/*前边两个为一种做法*/
/*后边有另外的做法(差分方程以及利用矩阵去做)*/
//***************************************************//***************************************************//***************************************************
第一种做法
这是2018王道数据结构考研复习指导的第一章思维拓展的题目。
关于斐波那契数列的简介:
斐波那契数列,又称黄金分割数列,指的是这样一个数列:0、1、1、2、3、5、8、13、21、34、……在数学上,斐波纳契数列以如下被以递归的方法定义:F(0)=0,F(1)=1,F(n)=F(n-1)+F(n-2)(n≥2,n∈N*)在现代物理、准晶体结构、化学等领域,斐波纳契数列都有直接的应用,为此,美国数学会从1963起出版了以《斐波纳契数列季刊》为名的一份数学杂志,用于专门刊载这方面的研究成果。
具体题目:
求解斐波那契数列的F(n)有两种常用算法:递归算法和非递归算法。试分析两种算法的时间复杂度。
1.递归算法
1 #include<iostream>
2 using namespace std;
3
4 long Fibonacci(int n) {
5 if (n == 0)
6 return 0;
7 else if (n == 1)
8 return 1;
9 else
10 return Fibonacci(n - 1) + Fibonacci(n-2);
11 }
12
13 int main() {
14 cout << "Enter an integer number:" << endl;
15 int N;
16 cin >> N;
17 cout << Fibonacci(N) << endl;
18 system("pause");
19 return 0;
20 }时间复杂度分析:
求解F(n),必须先计算F(n-1)和F(n-2),计算F(n-1)和F(n-2),又必须先计算F(n-3)和F(n-4)。。。。。。以此类推,直至必须先计算F(1)和F(0),然后逆推得到F(n-1)和F(n-2)的结果,从而得到F(n)要计算很多重复的值,在时间上造成了很大的浪费,算法的时间复杂度随着N的增大呈现指数增长,时间的复杂度为O(2^n),即2的n次方。
2.非递归算法
1 #include<iostream>
2 using namespace std;
3
4 long Fibonacci(int n) {
5 if (n <= 2)
6 return 1;
7 else {
8 long num1 = 1;
9 long num2 = 1;
10 for (int i = 2;i < n - 1;i++) {
11 num2 = num1 + num2;
12 num1 = num2 - num1;
13 }
14 return num1 + num2;
15 }
16 }
17
18 int main() {
19 cout << "Enter an integer number:" << endl;
20 int N;
21 cin >> N;
22 cout << Fibonacci(N) << endl;
23 system("pause");
24 return 0;
25 }时间复杂度分析:
从n(>2)开始计算,用F(n-1)和F(n-2)两个数相加求出结果,这样就避免了大量的重复计算,它的效率比递归算法快得多,算法的时间复杂度与n成正比,即算法的时间复杂度为O(n).
/**************************************************************************************************************************************************************************************************************/
第二种做法。
应用网址:
关于斐波那契数列三种解法及时间复杂度分析_beautyofmath的博客-CSDN博客_斐波那契数列时间复杂度
斐波那契数列: f(n)=f(n-1)+f(n-2); n>=2
f(0)=0; f(1)=1;
即有名的兔子繁衍问题。
斐波那契数列共有三种解法,因而写这篇文章总结一下。
1. 递归求解
递归求解比较简单,是大家常见的一种解法。
1 int fibonacci(int n)
2 {
3 cout<<"calculating "<<n<<endl;
4 if (n<=0) {
5 return 0;
6 }
7 if (n==1) {
8 return 1;
9 }
10 return fb(n-1)+fb(n-2);
11 } 关于这种解法,不再赘述,下面主要说下时间复杂度分析。
设f(n)为参数为n时的时间复杂度,很明显:f(n)=f(n-1)+f(n-2)
这就转化为了数学上的二阶常系数差分方程,并且为其次方程。
即转化为了求f(n)的值,f(n)=f(n-1)+f(n-2)且f(0)=0; f(1)=1;
特征方程为:x^2-x-1=0
得 x=(1±√5)/2
因而f(n)的通解为:

由f(0)=0; f(1)=1可解得c_1,c_2
最终可得,时间复杂度为:

第一种解法比较简单,但是多个元素重复计算,因而时间复杂度较高,为了避免重复计算,可进行循环计算减少时间复杂度
1 int Fibonacci(int n) {
2 if (n<=0) {
3 return 0;
4 }
5 if (n==1) {
6 return 1;
7 }
8 int min=0;
9 int max=1;
10 int i=2;
11 int result=0;
12 while (i<=n) {
13 result=min+max;
14 min=max;
15 max=result;
16 ++i;
17 }
return result;
}
第二种算法时间复杂度为O(n)
3. 还有一种时间复杂度更低的算法。
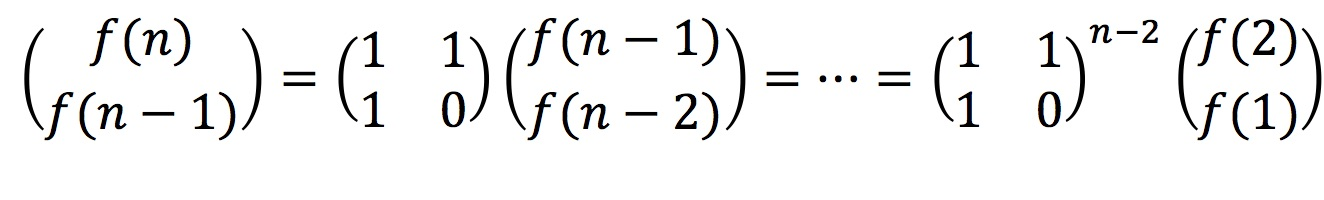
根据上面的递归公式,我们可以得到

因而计算f(n)就简化为了计算矩阵的(n-2)次方,而计算矩阵的(n-2)次方,我们又可以进行分解,即计算矩阵(n-2)/2次方的平方,逐步分解下去,由于折半计算矩阵次方,因而时间复杂度为O(log n)
具体代码实现如下:
1 //
2 // main.cpp
3 // fibonaccimatrix
4 //
5 // Created by shunagao on 15/8/31.
6 // Copyright © 2015年 shunagao. All rights reserved.
7 //
8
9 #include <iostream>
10 using namespace std;
11
12 class Matrix
13 {
14 public:
15 int n;
16 int **m;
17 Matrix(int num)
18 {
19 m=new int*[num];
20 for (int i=0; i<num; i++) {
21 m[i]=new int[num];
22 }
23 n=num;
24 clear();
25 }
26 void clear()
27 {
28 for (int i=0; i<n; ++i) {
29 for (int j=0; j<n; ++j) {
30 m[i][j]=0;
31 }
32 }
33 }
34 void unit()
35 {
36 clear();
37 for (int i=0; i<n; ++i) {
38 m[i][i]=1;
39 }
40 }
41 Matrix operator=(const Matrix mtx)
42 {
43 Matrix(mtx.n);
44 for (int i=0; i<mtx.n; ++i) {
45 for (int j=0; j<mtx.n; ++j) {
46 m[i][j]=mtx.m[i][j];
47 }
48 }
49 return *this;
50 }
51 Matrix operator*(const Matrix &mtx)
52 {
53 Matrix result(mtx.n);
54 result.clear();
55 for (int i=0; i<mtx.n; ++i) {
56 for (int j=0; j<mtx.n; ++j) {
57 for (int k=0; k<mtx.n; ++k) {
58 result.m[i][j]+=m[i][k]*mtx.m[k][j];
59 }
60 }
61 }
62 return result;
63 }
64 };
65 int main(int argc, const char * argv[]) {
66 unsigned int num=2;
67 Matrix first(num);
68 first.m[0][0]=1;
69 first.m[0][1]=1;
70 first.m[1][0]=1;
71 first.m[1][1]=0;
72 int t;
73 cin>>t;
74 Matrix result(num);
75 result.unit();
76 int n=t-2;
77 while (n) {
78 if (n%2) {
79 result=result*first;
80 }
81 first=first*first;
82 n=n/2;
83 }
84 cout<<(result.m[0][0]+result.m[0][1])<<endl;
85 return 0;
86 }