Skip to content
  • 首页
  • PHP源码
  • html5网页模板
  • js特效
  • Window软件
  • Mac软件
  • 服务器
  • 其他
Search
源码巴士
  • Sample Page

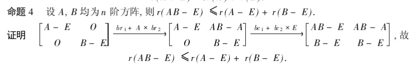
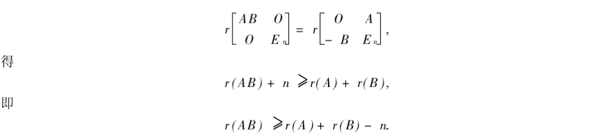
利用分块矩阵计算矩阵秩不等式

 


版权声明:本文为wwxy1995原创文章,遵循CC 4.0 BY-SA版权协议,转载请附上原文出处链接和本声明。
原文链接:https://blog.csdn.net/wwxy1995/article/details/105599151
文章导航
←Mac下git通过SSH进行免密码安全连接github
JavaSE基础之 数组动态静态初始化&&内存分配→

Copyright © 2022 源码巴士  鲁ICP备19024253号-1