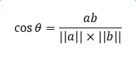
计算两个向量的相似度,可以用余弦相似度:

分子就是2个向量的内积,分母是两个向量的模长乘积。
其取值范围是[-1,1]

cosine值越大,说明夹角越接近0度,两个向量越相似;
cosine值越小,说明夹角越接近180度,两个向量越不相似;
此外,可以加个负号之后,得到误差函数:error= -1 *cosine(a,b),这样的话error值越小,两向量越相似,这样更加直观。
一个样例,计算视频和文本的相似度:

版权声明:本文为weixin_41519463原创文章,遵循CC 4.0 BY-SA版权协议,转载请附上原文出处链接和本声明。