94. 二叉树的中序遍历
2022年11月18日
一、问题描述
给定一个二叉树的根节点 root ,返回 它的 中序 遍历 。
示例 1:
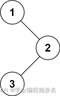
输入:root = [1,null,2,3]
输出:[1,3,2]
示例 2:
输入:root = []
输出:[]
示例 3:
输入:root = [1]
输出:[1]
提示:
树中节点数目在范围 [0, 100] 内
-100 <= Node.val <= 100
二、问题分析
- 算法思路如下:

三、解题代码
# Definition for a binary tree node.
# class TreeNode(object):
# def __init__(self, val=0, left=None, right=None):
# self.val = val
# self.left = left
# self.right = right
class Solution(object):
def inorderTraversal(self, root):
"""
:type root: TreeNode
:rtype: List[int]
"""
self.res = []
def inorder(root):
if not root:
return 0
inorder(root.left)
self.res.append(root.val)
inorder(root.right)
inorder(root)
return self.res
总结
使用递归不断调用inorder函数,直到遍历所有节点,返回的res列表即为中序遍历的结果。
版权声明:本文为qq_45717887原创文章,遵循CC 4.0 BY-SA版权协议,转载请附上原文出处链接和本声明。