Pytorch实现LSTM时间序列预测


原创 CodeInHand 2018-02-09

作者 小左

摘要:本文主要基于Pytorch深度学习框架,实现LSTM神经网络模型,用于时间序列的预测。


开发环境说明:

Python 35

Pytorch 0.2

CPU/GPU均可


01


LSTM简介

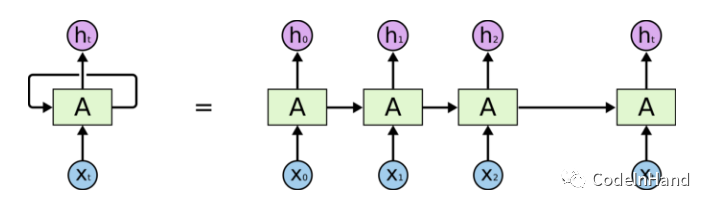
        人类在进行学习时,往往不总是零开始,学习物理你会有数学基础、学习英语你会有中文基础等等。于是对于机器而言,神经网络的学习亦可不再从零开始,于是出现了Transfer Learning,就是把一个领域已训练好的网络用于初始化另一个领域的任务,例如会下棋的神经网络可以用于打德州扑克。我们这讲的是另一种不从零开始学习的神经网络——循环神经网络(Recurrent Neural Network, RNN),它的每一次迭代都是基于上一次的学习结果,不断循环以得到对于整体序列的学习,区别于传统的MLP神经网络,这种神经网络模型存在环型结构,具体下所示:

       上图是RNN的基本单元,通过不断循环迭代展开模型如下所示,图中ht是神经网络的在t时刻的输出,xt是t时刻的输入数据。这种循环结构对时间序列数据能够很好地建模,例如语音识别、语言建模、机器翻译等领域。

        但是普通的RNN对于长期依赖问题效果比较差,当序列本身比较长时,由于神经网络模型的训练是采用backward进行,在梯度链式法则中容易出现梯度消失和梯度爆炸的问题,需要进一步改进RNN的模型结构。

        针对Simple RNN存在的问题,LSTM网络模型被提出,LSTM的核心是修改了增添了Cell State,即加入了LSTM CELL,通过输入门、输出门、遗忘门把上一时刻的hidden state和cell state传给下一个状态。如下所示:

遗忘门:ft = sigma(Wf*[ht-1, xt] + bf)

输入门:it = sigma(Wi*[ht-1, xt] + bi)

cell state initial: C't = tanh(Wc*[ht-1, xt] +bc)

cell state: Ct = ft*Ct-1+ itC't

输出门:ot = sigma(Wo*[ht-1, xt] + bo)

模型输出:ht = ot*tanh(Ct)


        LSTM有很多种变型结构,实际工程化过程中用的比较多的是peephole,就是计算每个门的时候增添了cell state的信息,有兴趣的童鞋可以专研专研。

        上一部分简单地介绍了LSTM的模型结构,下边将具体介绍使用LSTM模型进行时间序列预测的具体过程。


02



数据准备

        对于时间序列,本文选取正弦波序列,事先产生一定数量的序列数据,然后截取前部分作为训练数据训练LSTM模型,后部分作为真实值与模型预测结果进行比较。正弦波的产生过程如下:

SeriesGen(N)方法用于产生长度为N的正弦波数值序列;

trainDataGen(seq,k)用于产生训练或测试数据,返回数据结构为输入输出数据。seq为序列数据,k为LSTM模型循环的长度,使用1~k的数据预测2~k+1的数据。


03



模型构建

        Pytorch的nn模块提供了LSTM方法,具体接口使用说明可以参见Pytorch的接口使用说明书。此处调用nn.LSTM构建LSTM神经网络,模型另增加了线性变化的全连接层Linear(),但并未加入激活函数。由于是单个数值的预测,这里input_size和output_size都为1.


04



训练和测试

(1)模型定义、损失函数定义

(2)训练与测试

(3)结果展示

比较模型预测序列结果与真实值之间的差距