Pmsm在旋转坐标系的数学模型
坐标变换


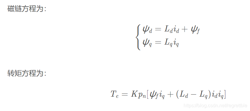
dq轴电压方程


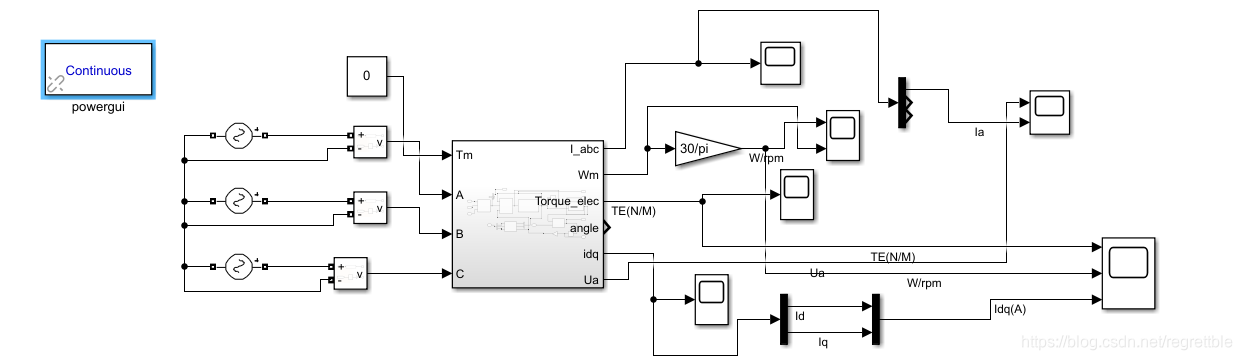
整体模型


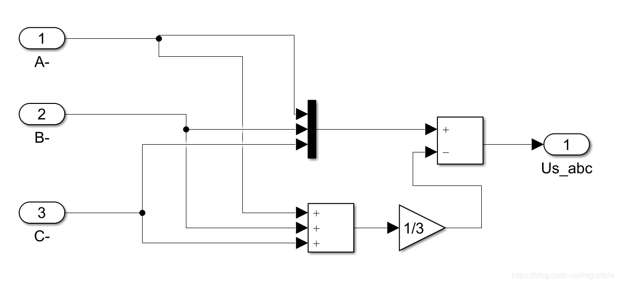
电压计算模块

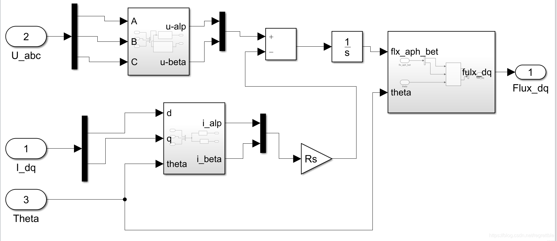
dq轴磁链计算

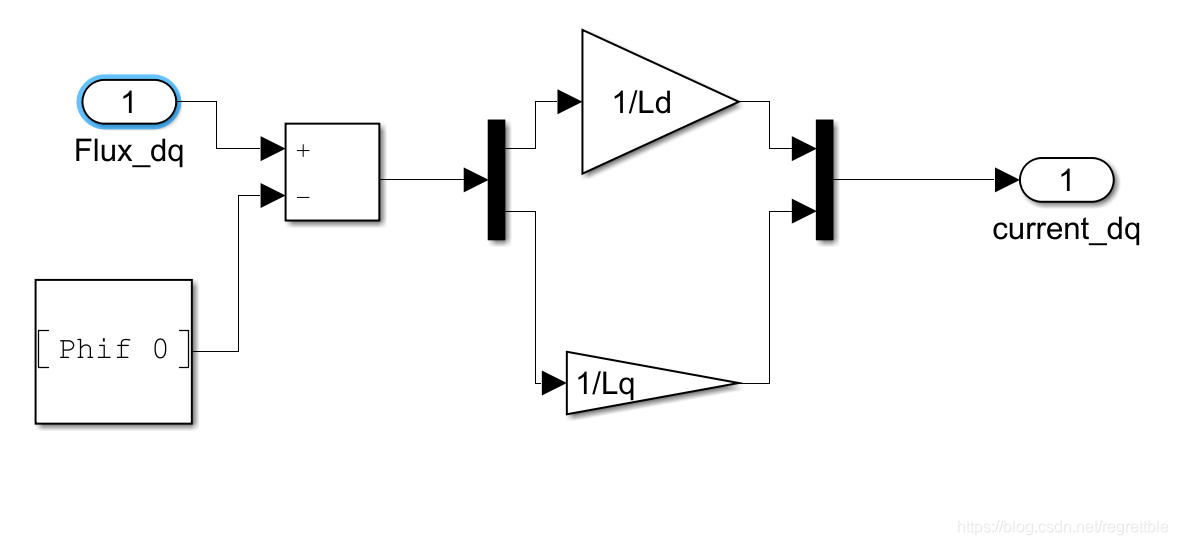
d,q轴电流

转距计算
转速计算

仿真结果

因为转动惯量较小,转速迅速跟随同步转速*
顺利启动。
A相电流与电压波形

模型链接https://download.csdn.net/download/regrettble/20704703?spm=1001.2014.3001.5503
版权声明:本文为regrettble原创文章,遵循CC 4.0 BY-SA版权协议,转载请附上原文出处链接和本声明。