深入理解图注意力机制(Graph Attention Network)

©PaperWeekly 原创 · 作者|纪厚业

学校|北京邮电大学博士生

研究方向|异质图神经网络及其应用

介绍

图神经网络已经成为深度学习领域最炽手可热的方向之一。作为一种代表性的图卷积网络,Graph Attention Network (GAT) 引入了注意力机制来实现更好的邻居聚合。通过学习邻居的权重,GAT 可以实现对邻居的加权聚合。因此,GAT 不仅对于噪音邻居较为鲁棒,注意力机制也赋予了模型一定的可解释性。

下图概述了 Graph Attention Network 主要做的事情。

针对节点和节点, GAT 首先学习了他们之间的注意力权重(如左图所示);然后,基于注意力权重来对节点的表示加权平均,进而得到节点 的表示

深入理解图注意力机制

2.1 非对称的注意权重

首先,介绍下如何学习节点对之间的注意力值。很明显,为了计算,注意力网络需要同时考虑两个节点的影响,如下式:

其中,分别是节点的表示,是一个投影矩阵。

注意力网络可以有很多的设计方式,这里作者将节点的表示进行了拼接,再映射为一个标量。需要注意,这里拼接导致,也就是说注意力值是非对称的。

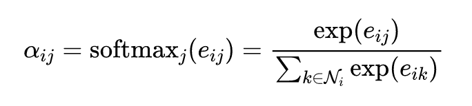
除了拼接操作以外,聚合邻居信息时,需要对每个节点的所有邻居的注意力进行归一化。归一化之后的注意力权重才是真正的聚合系数。

这里的归一化进一步导致了注意力权重的非对称性。因为在归一化的过程中,每个节点的归一化对象并不一样。是针对节点的所有邻居进行归一化,而是针对节点的所有邻居进行归一化。

综上,在求解注意力权重的过程中,分子和分母都是非对称的,进而也是非对称的。

这种非对称性在图数据上有什么用呢?一个简单的例子:在社交网络中,有一个大 V 和一个普通用户互相关注。但是,大 V 对于普通用户的重要性和普通用户对大 V 的重要性明显是不一样的。

完整的图注意力公式如下:

也有文章 18 ArXiv Attention-based Graph Neural Network for Semi-supervised Learning (AGNN) 尝试为节点对设计对称的注意力机制,如下式的

这里,,所以。相对于拼接得到的,基于节点对的相似性得到的也更加直观。

2.2 可有可无的 LeakyRelu?

在求公式中,有一个非常醒目的 LeakyReLU 激活函数。其实在最初的 GAT 论文中是没有这个激活函数的。那这里作者为什么突然要加上一个激活函数呢?

我们先拿掉 LeakyReLU,再看一下公式中最核心的一项:

假设注意力向量是由两个向量拼接而成,即:,那么:

如果在没有 LeakyReLU 的时候对邻居进行归一化:

也就是说,分子分母同时约去了节点的信息,实际变成了。这时,节点对之间的注意力权重实际没有考虑节点的表示。

如果加上激活函数(也就是 LeakyReLU),那么:

后面的归一化就不会约去节点的信息。

这里对原始 GAT 论文中的公式进行了展开解读,一是为了更深入的理解图注意力机制,二是后面的代码解读需要用到这种展开。

2.3 Transformer Vs GAT

NLP 中大火的 Transformer 和 GAT 本质在做一样的事情。Transformer 利用 self-attention 机制将输入中的每个单词用其上下文的加权来表示,而 GAT 是利用 self-attention 机制将每个节点用其邻居的加权来表示。下面是经典的 Transformer 公式:

这里的是一个单词的三种描述, 其中,是当单词作为上下文的中心位置时的表示,是当单词作为上下文时的表示,是当单词作为加权输入时的表示。

因此,其实代表了单词之间的相似性,在经过 softmax 归一化之后就可以得到注意力权重。有了注意力权重,我们再对上下文单词的表示进行加权,就可以得到单词的表示了。

上述过程和 GAT 的核心思想非常相似:都是通过探索输入之间的关联性(注意力权重),通过对上下文信息(句子上下文/节点邻居)进行聚合,来获得各个输入(单词/节点)的表示。

Transformer 和 GAT 的主要区别是:

  • 在 GAT 中,作者对自注意力进行了简化。每个节点无论是作为中心节点/上下文/聚合输出,都只用一种表示。也就是说,在 GAT 中,

  • 在图上,节点的邻居是一个集合,具有不变性。Transformer 将文本隐式的建图过程中丢失了单词之间的位置关系,这对 NLP 的一些任务是很致命的。为了补偿这种建图损失的位置关系,Transformer 用了额外了的位置编码来描述位置信息。

核心代码解读

Graph Attention Network 的作者开源了代码:

https://github.com/PetarV-/GAT

但是,这份代码对于初学者来说较难理解。这里对 GAT 的核心代码进行简要的解读和介绍。

作者在 GAT/utils/layers.py 中的 attn_head 实现了 GAT 核心模块:注意力机制。

def attn_head(seq, out_sz, bias_mat,
              activation, in_drop=0.0, coef_drop=0.0, residual=False):

这里有 3 个比较核心的参数:

  • seq 指的是输入的节点特征矩阵,大小为 [num_graph, num_node, fea_size]

  • out_sz 指的是变换后的节点特征维度,也就是后的节点表示维度。

  • bias_mat 是经过变换后的邻接矩阵,大小为 [num_node, num_node]。

作者首先将原始节点特征 seq 进行变换得到了 seq_fts。这里,作者使用卷积核大小为 1 的 1D 卷积模拟投影变换,投影变换后的维度为 out_sz。注意,这里投影矩阵是所有节点共享,所以 1D 卷积中的多个卷积核也是共享的。

seq_fts = tf.layers.conv1d(seq, out_sz, 1, use_bias=False)

也就是说,seq_fts 的大小为 [num_graph, num_node, out_sz]。

回顾前面的公式展开 也可以认为是投影变换,只不过投影到 1 维表示。注意,这里节点及其邻居的投影是分开的,有两套投影参数,对应下面两个 conv1d 中的参数。

f_1 = tf.layers.conv1d(seq_fts, 1, 1)
f_2 = tf.layers.conv1d(seq_fts, 1, 1)

经过 tf.layers.conv1d(seq_fts, 1, 1) 之后的 f_1 和 f_2 维度均为 [num_graph, num_node, 1]。

将 f_2 转置之后与 f_1 叠加,通过广播得到的大小为 [num_graph, num_node, num_node] 的 logits,就是一个注意力矩阵:

按照 GAT 的公式,我们只要对 logits 进行 softmax 归一化就可以拿到注意力权重,也就是代码里的 coefs。但是,这里为什么会多一项 bias_mat 呢?

coefs = tf.nn.softmax(tf.nn.leaky_relu(logits) + bias_mat)

因为的 logits 存储了任意两个节点之间的注意力值,但是,归一化只需要对每个节点的所有邻居的注意力进行(下式标红的部分)。所以,引入了 bias_mat 就是将 softmax 的归一化对象约束在每个节点的邻居上,如下式的红色部分。

那么,bias_mat 是如何实现的呢?直接的想法就是只含有 0,1 的邻接矩阵与注意力矩阵相乘,从而对邻居进行 mask。但是,直接用 0,1mask 会有问题。

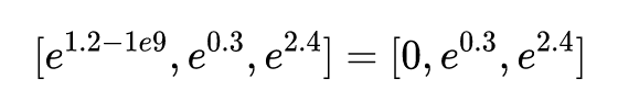
假设注意力权值 [1.2, 0.3, 2.4] 经过 [0,1,1] 的乘法 mask 得到 [0, 0.3, 2.4],再送入到 softmax 归一化,实际上变为,这里本应该被 mask 掉的 1.2 变成了=1,还是参与到了归一化的过程中。

作者这里用一个很大的负数,如,将原始邻居矩阵进行下面的变换, 见 utils/process.py/adj_to_bias。

def adj_to_bias(adj, sizes, nhood=1):
       ...
   ...
   return -1e9 * (1.0 - mt)

然后,将 bias_mat 和注意力矩阵相加,进而将非节点邻居进行 mask。

例如,[1.2, 0.3, 2.4] 经过 的加法 mask 得到。这样 softmax 就达到了我们的目的。

因为较大的负数。最后,将 mask 之后的注意力矩阵 coefs 与变换后的特征矩阵 seq_fts 相乘,即可得到更新后的节点表示 vals。

vals = tf.matmul(coefs, seq_fts)

总结

Graph Attention Network 作为首次将图注意力机制引入到图神经网络中的工作,已经在很多领域得到了广泛应用。受益于注意力机制,GAT 能够过滤噪音邻居,提升模型表现并可以对结果实现一定的解释。

点击以下标题查看更多往期内容: 

#投 稿 通 道#

 让你的论文被更多人看到 

如何才能让更多的优质内容以更短路径到达读者群体,缩短读者寻找优质内容的成本呢?答案就是:你不认识的人。

总有一些你不认识的人,知道你想知道的东西。PaperWeekly 或许可以成为一座桥梁,促使不同背景、不同方向的学者和学术灵感相互碰撞,迸发出更多的可能性。 

PaperWeekly 鼓励高校实验室或个人,在我们的平台上分享各类优质内容,可以是最新论文解读,也可以是学习心得技术干货。我们的目的只有一个,让知识真正流动起来。

???? 来稿标准:

• 稿件确系个人原创作品,来稿需注明作者个人信息(姓名+学校/工作单位+学历/职位+研究方向) 

• 如果文章并非首发,请在投稿时提醒并附上所有已发布链接 

• PaperWeekly 默认每篇文章都是首发,均会添加“原创”标志

???? 投稿邮箱:

• 投稿邮箱:hr@paperweekly.site 

• 所有文章配图,请单独在附件中发送 

• 请留下即时联系方式(微信或手机),以便我们在编辑发布时和作者沟通

????

现在,在「知乎」也能找到我们了

进入知乎首页搜索「PaperWeekly」

点击「关注」订阅我们的专栏吧

关于PaperWeekly

PaperWeekly 是一个推荐、解读、讨论、报道人工智能前沿论文成果的学术平台。如果你研究或从事 AI 领域,欢迎在公众号后台点击「交流群」,小助手将把你带入 PaperWeekly 的交流群里。


版权声明:本文为c9Yv2cf9I06K2A9E原创文章,遵循CC 4.0 BY-SA版权协议,转载请附上原文出处链接和本声明。