Skip to content
  • 首页
  • PHP源码
  • html5网页模板
  • js特效
  • Window软件
  • Mac软件
  • 服务器
  • 其他
Search
源码巴士
  • Sample Page

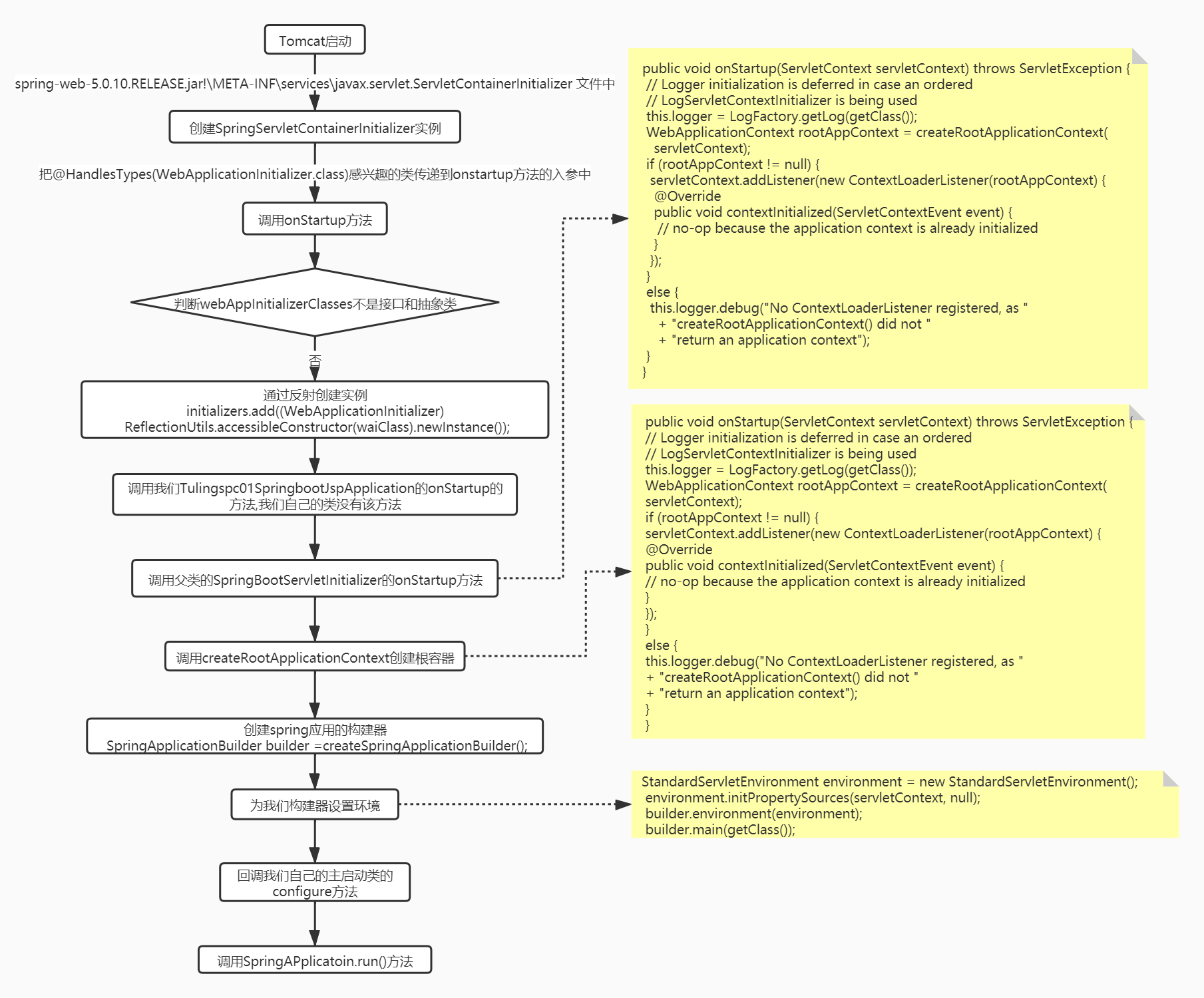
springboot启动war

在这里插入图片描述


版权声明:本文为zou1072585763原创文章,遵循CC 4.0 BY-SA版权协议,转载请附上原文出处链接和本声明。
原文链接:https://blog.csdn.net/zou1072585763/article/details/119671400
文章导航
←翻译:WorldCloud()官方使用说明 & matplotlib.pyplot.imshow()官方使用说明
深度学习之 FPN (Feature Pyramid Networks)→

Copyright © 2022 源码巴士  鲁ICP备19024253号-1