运筹学考试复习中,做个小总结。
目录
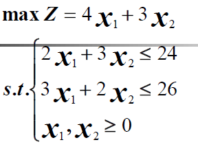
以下分成两个部分解答下图这个问题。

1.原问题的最优单纯形表还没有求出
1.1 将原问题加入松弛变量化为标准型

1.2求出对偶模型变量(包含基变量与非基变量)是否为0

1.3将对偶问题化为标准型,求出对偶问题的松弛变量是否为0

1.4解对偶问题标准化后的约束方程组,求出对偶问题的最优解

2.原问题的最优单纯形表已经求出
对偶问题的最优解中,基变量的值为原问题最优单纯形表中松弛变量检验数的相反数;非基变量的值是原问题最优单纯形表中基变量检验数的相反数(类比记忆)

在检验数行中,对偶问题的变量取值分别是(y3,y4,y1,y2)
版权声明:本文为qq_45569373原创文章,遵循CC 4.0 BY-SA版权协议,转载请附上原文出处链接和本声明。