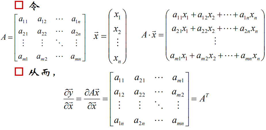
向量的导数
- A 为 m ∗ n 的 矩 阵 , x 为 n ∗ 1 的 列 向 量 , 则 A x 为 m ∗ 1 的 列 向 量 , 记 y ⃗ = A x ⃗ A为m*n的矩阵,x为n*1的列向量,则Ax为m*1的列向量,记\vec{y}=A\vec{x}A为m∗n的矩阵,x为n∗1的列向量,则Ax为m∗1的列向量,记y=Ax
求∂ y ⃗ ∂ x ⃗ \frac{\partial{\vec{y}}}{\partial{\vec{x}}}∂x∂y
推导:
- 结论直接推导:

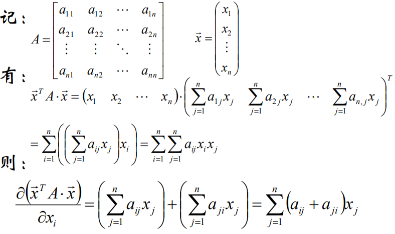
- 标量对向量的导数

- 推导:

版权声明:本文为qq_25614773原创文章,遵循CC 4.0 BY-SA版权协议,转载请附上原文出处链接和本声明。