matlab标定工具箱

+Add Images:输入方格的边长(mm)

Calibrate开始校正,Export Camera Parameters

目录
有效的径向畸变系数(NumRadialDistortionCoeffcients):
旋转矩阵(RotationMatrices):3*3*num ,num是输入图像的数量
平移向量(TranslationVectors):num*3,num是输入图像的数量
平均重投影误差(MeanReprojectionError):
重投影误差(ReprojectionErrors):m*2*n维矩阵,m是图像中角点的数量,n是输入的图像数量
WorldPoints:图像的世界坐标点,与校准前输入的棋盘格宽度相关,以检测到的第一个内角点为起始点。
EstimateTangentialDistortion:切向畸变的标志位,值0,1。
参数解析:
Intrinsic camera parameter:
IntrinsicMatrix:3*3的投影矩阵,
[cx,cy]是相机的光学中心(主点,principal point),s是倾斜参数,当x轴和y轴完全垂直时,s=0.
fx=f*sx,fy=f*sy,f是相机的焦距,以mm为单位,[sx,sy]代表在(x,y)方向上每毫米的像素量。

EstimateSkew:倾斜参数s

Camera lens distortion:
径向畸变(RadialDistortion)
原理简介:径向畸变是由于透镜形状的制造工艺导致,造成图像点从主点开始沿着径向线发生位移,其主要原因是由于透镜的制造原理使光线在远离透镜中心的地方折射效果更加明显,越远离中心点畸变的效果越显著。
对于空间中一条直线,由于径向畸变在成像平面上会变成一条曲线,对于整幅图像而言,图像会以主点为中心,越靠近图像边缘的地方形变越大。
径向畸变是造成镜头畸变的主要因素,分为桶形畸变和枕形畸变。桶形畸变的成像情景是向外膨胀,是由镜头中透镜的物理特性及其组成结构造成的,产生原因是光轴附近的放大倍数比远离光轴的大;枕形畸变的成像画面向里压缩,其产生原因正好与桶形畸变相反。


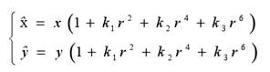
数学模型:

式中,(x,y)是未发生畸变的像素点的位置坐标,k1,k2,k3是镜头的径向畸变系数,r=x``2+y``2

有效的径向畸变系数(NumRadialDistortionCoeffcients):

切向畸变(TangentialDistortion)
原理简介:切向畸变是由于透镜CMOS或CCD的安装位置误差导致,发生在与半径垂直的方向上,但是通常没有径向畸变严重;薄透镜畸变通常是由设计和加工过程中的瑕疵引起的镜头与成像平面不能保证完全的平行。

畸变的数学模型:


Extinsic camera parameters:
旋转矩阵(RotationMatrices):3*3*num ,num是输入图像的数量
相机的外参,描述世界坐标系->相机坐标系的旋转变换
平移向量(TranslationVectors):num*3,num是输入图像的数量
相机的外参,描述世界坐标系->相机坐标系的平移变换
Estimated camera parameter accuracy
平均重投影误差(MeanReprojectionError):

重投影误差(ReprojectionErrors):m*2*n维矩阵,m是图像中角点的数量,n是输入的图像数量

原理简介:重投影误差是指投影的点(理论值)与图像上的测量点的误差。通常,我们把标定板上的物理点看作理论值,它经过投影变换后会得到理论的像素点x,而测量的点经过畸变校正后的像素点为x',它的欧氏距离||x-x'||2(2范数)即为重投影误差。(简单理解即为测量值与计算值之间的欧氏距离)

观测值Pr'与理论值Pr之间存在误差e,最小化重投影误差使得e=0.
其他的相机参数估计:
NumPattern:输入图像的数量
WorldPoints:图像的世界坐标点,与校准前输入的棋盘格宽度相关,以检测到的第一个内角点为起始点。



WorldUnit:世界坐标点的单位,mm
![]()
EstimateTangentialDistortion:切向畸变的标志位,值0,1。
=0,切向畸变可以忽略不计。
![]()