的变化。有一部分被冻住了,并且知道以后不会再修改了。output value也出现了重新的分配。因为tues的output是3,并且tues和thurs有共同的前缀t, 所以5和3的prefix操作得出的结果就是3. 状态0->状态4的value被分配为3,状态4->状态5设置为2。
我们再插入更多的key, 这次插入tye:99看发生什么情况:
插入tye,导致”es”部分被冻住,同时由于共享前缀t, 状态4->状态9的输出是99-3=96。
最后一步,结束了,再执行一次冻住操作。
最终的FST长这样:
3.2.2.6 FST小结
除了在Term词典这块有应用,FST在整个lucene内部使用的也是很广泛的,基本把hashmap进行了替换。
场景大概有以下:
- 自动联想:suggester
- charFilter: mappingcharFilter
- 同义词过滤器
- hunspell拼写检查词典
FST,不但能共享前缀还能共享后缀。不但能判断查找的key是否存在,还能给出响应的输入output。 它在时间复杂度和空间复杂度上都做了最大程度的优化,使得Lucene能够将Term Dictionary完全加载到内存,快速的定位Term找到响应的output(posting倒排列表)。
从lucene4开始,为了方便实现rangequery或者前缀,后缀等复杂的查询语句,lucene使用FST数据结构来存储term字典,下面就详细介绍下FST的存储结构。
我们就用Alice和Alan这两个单词为例,来看下FST的构造过程。首先对所有的单词做一下排序为“Alice”,“Alan”:
- 插入“Alan”

- 插入“Alice”

这样你就得到了一个有向无环图(类似于Trie树),有这样一个数据结构,就可以很快查找某个人名是否存在。
- 缺点
FST在单term查询上可能相比hashmap并没有明显优势,甚至会慢一些。 - 优点
但是在范围,前缀搜索以及压缩率上都有明显的优势。
4 小结
4.1 如何联合索引查询?
4.1.1 概述
所以给定查询过滤条件
age=18的过程就是先从term index找到18在term dictionary的大概位置,然后再从term dictionary里精确地找到18这个term,然后得到一个posting list或者一个指向posting list位置的指针。然后再查询
gender=女的过程也是类似的。最后得出 age=18 AND gender=女 就是把两个 posting list 做一个“与”的合并。
这个理论上的“与”合并的操作可不容易。对于mysql来说,如果你给age和gender两个字段都建立了索引,查询的时候只会选择其中最selective的来用,然后另外一个条件是在遍历行的过程中在内存中计算之后过滤掉。
那么要如何才能联合使用两个索引呢?有两种办法:
- 使用skip list数据结构。同时遍历gender和age的posting list,互相skip;
- 使用bitset数据结构,对gender和age两个filter分别求出bitset,对两个bitset做AN操作。
PostgreSQL 从 8.4 版本开始支持通过bitmap联合使用两个索引,就是利用了bitset数据结构来做到的。当然一些商业的关系型数据库也支持类似的联合索引的功能。
而Elasticsearch支持以上两种的联合索引方式:
- 如果查询的filter缓存到了内存中(以bitset的形式),那么合并就是两个bitset的AND。
- 如果查询的filter没有缓存,那么就用skip list的方式去遍历两个on disk的posting list。
4.1.2 利用 Skip List 合并Posting List
为了能够快速查找docid,lucene采用了SkipList这一数据结构。SkipList有以下几个特征:
- 元素排序的,对应到我们的倒排链,lucene是按照docid进行排序,从小到大。
- 跳跃有一个固定的间隔,这个是需要建立SkipList的时候指定好,例如下图以间隔是3
- SkipList的层次,这个是指整个SkipList有几层

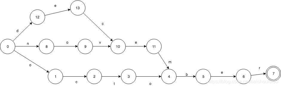
有了这个SkipList以后比如我们要查找docid=12,原来可能需要一个个扫原始链表,1,2,3,5,7,8,10,12。有了SkipList以后:
- 先访问第一层看到是然后大于12,
- 进入第0层走到3,8,发现15大于12,
- 然后进入原链表的8继续向下经过10和12。
有了FST和SkipList的介绍以后,我们大体上可以画一个下面的图来说明lucene是如何实现整个倒排结构的:
有了这张图,我们可以理解为什么基于lucene可以快速进行倒排链的查找和docId查找,下面就来看一下有了这些后如何进行倒排链合并返回最后的结果。
假如我们的查询条件是name = “Alice”,那么按照之前的介绍,首先在term字典中定位是否存在这个term,如果存在的话进入这个term的倒排链,并根据参数设定返回分页返回结果即可。这类查询,在数据库中使用二级索引也是可以满足,那lucene的优势在哪呢。假如我们有多个条件,例如我们需要按名字或者年龄单独查询,也需要进行组合 name = "Alice" and age = "18"的查询,那么使用传统二级索引方案,你可能需要建立两张索引表,然后分别查询结果后进行合并,这样如果age = 18的结果过多的话,查询合并会很耗时。
那么在lucene这两个倒排链是怎么合并呢?假如我们有下面三个倒排链需要进行合并。
在lucene中会采用下列顺序进行合并:
- 在termA开始遍历,得到第一个元素docId=1
- Set currentDocId=1
- 在termB中 search(currentDocId) = 1 (返回大于等于currentDocId的一个doc,这一步搜索时就会进行SkipList数据跳过),
- 因为currentDocId ==search结果1,继续
- 如果currentDocId 和search返回的不相等,则执行2,然后继续
- 到termC后搜索结果依然符合,返回结果
- Set currentDocId = termC.nextItem = 2
- 然后继续步骤3 依次循环。直到某个倒排链到末尾。
整个合并步骤我可以发现,如果某个链很短,会大幅减少比对次数,并且由于SkipList结构的存在,在某个倒排中定位某个docid的速度会比较快不需要一个个遍历(该例子所需的时间比完整遍历三个posting list要快得多,但是前提是每个list需要使用SkipList独有的Advance操作)。可以很快的返回最终的结果。从倒排的定位,查询,合并整个流程组成了lucene的查询过程,和传统数据库的索引相比,lucene合并过程中的优化减少了读取数据的IO,倒排合并的灵活性也解决了传统索引较难支持多条件查询的问题。
以上是三个posting list。我们现在需要把它们用AND的关系合并,得出posting list的交集。首先选择最短的posting list,然后从小到大遍历。遍历的过程可以跳过一些元素,比如我们遍历到绿色的13的时候,就可以跳过蓝色的3了,因为3比13要小。
整个过程如下
最后得出的交集是[13,98],所需的时间比完整遍历三个posting list要快得多。但是前提是每个list需要指出Advance这个操作,快速移动指向的位置。什么样的list可以这样Advance往前做蛙跳?skip list:
从概念上来说,对于一个很长的posting list,比如:
[1,3,13,101,105,108,255,256,257]
可以把这个list分成三个block:
[1,3,13] [101,105,108] [255,256,257]
可利用三个Block开头的数字构建出skip list的上一层:
[1,101,255]
其中 1,101,255分别指向自己对应的block。这样就可以很快地跨block的移动指向位置了。
4.1.3 利用bitset合并
这两种合并使用索引的方式都有其用途。
Elasticsearch对其性能有详细的对比(https://www.elastic.co/blog/frame-of-reference-and-roaring-bitmaps)。简单的结论是:因为Frame of Reference编码是如此 高效,对于简单的相等条件的过滤缓存成纯内存的bitset还不如需要访问磁盘的skip list的方式要快。
4.2 BKDTree-应对数值类型
在lucene中如果想做范围查找,根据上面的FST模型可以看出来,需要遍历FST找到包含这个range的一个点然后进入对应的倒排链,然后进行求并集操作。但是如果是数值类型,比如是浮点数,那么潜在的term可能会非常多,这样查询起来效率会很低。所以为了支持高效的数值类或者多维度查询,lucene引入类BKDTree。
BKDTree是基于KDTree,对数据进行按照维度划分建立一棵二叉树确保树两边节点数目平衡。
在一维的场景下,KDTree就会退化成一个二叉搜索树,在二叉搜索树中如果我们想查找一个区间,logN的复杂度就可以访问到叶子结点得到对应的倒排链。如下图所示:
如果是多维,kdtree的建立流程会发生一些变化。
比如我们以二维为例,建立过程如下:
- 确定切分维度,这里维度的选取顺序是数据在这个维度方法最大的维度优先。一个直接的理解就是,数据分散越开的维度,我们优先切分。
- 切分点的选这个维度最中间的点。
- 递归进行步骤1,2,我们可以设置一个阈值,点的数目少于多少后就不再切分,直到所有的点都切分好停止。
下图是一个建立例子:
BKDTree是KDTree的变种,因为可以看出来,KDTree如果有新的节点加入,或者节点修改起来,消耗还是比较大。类似于LSM的merge思路,BKD也是多个KDTREE,然后持续merge最终合并成一个。
不过我们可以看到如果你某个term类型使用了BKDTree的索引类型,那么在和普通倒排链merge的时候就没那么高效了所以这里要做一个平衡,一种思路是把另一类term也作为一个维度加入BKDTree索引中。
4.3 为什么Elasticsearch/Lucene检索可以比mysql快
Mysql只有term dictionary这一层,是以b-tree排序的方式存储在磁盘上的。检索一个term需要若干次的random access的磁盘操作。
而Lucene在term dictionary的基础上添加了term index来加速检索,term index以树的形式缓存在内存中。从term index查到对应的term dictionary的block位置之后,再去磁盘上找term,大大减少了磁盘的random access次数。
额外值得一提的两点是:
- Term index在内存中是以FST(finite state transducers)的形式保存的,其特点是非常节省内存。
- Term dictionary在磁盘上是以分block的方式保存的,一个block内部利用公共前缀压缩,比如都是Ab开头的单词就可以把Ab省去,这样term dictionary可以比b-tree更节约磁盘空间。
4.4 为什么使用RoaringBitmap做filter cache?
4.4.1 概述
以下性能测试中,
for是指在基准测试时,Lucene在索引建立时在操作系统缓存中创建的基于磁盘的posting list。- 测试以使用BitMap作为参考系,即蓝色横线。
- y轴使用以2为底的对数刻度:值0表示它与BitMap一样快,1表示快2倍。
- x轴使用以10为底的对数刻度,代表DocId集合数据的稠密程度。例如,值-2表示该DocId集中包含
10^-2 = 1%的文档。也就是说左边更稀疏,右边代表数据更稠密。
4.4.2 迭代性能对比

主要是在constant-score中使用filter时。
当数据稀疏时,BitMap性能最差,意味着此时用BitMap缓存Filter还不如直接再次从磁盘读取DocId。
4.4.3 跳过文档性能对比
交叉一个Filter和其他查询时需要跳过跳过文档。下图括号中的数字是我们试图在每次迭代中跳过的文档数(无论它们是否匹配)

与所有文档的大约1 / N匹配的查询相交时,基本上会跳过N个文档。可以看到数据稠密时BitMap最快,同时RoaringBitMap随密度增加的性能下降幅度较小。
各个数据结构使用的跳过文档的技术如下:
FOR
使用跳表BitMap
直接按位找RoaringBitMap
先从Block找出目标DocId,然后如果docId存在于数组就用二分查找,BitMap就直接查找。当数据很稠密时,就转而存储未命中的记录,目的是节约内存,但跳跃速度下降,如上图最靠右。
int[]
exponential search
4.4.4 内存占用对比

4.4.5 构建缓存时间对比

注意Y轴值越大,缓存构建时间越短。所以这里在密度在0.01%到1%之间时RoaringBitMap构建速度最快。
4.4.6 结论
- 没有一种技术适用所有场景
- BitMap在稀疏场景表现糟糕
- int[]数组很快,但在数据稠密时内存占用极高
- RoaringBitMap是速度和开销均衡的选择
- 尽管来自倒排索引的PostingList存在磁盘而不是内存上,仍然速度很快。所以Filter Cache只应该在运行缓慢的Filter上开启以提升效率,而在一些如TermFilter之类的Filter上不应该开启。
- 未来也许会根据文档密度而采取不同的Filter缓存实现
4.5 如何减少文档数?
一种常见的压缩存储时间序列的方式是把多个数据点合并成一行。Opentsdb支持海量数据的一个绝招就是定期把很多行数据合并成一行,这个过程叫compaction。类似的vivdcortext使用mysql存储的时候,也把一分钟的很多数据点合并存储到mysql的一行里以减少行数。
这个过程可以示例如下:
可以看到,行变成了列了。每一列可以代表这一分钟内一秒的数据。
Elasticsearch有一个功能可以实现类似的优化效果,那就是Nested Document。我们可以把一段时间的很多个数据点打包存储到一个父文档里,变成其嵌套的子文档。
比如有子文档如下:
{timestamp:12:05:01, idc:sz, value1:10,value2:11}
{timestamp:12:05:02, idc:sz, value1:9,value2:9}
{timestamp:12:05:02, idc:sz, value1:18,value:17}
可以打包成以下嵌套父文档:
{
max_timestamp:12:05:02, min_timestamp: 1205:01, idc:sz,
records: [
{timestamp:12:05:01, value1:10,value2:11}
{timestamp:12:05:02, value1:9,value2:9}
{timestamp:12:05:02, value1:18,value:17}
]
}
这样可以把数据点公共的维度字段上移到父文档里(如这里的idc:sz),而不用在每个子文档里重复存储,从而减少索引的尺寸。
在存储的时候,无论父文档还是子文档,对于Lucene来说都是文档,都会有文档Id。但是对于嵌套文档来说,可以保存起子文档和父文档的文档id是连续的,而且父文档总是最后一个。有这样一个排序性作为保障,那么有一个所有父文档的posting list就可以跟踪所有的父子关系。也可以很容易地在父子文档id之间做转换。把父子关系也理解为一个filter,那么查询时检索的时候不过是又AND了另外一个filter而已。前面我们已经看到了Elasticsearch可以非常高效地处理多filter的情况,充分利用底层的索引。
使用了嵌套文档之后,对于term的posting list只需要保存父文档的doc id就可以了,可以比保存所有的数据点的doc id要少很多。如果我们可以在一个父文档里塞入50个嵌套文档,那么posting list可以变成之前的1/50。