
PID控制
PID( Proportional Integral Derivative)控制是最早发展起来的控制策略之一,由于其算法简单、鲁棒性好和可靠性高,被广泛应用于工业过程控制,尤其适用于可建立精确数学模型的确定性控制系统。
PID控制器就是根据系统的误差,利用比例、积分、微分计算出控制量进行控制的。从信号变换的角度而言,超前校正、滞后校正、滞后-超前校正可以总结为比例、积分、微分三种运算及其组合。
实际应用中也有PI和PD控制。当控制系统中被控对象的结构和参数不能完全掌握,或得不到精确的数学模型时,控制理论的其它技术难以采用时,系统控制器的结构和参数必须依靠经验和现场调试来确定,这时应用PID控制技术最为方便。


PID控制,就是对偏差进行比例、积分和微分的控制。任何闭环控制系统的首要任务是要稳(稳定)、快(快速)、准(准确)的响应命令。PID控制的主要工作就是如何实现这一任务。
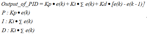
完整PID由3个单元组成,分别是比例(P)单元、积分(I)单元、微分(D)单位。
来人!上公式!

怎么样,看到这里是不是懵了?
让我们慢慢了解每一项都是干啥的!
比例项P
提高响应速度
快速减小静差
增大比例系数P将加快系统的响应,它的作用于输出值较快,但不能很好稳定在一个理想的数值,不良的结果是虽较能有效的克服扰动的影响,但有余差出现,过大的比例系数会使系统有比较大的超调,并产生振荡,使稳定性变坏。
积分项I
消除稳态误差
积分控制器就要将偏差随时间不断累积起来,也就是积分累积的快慢与偏差e的大小和积分速度成正比。只要有偏差e存在,积分控制器的输出就要改变,也就是说积分总是起作用的,只有偏差不存在时,积分才会停止。所以说积分项能够消除由于比例项产生的余差,它能对稳定后有累积误差的系统进行误差修整,减小稳态误差。
微分项D
使系统的响应速度变快,超调减小,振荡减轻
对动态过程有“预测”作用。
微分项反映偏差信号的变化趋势,并能在偏差信号变得太大之前,在系统中引入一个有效的早期修正信号,从而加快系统的动作速度,减少调节时间。在微分控制中,控制器的输出与输入误差信号的微分(即误差的变化率)成正比关系。
一般的控制系统,不仅对稳定控制有要求,而且对动态指标也有要求,通常都要求负载变化或给定调整等引起扰动后,恢复到稳态的速度要快,因此光有比例和积分调节作用还不能完全满足要求,必须引入微分作用。比例作用和积分作用是事后调节(即发生误差后才进行调节),而微分作用则是事前预防控制,即一发现y(t)有变大或变小的趋势,马上就输出一个阻止其变化的控制信号,以防止出现过冲或超调等。微分作用过强,则可能由于变化太快而由其自身引起振荡,使控制器输出中产生明显的“尖峰”或“突跳”。
综上所述
P—比例控制系统的响应快速性,快速作用于输出,好比"现在"(现在就起作用,快)。
I—积分控制系统的准确性,消除过去的累积误差,好比"过去"(清除过去积怨,回到准确轨道)。
D—微分控制系统的稳定性,具有超前控制作用,好比"未来"(放眼未来,未雨绸缪,稳定才能发展)。
(当然这个结论也不可一概而论,只是想让初学者更加快速的理解PID的作用。)
本文仅仅对PID控制算法的作基本介绍,对于初学者起到一定的启蒙作用。
希望各位初学者在基本了解PID算法的作用之后,不必拘礼于枯燥的算法理论研究,动手去做一个实际的小项目。
最后祝大家好运!
本资料由互联网整理仅作学习使用,不作商用
如有侵权,请联系删除

内容 / AL俱乐部
排版设计 / AL运营部
封面 / AL运营部

