SVPWM算法理解(二)——关于非零基本矢量幅值和线电压幅值的解释
1 引言
这几天SVPWM的Simulink仿真基本已经做完了,一直没有时间整理。在这之前想先把学习过程中的困惑记录一下,以免遗忘。文中如有不正确的地方希望大家能够批评指正,转载请注明出处,谢谢。
从SVPWM算法理解(一)中提到了非零基本矢量的幅值是2Udc/3,线电压的幅值是Udc(因此SVPWM电压利用率为1)。现在我们详细讨论一下其中的原因,并对电压空间矢量图(图1-1)稍做分析。
大家仍然可以参考下面两篇文章:
2 非零基本矢量的幅值
首先,现针对三相静止坐标系ABC下的电压方程进行分析。假设三相对称正弦电压:
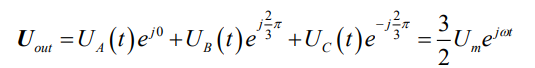
合成的电压空间矢量 Uout为:
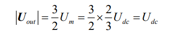
根据SVPWM算法理解(一)文中的分压公式(1-4)和表1-1,我们知道相电压Um最大可以取到2Udc/3,因此可以得到:
也就是说合成电压空间矢量 Uout的幅值为Udc。根据电压空间矢量图,Uout由基本电压空间矢量 U0 ~ U7合成,它所能达到的最大极限为图1-1中正六边形。显然 Uout在正六边形的顶点处取得最大值,这六个顶点就代表着非零基本矢量,也就是说非零基本矢量的幅值是Udc。但是要注意一点,这里所有的表达式都是在三相静止坐标系ABC下推导的!
现在我们转换到两相静止坐标系αβ下:
利用Clark变换可以得到两相坐标系下的电压方程:
接下来进行两相静止坐标系下的合成电压空间矢量 Uout表达式的推导。将αβ坐标系替换为复平面,则此时 Uout就相当于复平面的一个复数,如图2-1所示。
Uout的模长为:
辐角为:
因此可以得出两相静止坐标系αβ下 Uout的表达式:
接下来与三相静止坐标系下的分析类似,可以得出|Uout|=2Udc/3,也就是说非零基本矢量的幅值是2Udc/3。
可以看出,我们在三相静止坐标系下得出非零基本矢量的幅值为|Uout|=Udc,而在两相静止坐标系下|Uout|=2Udc/3,这两者并不矛盾。教材上电压空间矢量图中的坐标系一般都采用αβ坐标系,所以才会有非零基本矢量的幅值为2Udc/3这一结论!
那么为什么两个坐标系下会差2/3呢?这一切的源头的要从Clark变换说起。我们知道3s-2s变换(三相静止坐标系到两相静止坐标系)的时候,若采用等幅值变换,Clark变换矩阵会引入一个2/3的系数,以确保变换后的电压幅值不变。这也就导致了我们在两相坐标系下合成的|Uout|是三相坐标系的2/3倍!
3 线电压的幅值
以下内容针对两相静止坐标系αβ。
从电工课本中我们知道,三相对称正弦电压在星形联结时线电压是相电压的√3倍,但是这个等式是有条件限制的!前提条件就是三相对称正弦电压。
再来看看电压空间矢量图,U0 ~ U7所合成的 Uout最大不会超过图中正六边形的边界,且 Uout只有在六边形的顶点处才能取到幅值2Udc/3(与其说是幅值不如说是最大值),这个六边形显然不是由三相对称正弦电压合成的!如果以2Udc/3作为三相相电压的幅值来合成 Uout,最后得出 Uout的运动轨迹应该是正六边形的外接圆!
要想让逆变器输出最大不失真圆形旋转电压矢量,那么它的运动轨迹必定是正六边形的内切圆,也就是说此时三相相电压的幅值为内切圆的半径——√3Udc/3。现在线电压与相电压的幅值就满足√3倍的关系了,即线电压的幅值为Udc,也就是说SVPWM的电压利用率为1。
4 电压空间矢量图中的图形含义
现在把上面提到了电压矢量图(图1-1)中几个图形的含义总结一下(两相静止坐标系αβ下)。
坐标系:图中为两相静止坐标系αβ,转变为三相静止坐标系时需要进行Clark逆变换;
正六边形:八个基本电压矢量 U0 ~ U7所能合成的电压空间矢量 Uout的极限范围,六边形顶点处的值为2Udc/3;
外接圆:以2Udc/3为三相相电压幅值时合成的 Uout;
内切圆:逆变器能够输出的最大不失真圆形旋转电压矢量,半径为√3Udc/3。这个区域也称为线性调制区,若合成的 Uout幅值超过内切圆半径将导致过调制,引起输出电压失真。
5 如何保证逆变器的输出电压不失真
经过上面的推导和讨论,我们已经知道要想让逆变器输出的电压不失真,那么合成电压空间矢量 Uout顶点的轨迹就要落在正六边形的内切圆内(或圆上)。
在两相静止坐标系αβ下:
SVPWM模块有Uα和Uβ两个输入,逆变器的直流电源为Udc,那么逆变器能够输出的最大不失真圆形电压矢量(正六边形的内切圆)的相电压幅值为√3Udc/3。假设我们现在提供的输入电压表达式如下:
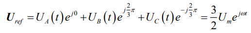
将最终需要逆变器输出的合成电压空间矢量记为 Uref,其相电压幅值为Um,表达式如下:
因此可以得出如下关系式:
在三相静止坐标系ABC下:
输入电压Uα和Uβ经Clark逆变换得出UA、UB、UC,逆变器的直流电源仍为Udc,此时逆变器输出的最大不失真圆形电压(正六边形的内切圆)的相电压幅值为√3Udc/2。假设我们的输入电压表达式如下:
将最终需要逆变器输出的合成电压矢量记为 Uref,其相电压幅值为3Um/2,表达式如下:
因此可以得出如下关系式:
可以发现,不管是三相静止坐标系还是两相静止坐标系,逆变器输出电压不失真的条件是相同的。因此我们在实际应用中提供的直流侧电压Udc,应该大于等于所需要输出的三相相电压幅值的√3倍,以避免输出电压失真。