人工智能

历史
推荐电影:《模仿游戏》 --讲的是图灵机的诞生
第一次低谷1974 - 1980:
计算机的运算能力
计算复杂性和指数爆炸
常识与推理 (训练数据集)
。证明定理和解决几何问题对计算机而言相对容易,而一些看似简单的任务,如人脸识别或穿过屋子,实现起来却极端困难。这也是70年代中期机器视觉和机器人方面进展缓慢的原因
第二次AI低谷:1987 - 1993:
专家系统维护费用居高不下。它们难以升级,难以使用,脆弱(当输入异常时会出现莫名其妙的错误),成了以前已经暴露的各种各样的问题(例如资格问题(qualification problem))的牺牲品。专家系统的实用性仅仅局限于某些特定情景。[121]
里程碑1997:“深蓝”打败象棋冠军
大爆发2006:深度学习

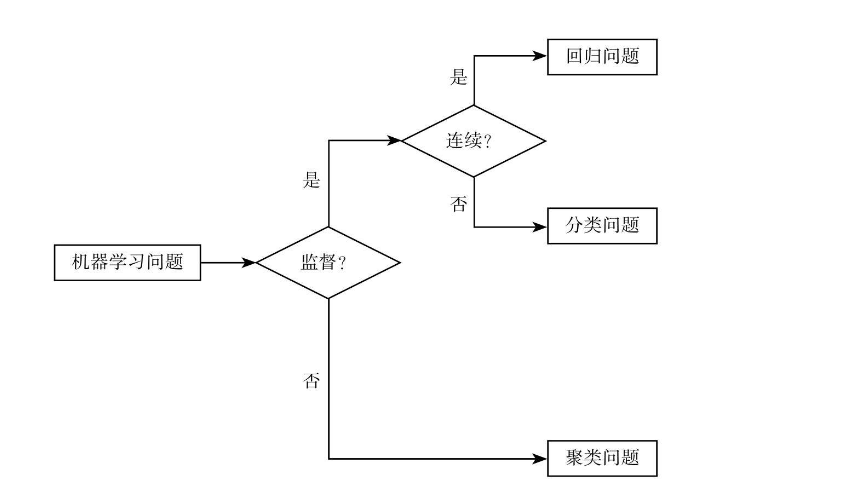
机器学习的处理的问题

监督:是否需要训练数据支撑,训练数据示例 [身高:175 , 体重:60kg , 结论:标准] , 其中身高和体重是模型的输入,结论是模型的输出,训练数据是人工标定的,模型通过多组训练数据进行参数动态调整。
常见的机器学习算法

为什么机器学习执着于解决 回归 和分类问题,而且主要是分类问题?
非此即彼 也许可以解释这个 ,日常生活中的决策都是分类问题 , 无非是种类的多少。比如“围棋对战中”也可以表示为分类问题:棋盘上剩余的空点都可以下棋 , 输出也就可以分成这么多类 , 具体选哪一类呢? 根据当前棋盘的落子情况 和规则 ,推理出每个落点”代价“ , 再继续往后推理,当前每个点落子后,下一轮的代价, 如此反复,计算机能得到每一步棋 很深的一个预测 ,而围棋高手之所有称为高手,就是应为有大局观,能够进行深层次的布局。显然,在有限的时间内 ,计算机的考虑更全面(在强大算力前提下),布局也更深。
回归问题
线性回归
如下图所示,通过采集数据,得到了web网站的点击量与广告费关系图 , 根据这张图,我们能得到广告费为200w的点击量吗?


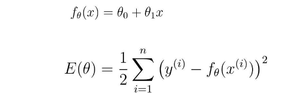
回归问题:通过已经产生的数据 ,对未产生 的 数据 进行 预测 , 说白了就是通过数据求 数据之间的关系(方程),再通过方程,在已知某一个数据得情况下 , 预测另一个数据。
根据图中得点,我们大概能画出这样的一条直线 , 我们期望的是所有点尽可能均匀分布在直线两侧。那么,在已知所有的样本点的情况下,如何求这条完美直线呢?

最小二乘法
思路 :
我们通过观察数据 , 觉得它挺符合一次函数的, 那不妨设一次函数为
目标是让点尽可能靠近直线,这句话翻译过来就是点离直线尽可能的近 , 假设第一个点为 , 也就是误差
值足够小 , 这里 取平方 , 消去绝对值符号 便于计算(不用分段),这里我们称之为误差的平方,也是二乘的由来

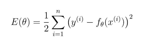
- 要让所有的点尽可能靠近 , 也就是所有点的误差之和 最小 。 规范一下命名 , 就得到以下误差总和函数 , 也称为代价函数


现在只需要求得 , 和 使得 E() 最小 。 E 是关于 的 二次函数 , 可以通过求导得到极 值,导数(斜率)为0。
单自变量求导容易,如下图

- 本例中为两个变量 , 回归方程不使用一次函数,变量将更多 ,多变量通过求偏导得到极值。

如果误差总和函数不是二次函数,而是更加复杂的函数呢?比如下面的图形,如何求最小值? 它的函数可能是:

它的图像可能是这种:

显然,通过导数等于零的方法求极值变得难度极大,这个计算量也是导致神经网络第一次萧条的原因。如果通过更复杂的函数作为回归函数,比如多元多次 , 多项式 ,那么求导将变得无比复杂 , 有没有比求导更好的方法呢?梯度下降 解决了这个问题。目前只需要知道,梯度下降只是为了解决复杂的求导问题。
梯度下降 :复杂函数求极值
寻找下山的路:在任何一个地方,都寻找地势最低的地方走,假如你像孙猴子一样有无数个分身 , 从山顶不同的位置出发,当所有分身都找到个无法在下降的点时,比较所有点的地势,找出最低的点(防止你在某个山沟,却认为到了山下)就是基本确认到达山底。


梯度下降的数学表示方法:
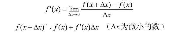
单变量与多变量的近似公式
单变量的近似公式

- 多变量的近似公式(具体见泰勒展开式)
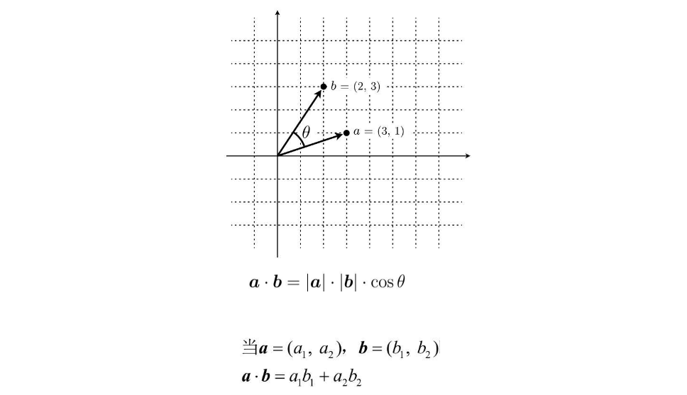
- 近似公式的向量表示方法

- 向量内积的特点

根据柯西-施瓦茨不等式:

将上述结论运用到由近视公式的向量表示法

要想 取得最小 值 ( 越小,表明每次下降越快) , 则需要 满足 , 图像表示出来就是 a,b向量相反

根据上面这个公式 , 我们就知道 如何调整我们的坐标 x ,y . 举例 ,在(x =1 , y =3)点处 ,如何决定下一步往哪走?,分别求出
y = 3 时 , f(x ,3) 对 x的偏导
x= 1 时 , f(1,y) 对 y的偏导
n 称为学习率 ,为常数
后面的部分称为梯度

思考: 这种走一步看一步的方法真能找到最小值吗?
随机梯度下降法:解决局部最优解问题
局部最优解:

重新整理一下整个过程:
定义 输入 与 输出的 关系式 ,也就是模型 f(x) , 线性回归的 例子 是
定义代价函数 (误差函数), , 所有样本(训练数据)的误差 和
求代价函数的最小值 , 求导太复杂,使用梯度下降,走一步看一步
解决局部最优解的问题
选用合适的学习率,过小无法逃脱 , 过大会在最小值附近震荡。

- 选用不同的起点
拿一开始的广告费预测为例

假设 为0 , 我们只考虑一个参数的情况 , 则代价函数 是关于 的 一元二次方程 , 采用梯度下降 ,初始 可能是下图位置,当训练完成,陷入局部最优解 。

当上图现象出现 , 需要重新设置的值 , 然后重新训练模型 , 直到出现下图的 值 , 由于训练耗时,而且难以评估是否陷入局部最优解,因此 ,使用所有的 训练数据 形成的代价函数 不可取。

将训练集分成 不同批次 , 比如训练数据由有10w个 , 将其分成100组 , 每组数据都是随机选取 , 这样得到了100个训练集 , 就相当于从100个点出发,虽然每组的数量减少了 , 但是由于有 100 个随机的出发点 , 自然找到最下值得概率 大大增加。
分类问题
最简单的分类方法:分段函数

感知机
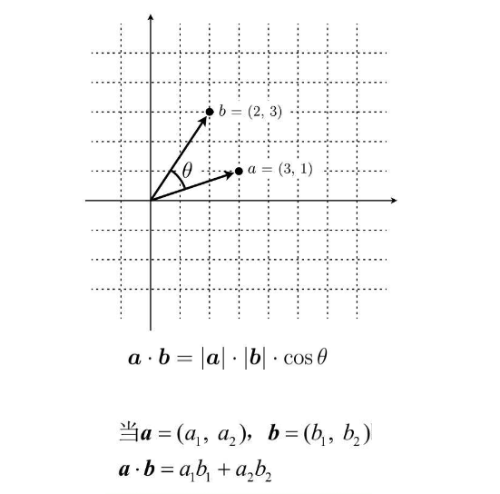
向量的内积理解感知机
向量定义的扩展 : 由有方向和大小的量(力 , 速度) 扩展为 不同维度的 变量 ,如 (身高 , 体重)属于不同维度的变量,他们组成的数集 表示成一个二维向量。
向量内积的几何意义 : 向量的相似性

- 向量内积的坐标表示

证明方法:

有了上面的基础,再来理解感知机: 感知机的结果 为 权重向量 w 和 输入向量x 的 内积 , 从几何意义来看,内积的结果反应了向量w 和 x 的相似程度 , 到底有多相似呢 , 因为 向量大小不同 , 不同的系统 无法通过内积的结果 评判相似程度 ,我们希望能更好的描述相似程度 , 最好通过概率的形式 ,比如 90% 的相似。如何做到呢?

第一步,我们应该 将输入 进行归一化 , ... ,这要样不同组的 内积结果才有可比性,比如:
第一组输入(1,2,3 ) 归一化后 (1/6 ,1/3 , 1/2 )
第二组 输入(100 ,200 ,300) 归一化之后 (1/6 ,1/3 , 1/2 )
如果不做归一化 , 第二组结果 的内积 远大于 第一组 , 但其实 第一组的x 和第二组的 向量x 只是大小不同 ,很相似
第二步,将内积的结果转换成概率 ,即使进行了归一化 , 内积的结果仍然是个数值,不是概率, 这时就需要一个转换函数:sigmiod 函数。将内积的结果作为输入,得到0-1 之间的输出。

我们做了什么?
通过将感知机的输出 , 输入到Sigmoid 函数 , 我们得到了 输入 x 向量 和 权重向量 w 的相似程度 ,若相似程度极高 ,那是不是说明了权重向量,学习到了 输入向量 x 得特征呢 ? 或者说 , 我们得到了一个用于 区分向量x 和 w 的分类器 , 如果输出概率大于 0.5 , 可以大概将 x ,w 分为一类 ,如果概率为95% , 基本可以确认 x , w 为一类。
苹果香蕉分类器
感知机的输出 到 函数 最终得到了 一个分类器 ,但是不符合我们需求,我们要的分类应该是类似这样:输入颜色,形状 ,输出是香蕉苹果得概率,而不是输入颜色 ,形状 和 一个不明所以的权重 w 的相似程度 , w应该是用来 ‘ 学习 ’ 香蕉苹果 的颜色和外形特征的
二分类来识别苹果和香蕉:

我们可以得到以下概率:
P香蕉 = Sigmod (X_color * w11 + X_shape * w21)
P苹果 = Sigmod (X_color * w12 + X_shape * w22 )
我们如何根据输入的 颜色 和形状 来得到 是 香蕉 还是 苹果 的概率 ? 假设 苹果和香蕉的输入如下表:

刚开始 , 所有的 权重 w 是随机的 ,没有记录任何 香蕉苹果的特征,所有它不能分类
让我们来训练它 :
使用苹果正确的参数来训练模型 (1 ,1 ,苹果99% ,香蕉1%):
P 苹果 = Sigmod (1* w12 + 1* w22 ) >=0.99
P 香蕉 = sigmod ( 1 *w11 + 1 * w21 ) < 0.01
使用香蕉正确的参数来训练模型(-1 ,2 ,苹果5% ,香蕉95%):
P 香蕉 = sigmod ( -1 *w11 + 2 * w21 ) >= 0.95
P 苹果 = Sigmod (-1* w12 + 2* w22 ) <0.05
根据4个不等式 得到 :
Sigmod (w12 + w22 ) > > Sigmod ( 2* w22 - w12 )
sigmod ( 2 * w21 - w11 ) >> sigmod ( w11 + w21 )
不等式 是 w21 和 w11 的关系 , 和 w12 和 w22 之间的关系

sigmod函数已知 , 我们通过一定手段 , 就能得到 w11 和w21 的关系 , w12 和 w22 的关系 , 它们分别记录了香蕉和苹果的颜色和外形特征。或许,用’学习‘了更合适。
推理:
香蕉和苹果的 权重向量 极其不相似 , 所以 W 记录了 苹果和香蕉 的 颜色和形状特征。如果拿一个 颜色 0.8 ( 不是那么红) ,形状(0.9)不是那么圆的水果 , 很大概率将识别为 苹果 , 而不是香蕉 , 可以看到 模型 已经具备了对未知(以前没见过) 颜色和形状的水果辨识能力。
神经网络
在苹果香蕉分类器中 , 我们使用了两个感知机 搭建了系统 模型 ,如果我们有 要识别 物体的更多特征呢 , 比如果肉的颜色,味道 , 是否有外皮。这些特征对应了更多的输入。

在做复杂分类时 , 我们最常见 的分类方法是逐级分类,上图中的隐藏层类似于下图中的上一级大类:

有感知机 构成的网络机构称为人工神经网络,与生物神经元的对比

神经网络的模型 训练:
模型开始没有任何功能 , 权重 随机
将训练数据 输入到模型 ,经过模型的推理 , 得到一个推理结果
将推理结果与 真实结果对比 , 求出误差。
通过误差 ,使用 类似最小二乘法的方法,逐级去求使误差最小 的权重(误差反向传播 , 梯度下降)
通过整个训练集的训练 , 模型的权重成功 记录了 识别 体的特征
使用测试数据集来检验模型的准确度
误差反向传播一种通俗理解:
在输出层,我们有来自训练集的目标值 ,所以很容易得到误差,然后根据误差函数,可以求出使误差最小的输出层权重 ,但是隐藏层的误差我们没有定义,因为没有目标值。

由不同权重产生的 不同比例的误差分配: 可以认为 因为 输出结果 3/4 受节点1 影响 , 1/4 受节点2 输出影响,所以总的输出误差更可能按权重的比例来分配。

通过这样的误差分配规则,将误差进行反向传播,然后使用最小乘法来更新每一层的权重

实际的误差反向传播:神经单元误差 和 偏导 参考: 《深度学习的数学》

神经网络的推理:
模型训练完成后,就具备了识别能力
输入要识别的物体输入 , 得到每个类别的概率 ,最大概率的表示最可能是什么
应用示例:数字识别

输入层是 像素点 , 这里是二值图片,像素点取值只能0和1,识别 0和1 ,输出层是 0,和 1 的概率, 中间增加一层隐藏层,至于隐藏层的层数和节点个数,需要按实际情况测试。我们同样可以通过向量的相似性来理解这里的权重 。
卷积神经网络(深度学习)
神经网络存在的问题

参数爆炸式增长
隐藏层层数 和 节点个数随缘 ,过多导致过拟合 , 过少模型表示能力不佳。不同的组合效果不同,没有科学的解释,这也是神经网络刚出现被人诟病的一点
深层的神经网络会出现梯度消失的情况:误差反向传播过程中 , 由输出成传到输入 , 每层分到误差的比例逐渐减小,导致靠近输入层的隐藏层参数无意义(误差小,几乎不会被自动调整)
卷积是什么
一个很形象的例子 : 一巴掌抽在脸上 ,脸肿了 , 随着时间推移 , 脸会慢慢消肿 , 假设脸肿的程度可以叠加 , 那么在 0-t 的时间内,不停的抽 , 在t 时刻,脸肿的程度就是 0-t 时间的卷积。用图像表示 就是:




卷积在滤波中的使用:
离散: 滑动加权滤波
连续: 高斯滤波
卷积神经网络的结构

卷积层:
卷积核: 在二维图像处理中,如下图,选定的3x3 大小的 过滤器S , 看作二维向量 W , 输入图片为二维向量 X , 根据感知机中提到的向量内积表示相似性 , 让 向量 W 依次划过整张图片,与选中的区域做内积运算 , 再经过 Sigmoid 函数, 得到 图像中得部分区域 与 过滤器S 得相似程度。卷积层最终反应得是 原始图片中 , 与过滤器S 相似的概率。也就是说过滤器 提取了 原始图片得特征分布。这个过滤器S 就称为卷积核,卷积核通常为5X5 大小 , 常用得卷积核 见图像处理常用卷积核的效果。下图中 得到的卷积层,明显在中间部分的概率比较大 , 因为卷积核 更像 ‘2’ 的中间部位 , ’2‘的 头部也会有不错的概率,因为它部分相似 。

池化层:
池化层用于信息压缩 , 有最大池化 , 平均值池化等

全连接输出:
类似神经网络
卷积神经网络的特点:
参数较神经网络大大减小 , 线性增加 ,卷积核的个数 * 5 + 输出全连接参数个数 , 卷积核的个数表示提取多少种特征
可以在池化层后 再继续加 卷积层 , 形成深层网络 , 同时 增加卷积核的个数 。
对于图像 , 使用传统的神经网络丢失了 像素点的临近信息 , 而卷积神经网络完整保留,因此往往能得到更加优越的性能。
深度学习的应用场景
机器视觉 (cv)
自然语言处理



部分地方超越 , 部分地方远远不如
3岁的小孩 让他看一次大象真实图像 , 下次任何形式的大象都认得,比如涂鸦,不同品种 ,抽象, 动画 ,或者反过来
Imagenet 数据集有1400多万幅图片,涵盖2万多个类别;其中有超过百万的图片有明确的类别标注和图像中物体位置的标注,具体信息如下:
自动驾驶
地图构建
2D 平面地图:激光雷达(2D)



3D 点云地图:深度相机


实现:坐标变化
激光雷达或者深度相机或的数据 是相对距离和 角度 , 经过计算,可转换为相对坐标
开始建图时,选定一个绝对坐标零点 ,车体运动,根据IMU(惯性导航系统)和编码器以及雷达数据做融合,准确的得到机体的实时的绝对坐标
根据绝对坐标 以及 障碍物 相对于 车体的相对坐标 , 就能得到障碍物的绝对坐标 , 将障碍物一系列的点云坐标(线面有无数个点,只能抽取到特征点)保存就得到了地图。
导航: 车体与障碍物都是绝对坐标,因此车体知道障碍物的存在 , 同时相对坐标 和 IMU 编码器的数据会 修正 车体的绝对位置偏差
ROS 中的 TF 坐标变换

精确定位
室外定位:
GPS + IMU + 里程计(编码器)
室内定位:
(激光雷达)精确地图 + IMU + 里程计(编码器)
数据融合算法:
卡尔曼滤波 (EKF UKF)
粒子滤波
教程 https://github.com/rlabbe/Kalman-and-Bayesian-Filters-in-Python
基本原理 : GPS 或者激光雷达产生的精确地图提供 绝对位置 , 由IMU 和里程计计算而得的 预测位置做数据融合 , 得到一个更精确的定位。

如上图假设GPS 的定位精度 为 10m ,上图的B 。IMU 和编码器因为更精确,因此定位精度为 3m , 某次测量到上图的数据 , GPS数据为170m ,
IMU和编码器的数据计算出来距离在 160m , 最终的比较准确的距离在哪呢? 很显然是 重合的地方。
如果比较巧合,两个不怎么可靠的传感器可能得到非常精确的结果。

路径规划
解决了地图 和定位问题 , 我们已经知道了 自己的位置 和环境信息 , 接下来就是 由 出发地 怎么去目的地了。由很多成熟的路径规划算法,这里以A* 算法为例。 路径规划算法可以参考:https://github.com/AtsushiSakai/PythonRobotics
先来看看效果:

原理:
地图分割
根据机器人的有效转弯半径来选择最小区域,这里以六边形作为最小区域,定义为节点
已知障碍物的绝对坐标 , 计算出地图中与障碍物有重合的节点,标记为不可通过的节点

确定起点和终点的区域,属于哪个节点
取起点临近的 节点 ,依次计算 代价,代价的计算考虑 离起点的距离 ,以及离终点的距离 ,以及到邻近点的代价
单元移动代价:比如一开始方向向右 , 那么去往右边的节点代价最小 , 右上和右下其次,左边的代价依次增高
然后考虑当前节点距离终点的代价 : 距离
由起点到当前位置 花费的总代价 + 终点距离的代价 最小 ,即可选择下一个节点

综合实例:基于ROS的履带车(PS:这里借用了稚辉君的机械臂模型,如有侵权,立马删除)
功能描述:
履带底盘,强大的越野能力
4G +GPS 提供室外定位与通信
激光雷达 + IMU 提供小范围定位
深度相机实现 运动检测 ,跟随 , 视觉导航
机械臂,目标抓取,搭载摄像头,360无死角。搭载瞄准系统
太阳能充电。自展开,自折叠

