ICP简介
Iterative Closest Point迭代最近点算法;
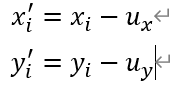
分别在待匹配的目标点云P和源点云Q中,按照一定的约束条件,找到最邻近点(pi,qi),然后计算出最优匹配参数R和t,使得误差函数最小。误差函数为E(R,t)为

其中R和t分别为两帧点云的旋转与平移矩阵;通过不断的迭代求解出两帧点云相对平移与旋转
流程如下:

ICP求解过程
1、构造误差函数

2、化简

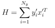
将误差函数拆解成两部分,一部分是只与旋转有关,另一部分与旋转和平移有关,所以可以先求旋转再求平移
3、旋转矩阵求解


SVD分解参考

4、平移矩阵求解

代码实现
1、获取对应点
size_t ICPSVDRegistration::GetCorrespondence(
const CloudData::CLOUD_PTR &input_source,
std::vector<Eigen::Vector3f> &xs,
std::vector<Eigen::Vector3f> &ys
) {
const float MAX_CORR_DIST_SQR = max_corr_dist_ * max_corr_dist_;
size_t num_corr = 0;
// TODO: set up point correspondence
for(size_t i=0;i<input_source->points.size();++i)
{
//并且设置存储点的编号及点的距离的Vector对象
std::vector<int>corr_ind;
std::vector<float> corr_sq_dis;
//在input_target_kdtree中找input_source查找点i的1个最近点
input_target_kdtree_->nearestKSearch(input_source->at(i),1,corr_ind,corr_sq_dis);
//如果最近点的距离大于阈值那么放弃该点
if(corr_sq_dis.at(0)>MAX_CORR_DIST_SQR)
continue;
//目标点云对应点
Eigen::Vector3f x(
input_target_->at(corr_ind.at(0)).x,
input_target_->at(corr_ind.at(0)).y,
input_target_->at(corr_ind.at(0)).z
);
//原始点云对应点
Eigen::Vector3f y(
input_source->at(i).x,
input_source->at(i).y,
input_source->at(i).z
);
//存放两个点云的对应点
xs.push_back(x);
ys.push_back(y);
++num_corr;
}
return num_corr;
}细节解释
//在input_target_kdtree中找input_source查找点i的1个最近点
input_target_kdtree_->nearestKSearch(input_source->at(i),1,corr_ind,corr_sq_dis);
//如果最近点的距离大于阈值那么放弃该点
if(corr_sq_dis.at(0)>MAX_CORR_DIST_SQR)
continue;KD-tree最近邻查找
2、获取变换矩阵(旋转和平移矩阵)
void ICPSVDRegistration::GetTransform(
const std::vector<Eigen::Vector3f> &xs,
const std::vector<Eigen::Vector3f> &ys,
Eigen::Matrix4f &transformation_
) {
const size_t N = xs.size();
//点云中心
Eigen::Vector3f mu_x(0,0,0);
Eigen::Vector3f mu_y(0,0,0);
//x-x'
Eigen::MatrixXf A (3,N),B(3,N);
for(auto i=0;i<N;i++)
{
A.block<3,1>(0,i)=xs[i];
B.block<3,1>(0,i)=ys[i];
}
mu_x = A.rowwise().mean();
mu_y = B.rowwise().mean();
A.colwise() -= mu_x;
B.colwise() -= mu_y;
Eigen::Matrix3f H,R;
Eigen::Vector3f t;
//PPT P15
H=B*A.transpose();
LOG(INFO)<<"H:"<<H<<std::endl;
//svd分解
Eigen::JacobiSVD<Eigen::MatrixXf>svd(H,Eigen::ComputeFullU | Eigen::ComputeFullV);
R=svd.matrixV()*svd.matrixU().transpose();
//求解t平移矩阵,ppt18业
t=mu_x-R*mu_y;
transformation_.setZero();
transformation_.block<3,3>(0,0)=R;
transformation_.block<3,1>(0,3)=t;
transformation_(3,3)=1;
// TODO: find centroids of mu_x and mu_y:
}细节解释
//点云中心
Eigen::Vector3f mu_x(0,0,0);
Eigen::Vector3f mu_y(0,0,0);
mu_x = A.rowwise().mean();
mu_y = B.rowwise().mean();
A.colwise() -= mu_x;
B.colwise() -= mu_y;
H=B*A.transpose();
Eigen::JacobiSVD<Eigen::MatrixXf>svd(H,Eigen::ComputeFullU | Eigen::ComputeFullV);
R=svd.matrixV()*svd.matrixU().transpose();
t=mu_x-R*mu_y; 
3、匹配
bool ICPSVDRegistration::ScanMatch(
const CloudData::CLOUD_PTR& input_source,
const Eigen::Matrix4f& predict_pose,
CloudData::CLOUD_PTR& result_cloud_ptr,
Eigen::Matrix4f& result_pose
) {
input_source_ = input_source;
// pre-process input source:
CloudData::CLOUD_PTR transformed_input_source(new CloudData::CLOUD());
pcl::transformPointCloud(*input_source_, *transformed_input_source, predict_pose);
// init estimation:
transformation_.setIdentity();
//
// TODO: first option -- implement all computing logic on your own
//
// do estimation:
int curr_iter = 0;
while (curr_iter < max_iter_) {
// TODO: apply current estimation:
CloudData::CLOUD_PTR curr_input_source(new CloudData::CLOUD());
pcl::transformPointCloud(*transformed_input_source,*curr_input_source,transformation_);
// TODO: get correspondence:获取对应点
std::vector<Eigen::Vector3f> xs;
std::vector<Eigen::Vector3f> ys;
// TODO: do not have enough correspondence -- break:
//如果没有足够多的对应点直接break
if(GetCorrespondence(curr_input_source,xs,ys)<3)
{
break;
}
// TODO: update current transform:
//根据svd求解出的变换矩阵,更新变换矩阵
Eigen::Matrix4f delta_transformation;
GetTransform(xs,ys,delta_transformation);
// TODO: whether the transformation update is significant:
//当变换矩阵的平移矩阵和旋转矩阵大于给定数值时才满足要求
if(!IsSignificant(delta_transformation,trans_eps_))
break;
// TODO: update transformation:
transformation_=delta_transformation*transformation_;
//迭代次数加1,当超过迭代次数时退出
++curr_iter;
}
// set output:
result_pose = transformation_ * predict_pose;
Eigen::Quaternionf qr(result_pose.block<3,3>(0,0));// 首先将变换矩阵拆分为一个旋转矩阵(实际使用四元数表示)
qr.normalize();//归一化
Eigen::Vector3f t=result_pose.block<3,1>(0,3);
result_pose.block<3,3>(0,0)=qr.toRotationMatrix();//将四元数转换成旋转矩阵
result_pose.block<3,1>(0,3)=t;
//result_pose是两个点云的变换矩阵,此函数通过变换矩阵,变换两个点云
pcl::transformPointCloud(*input_source_, *result_cloud_ptr, result_pose);
return true;
}
版权声明:本文为dushib原创文章,遵循CC 4.0 BY-SA版权协议,转载请附上原文出处链接和本声明。