书写本文的初衷是为了自我反省记录。如有表达不当,请批评指正
在shadertoy上看到了物体的描边效果,感觉效果不错,拿来学习一下,先贴出代码,然后分析
float d;
float lookup(vec2 p, float dx, float dy)
{
vec2 uv = (p.xy + vec2(dx * d, dy * d)) / iResolution.xy;
vec4 c = texture(iChannel0, uv.xy);
// return as luma
return 0.2126*c.r + 0.7152*c.g + 0.0722*c.b;
}
void mainImage( out vec4 fragColor, in vec2 fragCoord )
{
d = 1.5; // kernel offset
vec2 p = fragCoord.xy;
// simple sobel edge detection
float gx = 0.0;
gx += -1.0 * lookup(p, -1.0, -1.0);
gx += -2.0 * lookup(p, -1.0, 0.0);
gx += -1.0 * lookup(p, -1.0, 1.0);
gx += 1.0 * lookup(p, 1.0, -1.0);
gx += 2.0 * lookup(p, 1.0, 0.0);
gx += 1.0 * lookup(p, 1.0, 1.0);
float gy = 0.0;
gy += -1.0 * lookup(p, -1.0, -1.0);
gy += -2.0 * lookup(p, 0.0, -1.0);
gy += -1.0 * lookup(p, 1.0, -1.0);
gy += 1.0 * lookup(p, -1.0, 1.0);
gy += 2.0 * lookup(p, 0.0, 1.0);
gy += 1.0 * lookup(p, 1.0, 1.0);
// hack: use g^2 to conceal noise in the video
float g = gx*gx + gy*gy;
float g2 = g ;
vec4 col = texture(iChannel0, p / iResolution.xy);
col += vec4(0.0, g, g2, 1.0);
fragColor = col;
}
可以看到shader中构造了gx gy两个变量,
这两个变量是用来Sobel(一种边缘检测滤波)算法来计算检测边缘。
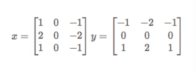
构造两个矩阵如下

可以看到,x y互为转置矩阵,在sobel算法中,gx变量的构造过程中,
gx += -1.0 * lookup(p, -1.0, -1.0);
gx += -2.0 * lookup(p, -1.0, 0.0);
gx += -1.0 * lookup(p, -1.0, 1.0);
gx += 1.0 * lookup(p, 1.0, -1.0);
gx += 2.0 * lookup(p, 1.0, 0.0);
gx += 1.0 * lookup(p, 1.0, 1.0);
第一排数字是x矩阵的列阵,而looup方法里的dx参数的(1,-1)的正负是根据第一排数字的正负决定的,dy是固定的(-1,0,1对应列阵的line 1 line2 line 3)
这样就能根据uv.xy创建不同的gx gy
大概原理如下

对于某一点vec2(x,y),对其边缘的8个位置进行检测
// Sobel masks (参考 http://en.wikipedia.org/wiki/Sobel_operator)
// 1 0 -1 -1 -2 -1
// X=2 0 -2 Y= 0 0 0
// 1 0 -1 1 2 1
版权声明:本文为liuyizhou95原创文章,遵循CC 4.0 BY-SA版权协议,转载请附上原文出处链接和本声明。