写在前面的话:
线性代数之所以让人十分头疼,关键点在于线性代数的概念之多,定理之多,前后联系十分紧密。我们很容易学着忘着。为此,小季开始写有关线代复习的文章。将知识点总结起来串联起来,帮助大家更好的复习!
如果帮助到了你,点个赞点个关注哦!感谢支持!
前期回顾:
小季不是咸鱼:一起复习线代!线性代数期末复习之线性方程组~zhuanlan.zhihu.com
1.矩阵A与B相等是指两个矩阵的对应位置上的元素都一一相等
2.矩阵的加法和数乘运算统称为矩阵的线性运算
3.矩阵的加法和数乘满足交换律,结合律和分配律
4.只有矩阵A的列数等于矩阵B的行数,A与B的乘积AB才有意义
5.A与B的乘积AB继承了左边矩阵A的行数,右边矩阵B的列数
6.如果A=0或者B=0,那么AB=0,反之不一定成立
7.如果 A的第i行为零行,那么AB的第i行为零行,如果B的第j列为零列,那么AB的第j列为零列。
8.AB的非零行个数小于等于A的非零行个数,AB的非零列个数小于等于B的非零列个数
9.矩阵的乘法满足结合律和分配律,不满足交换律.A与B可以相乘,B与A不一定可以相乘.
10.矩阵乘法也不满足消去律,即AB=AC,且
11.对于任意的m×n矩阵A,都有
12.关于矩阵乘方的性质
- 如果A为方阵,s,t为非负整数,那么
- 如果A,B为同阶方阵,m为正整数。如果AB可以交换,即AB=BA,那么前提很重要)
(一定注意这个
13.设
14.矩阵转置的性质
- 如果
,那么
15.矩阵A的初等列变换
- 互换A的第i列与第j列
- A的第i列乘以非零常数h
- A的第i列的k倍加到第j列上
16.矩阵的初等行变换和初等列变换统称为矩阵的初等变换
17.如果矩阵A可以经过有限次初等变换化为矩阵B,那么称A与B是等价的,记为
18.对n阶单位矩阵
19.关于初等矩阵的转置
20.设A为m×n矩阵.如果对A作一次初等行变换得到的矩阵为B,相同的初等行变换作用到m阶单位矩阵上得到的初等矩阵为P,那么
21.由20可以推出来一下结论
- 矩阵A与B是行等价的当且仅当存在m阶初等矩阵
,使得
- 矩阵A与B是列等价的当且仅当存在n阶初等矩阵
,使得
- 矩阵A与B是等价的当且仅当存在n阶初等矩阵
,m阶初等矩阵
,使得
22.如果P为初等矩阵,那么存在同阶初等矩阵Q,使得
23.设P是n阶初等矩阵,那么
24.如果矩阵A与B是行等价的,那么B与A也是行等价的
25.设A,B,C是三个矩阵,如果A与B行等价,那么AC与BC也行等价
证明如下:A与B行等价,则由21可知,存在初等矩阵,使得
,
两边右乘矩阵C可得,因此
与
也是行等价的
26.如果矩阵A与B是行等价的,那么A与B的非零列个数相等,如果矩阵A与C是列等价的,那么A与B的非零行个数相等
注意行列关系
27.矩阵A的秩不大于A的非零行的个数,也不大于A的非零列的个数
28.如果矩阵A与B是等价的,那么
29.矩阵A的秩与A的转置矩阵
30.
31.设A是n阶矩阵,如果r(A)=n,那么A可以表示为有限个初等矩阵的乘积
32.如果A是可逆矩阵,那么A的逆矩阵是唯一的.
33.可逆矩阵的一些性质,将可逆矩阵
(这个结论可以拓展到n个矩阵相乘)
34.初等矩阵是可逆的,并且初等矩阵的逆矩阵仍然是初等矩阵
35.设A是n阶矩阵,那么下列论断彼此等价
- A是可逆矩阵
- A可以表示为有限个n阶初等矩阵的乘积
36.设A,B都是n阶矩阵,如果乘积AB是可逆的,那么A与B都是可逆的
37.如果A是n阶初等矩阵,那么线性方程组
38.设A是m×n矩阵,如果P是m阶可逆矩阵,Q是n阶可逆矩阵,那么
39.一些特殊矩阵
- 分块矩阵,如

- 对称矩阵:
反称矩阵:
- 对角矩阵:简记为

- 准对角矩阵:是一种特殊的分块矩阵

- 上三角矩阵:若A为上三角矩阵,当A可逆时,A的逆矩阵仍然是上三角矩阵

- 下三角矩阵:若A为下三角矩阵,当A可逆时,A的逆矩阵仍然是下三角矩阵

基础题型
1.根据矩阵的运算法则求矩阵(熟练掌握矩阵的乘法)
2.证明某一矩阵为可逆矩阵
3.求可逆矩阵的逆矩阵
4.利用可逆矩阵求方程组的解
5.上述题型与某些特殊矩阵联系
【1】已知矩阵

【2】已知

【3】求平方等于零矩阵的所有 2 阶矩阵

由于该方程组不是线性方程组,故需要分类讨论求解
【4】设
解:计算可得
多加注意这个求乘方的方法
【5】已知矩阵
解:B是 A经过 3 次初等行变换得到的:首先将 A的第 1 行加到第 3 行上, 然后互换矩阵第 1 行与第 2 行,最后互换矩阵的第 2 列和第 3 列,因此令
于是
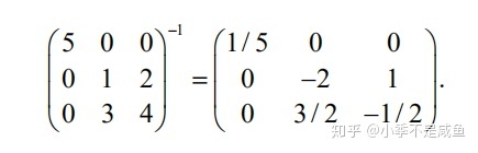
【6】求下列矩阵的逆矩阵

求一个矩阵的逆矩阵的方法:若A为n阶可逆矩阵
(1)构造n×(2n)矩阵
(2)用初等行变换将化为简化阶梯形
(3)写出的逆矩阵
【7】设方阵

一般情况下,在不好进行因式分解时,可以采用待定系数法
【8】求满足以下等式的矩阵
解:

遇到这类题的时候,切记不要用待定系数法设矩阵,会非常难求,应该先求逆矩阵,然后等号两边左乘或者右乘其逆矩阵,注意乘的时候是左还是右
【9】设

与逆矩阵相关的证明题中,一定要想办法凑逆矩阵与可逆矩阵的乘积,一般都是在等式两边同时左乘或者又乘
【10】已知


一定要注意在进行矩阵分块的时候,要让分块的小矩阵乘积有意义,即的列数等于
的行数
【11】利用分块矩阵求下列矩阵的逆矩阵


在利用分块矩阵求逆矩阵的时候,注意下面两个公式
尽量凑成这两种形式
【12】证明: 如果 与 都是 n阶对称矩阵, 那么

写在后面的话:
因为篇幅和时间问题,目前更新的线代复习系列依旧以基础知识基础题型为主,感谢大家的谅解
之后 线性代数期末复习系列还会持续更新!! 希望大家持续关注啦 想要不迷路的话,快快关注小季!
码字不易,能力有限,如有错误,敬请指出
往期回顾
小季不是咸鱼:不定积分大集合——方法篇
小季不是咸鱼:你真的会求导吗?盘点那些复杂、易错、奇怪的求导问题!
小季不是咸鱼:干货驾到,一篇文章带你彻底学会无求小求极限!
小季不是咸鱼:又是干货?用定义证明极限的高阶用法!!
小季不是咸鱼:干货拉满,用定义证明极限的方法汇总
小季不是咸鱼:面对阶乘不会放缩?用泰勒就完事了!