记忆融合网络MFN

第一个组成部分:每个视图都被赋予一个LSTM函数组件独立编码每个视图
第二个组成部分:Delta-memory Attention Network (DMAN) ,通过lstm系统来发现跨视图交互作用
第三个组成部分:存储跨视图信息在多视图门控记忆
视图N={l,v,a}
第n个视图的输入数据Xn = 【xn]
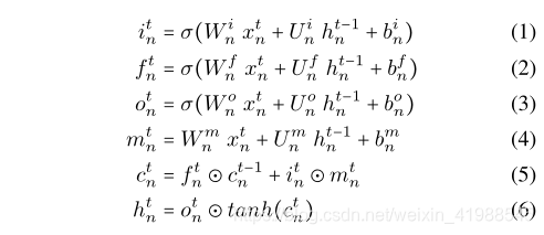
1.System of LSTMs
对于第n个视图,分配的LSTM被表示为
,t是时间戳
每个LSTM的输出定义为![]()
![]()
System LSTM允许不同视图具有不同输入、记忆和输出形状
第n个LSTM的更新规则如下:

i、f、o是输入、遗忘、输出门
是第nLSTM建议的记忆更新
2.Delta-memory Attention Network
目标:在时间t上勾勒出跨视图交互在System LSTM的不同视图中
DMAN的输入是t-1和t时刻存储器的连接,表示为![]()
这些记忆被通过一个神经网络,获得注意力系数
![]()
应用softmax在Da的输出层,允许调高系数对![]()
DMAN的输出是

3.Multi-view Gated Memory
DMAN输出
作为输入通过神经网络
![]()
r1表示记住多少多视图门控存储器的当前状态,r2表示根据更新建议ut更新多少多视图门控存储器
![]()
r1和r2各有一个神经网络控制
MFN输出:
![]()
版权声明:本文为weixin_41988545原创文章,遵循CC 4.0 BY-SA版权协议,转载请附上原文出处链接和本声明。