通原4
幅度调制
- 原理:


双边带抑制载波调幅
- 信号产生:

- 频率响应:

- 相干解调:


- 载波提取:
- 发射端加导频(离散的载波分量)
- 收端用平方环法或COSTAS环法提取
具有离散大载波的双边带调幅
- 信号表示:


归一化表达式:

- 频谱:

- 均值与自相关函数:

- 平均自相关函数与功率:

- 调制效率与功率谱密度:
P M n P_{Mn}PMn为归一化信号m n ( t ) m_n(t)mn(t)的功率
- 解调
- 包络检波: 要求:

- 相干解调:

单边带调幅
信号产生:


时域频域表达式:



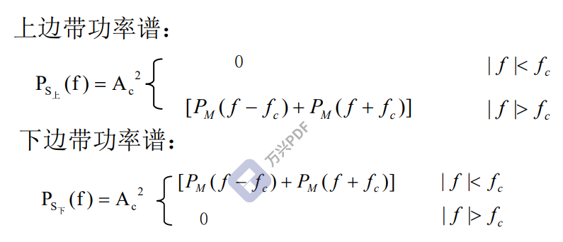
自相关函数, 均值与功率谱密度:


解调:
- 相干解调:



残留边带调幅幅度调制
- 产生:

- 传递函数:

- 相干解调:

- 整体传递函数:

角度调制
角度调制概念
- 一般表达式:

- 调频

- 调相:

- 调频与调相关系:

- 窄带角度调制:

角度调制频谱
- 正弦基带信号调制:



- 带宽计算:


角度调制器与解调器
FM解调:

调频负反馈解调

锁相环解调:

解调抗噪声性能:
- 解调模型:

- 窄带白高斯噪声n(t):

- 信噪比:

- 调制增益:

双边带抑制载波调幅

单边带调幅

具有离散大载波的双边带条幅系统


FM调制

PM调制

去加重滤波:

各种调制比较:


版权声明:本文为weixin_45883559原创文章,遵循CC 4.0 BY-SA版权协议,转载请附上原文出处链接和本声明。