1.题目描述
输入两个链表,找出它们的第一个公共节点。
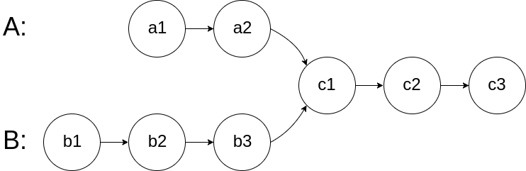
如下面的两个链表:

在节点 c1 开始相交。
示例 1:
输入:intersectVal = 8, listA = [4,1,8,4,5], listB = [5,0,1,8,4,5], skipA = 2, skipB = 3
输出:Reference of the node with value = 8
输入解释:相交节点的值为 8 (注意,如果两个列表相交则不能为 0)。从各自的表头开始算起,链表 A 为 [4,1,8,4,5],链表 B 为 [5,0,1,8,4,5]。在 A 中,相交节点前有 2 个节点;在 B 中,相交节点前有 3 个节点。
来源:力扣(LeetCode)
链接:https://leetcode-cn.com/problems/liang-ge-lian-biao-de-di-yi-ge-gong-gong-jie-dian-lcof
著作权归领扣网络所有。商业转载请联系官方授权,非商业转载请注明出处。
2.思路分析
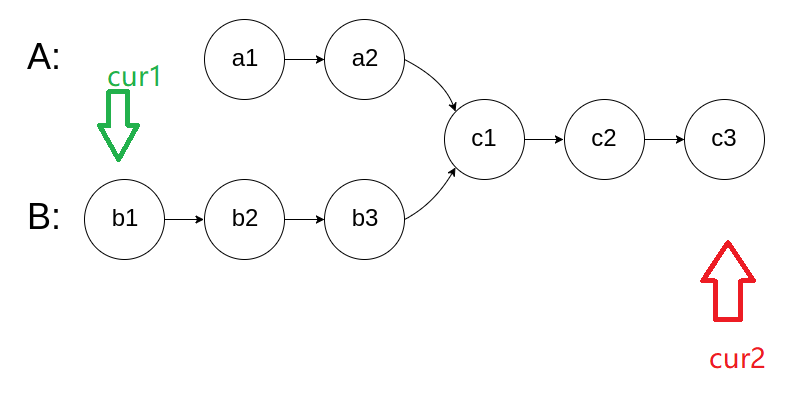
这个题目可以采用双指针法。
分别定义两个指针指向两个链表的头结点。
然后依次往后遍历

如果某一个指针到达当前链表末尾了,下一步就让它指向另一个链表的头。




等到两个指针相等的时候,就说明已经到达第一个交点了。
3.代码
public class Solution {
public ListNode getIntersectionNode(ListNode headA, ListNode headB) {
ListNode cur1 = headA;
ListNode cur2 = headB;
while(cur1 != cur2){
if(cur1 != null){
cur1 = cur1.next;
}else{
cur1 = headB;
}
if(cur2 != null){
cur2 = cur2.next;
}else{
cur2 = headA;
}
}
return cur2;
}
}
版权声明:本文为ren__wei_原创文章,遵循CC 4.0 BY-SA版权协议,转载请附上原文出处链接和本声明。