1. 交叉熵
对于以下二次代价函数:
t表示真实标签,y表示网络的预测值。
对其求导:
W是权值,X为网络的输入。
f’(z)与w相关。激活函数的梯度f’(z)越大,w的大小调整得越快,训练收敛得就越快。激活函数的梯度f’(z)越小,w的大小调整得越慢,训练收敛得就越慢。
以一个二分类问题为例,进行两组实验。输入同一个样本数据x=1.0,该样本对应 的分类为y=0,使用sigmoid激活函数。

对于上面一个实验,sigmoid函数y=0.82对应的导数较大,而下面一个实验,y=0.98对应的导数较小:

这样导致下面一个实验训练效果不好。
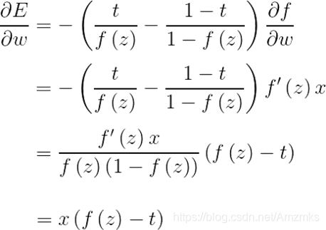
换一个思路,我们不改变激活函数,而是改变代价函数,用交叉熵代价函数:

其中,t表示正确的标签,y表示网络的预测值。

对于sigmoid激活函数:
![]()
当网络的真实值和预测值越接近,交叉熵E的值越小(接近于0);反之,则接近无穷大。
例1:使用交叉熵代价函数实现MNIST案例。
from torch import nn, optim
from torchvision import datasets, transforms
from torch.utils.data import DataLoader
import torch
# 训练集
train_dataset = datasets.MNIST(root='./',
train=True,
transform=transforms.ToTensor(),
download=True)
# 测试集
test_dataset = datasets.MNIST(root='./',
train=False,
transform=transforms.ToTensor(),
download=True)
# 批次大小
batch_size = 64
# 装载训练集
train_loader = DataLoader(dataset=train_dataset,
batch_size=batch_size,
shuffle=True)
# 装载训练集
test_loader = DataLoader(dataset=test_dataset,
batch_size=batch_size,
shuffle=True)
for i, data in enumerate(train_loader):
inputs, labels = data
print(inputs.shape)
print(labels.shape)
break
# 定义网络结构
class Net(nn.Module):
def __init__(self):
super(Net, self).__init__()
self.fc1 = nn.Linear(784, 10)
self.softmax = nn.Softmax(dim=1)
def forward(self, x):
# ([64, 1, 28, 28])->(64,784)
x = x.view(x.size()[0], -1)
x = self.fc1(x)
x = self.softmax(x)
return x
LR = 0.5
# 定义模型
model = Net()
# 定义代价函数
# 修改1 代价函数使用交叉熵
mse_loss = nn.CrossEntropyLoss()
# 定义优化器
optimizer = optim.SGD(model.parameters(), LR)
def train():
for i, data in enumerate(train_loader):
# 获得一个批次的数据和标签
inputs, labels = data
# 获得模型预测结果(64,10)
out = model(inputs)
# 修改2 交叉熵本来就是(64,10)不需要one-hot
# 交叉熵代价函数out(batch,C), labels(batch)
loss = mse_loss(out, labels)
# 梯度清0
optimizer.zero_grad()
# 计算梯度
loss.backward()
# 修改权值
optimizer.step()
def test():
correct = 0
for i, data in enumerate(test_loader):
# 获得一个批次的数据和标签
inputs, labels = data
# 获得模型预测结果(64,10)
out = model(inputs)
# 获得最大值,以及最大值所在的位置
_, predicted = torch.max(out, 1)
# 预测正确的数量
correct += (predicted == labels).sum()
print("Test acc:{0}".format(correct.item() / len(test_dataset)))
for epoch in range(10):
print('epoch:', epoch)
train()
test()
输出:
torch.Size([64, 1, 28, 28])
torch.Size([64])
epoch: 0
Test acc:0.9051
epoch: 1
Test acc:0.9125
epoch: 2
Test acc:0.9172
epoch: 3
Test acc:0.919
epoch: 4
Test acc:0.9209
epoch: 5
Test acc:0.9216
epoch: 6
Test acc:0.924
epoch: 7
Test acc:0.9237
epoch: 8
Test acc:0.9244
epoch: 9
Test acc:0.9252
2. 对抗过拟合的方法
1)增大数据集
数据挖掘领域存在这样一句话,“有时候拥有更多的数据胜过一个好的模型”。一般来说更多的数据参与训练,训练得到的模型就越好。如果数据太少,而我们构建的神经网络又太复杂的话就比较容易产生过拟合的现象。
2)Early stopping
在训练模型的时候,我们往往会设置一个比较大的迭代次数。Early stopping便是一种提前结束训练的策略用来防止过拟合。一般的做法是记录到目前为止最好的validation accuracy,当连续10个epoch没有达到最佳accuracy时,则可以认为accuracy不再提高了。此时便可以停止迭代了。
3)正则化
L1正则化:

L2正则化:

其中,C0代表原始的代价函数,n代表样本的个数,λ就是正则项系数,权衡正则项与C0项的比重。
L1正则化可以达到模型参数稀疏化的效果;L2正则化可以使得模型的权值衰减,使模型参数值都接近于0。
4)Dropout
左图是一个完整的神经网络结构。如右图,在训练时,每次训练随机选取一定比例的一些神经元不参与训练。在测试阶段时,所有神经元都工作。

例2:对MNIST案例使用Dropout。
from torch import nn, optim
from torchvision import datasets, transforms
from torch.utils.data import DataLoader
import torch
# 训练集
train_dataset = datasets.MNIST(root='./',
train=True,
transform=transforms.ToTensor(),
download=True)
# 测试集
test_dataset = datasets.MNIST(root='./',
train=False,
transform=transforms.ToTensor(),
download=True)
# 批次大小
batch_size = 64
# 装载训练集
train_loader = DataLoader(dataset=train_dataset,
batch_size=batch_size,
shuffle=True)
# 装载训练集
test_loader = DataLoader(dataset=test_dataset,
batch_size=batch_size,
shuffle=True)
for i, data in enumerate(train_loader):
inputs, labels = data
print(inputs.shape)
print(labels.shape)
break
# 定义网络结构
class Net(nn.Module):
def __init__(self):
super(Net, self).__init__()
# 修改1 定义多层网络结构
self.layer1 = nn.Sequential(nn.Linear(784, 500), nn.Dropout(p=0.5), nn.Tanh())
self.layer2 = nn.Sequential(nn.Linear(500, 300), nn.Dropout(p=0.5), nn.Tanh())
self.layer3 = nn.Sequential(nn.Linear(300, 10), nn.Softmax(dim=1))
def forward(self, x):
# ([64, 1, 28, 28])->(64,784)
x = x.view(x.size()[0], -1)
x = self.layer1(x)
x = self.layer2(x)
x = self.layer3(x)
return x
LR = 0.5
# 定义模型
model = Net()
# 定义代价函数
mse_loss = nn.CrossEntropyLoss()
# 定义优化器
optimizer = optim.SGD(model.parameters(), LR)
def train():
# 修改2 增加训练状态和测试状态
# 训练状态
model.train()
for i, data in enumerate(train_loader):
# 获得一个批次的数据和标签
inputs, labels = data
# 获得模型预测结果(64,10)
out = model(inputs)
# 交叉熵代价函数out(batch,C), labels(batch)
loss = mse_loss(out, labels)
# 梯度清0
optimizer.zero_grad()
# 计算梯度
loss.backward()
# 修改权值
optimizer.step()
def test():
# 测试状态
model.eval()
correct = 0
for i, data in enumerate(test_loader):
# 获得一个批次的数据和标签
inputs, labels = data
# 获得模型预测结果(64,10)
out = model(inputs)
# 获得最大值,以及最大值所在的位置
_, predicted = torch.max(out, 1)
# 预测正确的数量
correct += (predicted == labels).sum()
print("Test acc:{0}".format(correct.item() / len(test_dataset)))
correct = 0
for i, data in enumerate(train_loader):
# 获得一个批次的数据和标签
inputs, labels = data
# 获得模型预测结果(64,10)
out = model(inputs)
# 获得最大值,以及最大值所在的位置
_, predicted = torch.max(out, 1)
# 预测正确的数量
correct += (predicted == labels).sum()
print("Train acc:{0}".format(correct.item() / len(train_dataset)))
for epoch in range(20):
print('epoch:', epoch)
train()
test()
输出:
torch.Size([64, 1, 28, 28])
torch.Size([64])
epoch: 0
Test acc:0.9158
Train acc:0.91435
epoch: 1
Test acc:0.9307
Train acc:0.9320166666666667
epoch: 2
Test acc:0.941
Train acc:0.9416666666666667
epoch: 3
Test acc:0.944
Train acc:0.9472333333333334
epoch: 4
Test acc:0.9441
Train acc:0.9479
epoch: 5
Test acc:0.9481
Train acc:0.9518166666666666
epoch: 6
Test acc:0.9505
Train acc:0.9539833333333333
epoch: 7
Test acc:0.9552
Train acc:0.96085
epoch: 8
Test acc:0.9547
Train acc:0.9610166666666666
epoch: 9
Test acc:0.9593
Train acc:0.9651333333333333
epoch: 10
Test acc:0.96
Train acc:0.9656
epoch: 11
Test acc:0.9593
Train acc:0.9657
epoch: 12
Test acc:0.9628
Train acc:0.9690833333333333
epoch: 13
Test acc:0.962
Train acc:0.96905
epoch: 14
Test acc:0.9614
Train acc:0.9696833333333333
epoch: 15
Test acc:0.9626
Train acc:0.9714
epoch: 16
Test acc:0.9666
Train acc:0.97395
epoch: 17
Test acc:0.9656
Train acc:0.9736666666666667
epoch: 18
Test acc:0.9677
Train acc:0.9749333333333333
epoch: 19
Test acc:0.9634
Train acc:0.9722
例3:对MNIST案例使用正则化。
from torch import nn, optim
from torchvision import datasets, transforms
from torch.utils.data import DataLoader
import torch
# 训练集
train_dataset = datasets.MNIST(root='./',
train=True,
transform=transforms.ToTensor(),
download=True)
# 测试集
test_dataset = datasets.MNIST(root='./',
train=False,
transform=transforms.ToTensor(),
download=True)
# 批次大小
batch_size = 64
# 装载训练集
train_loader = DataLoader(dataset=train_dataset,
batch_size=batch_size,
shuffle=True)
# 装载训练集
test_loader = DataLoader(dataset=test_dataset,
batch_size=batch_size,
shuffle=True)
for i, data in enumerate(train_loader):
inputs, labels = data
print(inputs.shape)
print(labels.shape)
break
# 定义网络结构
class Net(nn.Module):
def __init__(self):
super(Net, self).__init__()
self.layer1 = nn.Sequential(nn.Linear(784, 500), nn.Dropout(p=0.5), nn.Tanh())
self.layer2 = nn.Sequential(nn.Linear(500, 300), nn.Dropout(p=0.5), nn.Tanh())
self.layer3 = nn.Sequential(nn.Linear(300, 10), nn.Softmax(dim=1))
def forward(self, x):
# ([64, 1, 28, 28])->(64,784)
x = x.view(x.size()[0], -1)
x = self.layer1(x)
x = self.layer2(x)
x = self.layer3(x)
return x
LR = 0.5
# 定义模型
model = Net()
# 定义代价函数
mse_loss = nn.CrossEntropyLoss()
# 定义优化器
# 修改1 设置L2正则化
optimizer = optim.SGD(model.parameters(), LR, weight_decay=0.001)
def train():
# 训练状态
model.train()
for i, data in enumerate(train_loader):
# 获得一个批次的数据和标签
inputs, labels = data
# 获得模型预测结果(64,10)
out = model(inputs)
# 交叉熵代价函数out(batch,C), labels(batch)
loss = mse_loss(out, labels)
# 梯度清0
optimizer.zero_grad()
# 计算梯度
loss.backward()
# 修改权值
optimizer.step()
def test():
# 测试状态
model.eval()
correct = 0
for i, data in enumerate(test_loader):
# 获得一个批次的数据和标签
inputs, labels = data
# 获得模型预测结果(64,10)
out = model(inputs)
# 获得最大值,以及最大值所在的位置
_, predicted = torch.max(out, 1)
# 预测正确的数量
correct += (predicted == labels).sum()
print("Test acc:{0}".format(correct.item() / len(test_dataset)))
correct = 0
for i, data in enumerate(train_loader):
# 获得一个批次的数据和标签
inputs, labels = data
# 获得模型预测结果(64,10)
out = model(inputs)
# 获得最大值,以及最大值所在的位置
_, predicted = torch.max(out, 1)
# 预测正确的数量
correct += (predicted == labels).sum()
print("Train acc:{0}".format(correct.item() / len(train_dataset)))
for epoch in range(20):
print('epoch:', epoch)
train()
test()
输出:
torch.Size([64, 1, 28, 28])
torch.Size([64])
epoch: 0
Test acc:0.9054
Train acc:0.9047
epoch: 1
Test acc:0.9092
Train acc:0.90675
epoch: 2
Test acc:0.9217
Train acc:0.9200166666666667
epoch: 3
Test acc:0.9277
Train acc:0.9266333333333333
epoch: 4
Test acc:0.9229
Train acc:0.9228166666666666
epoch: 5
Test acc:0.9233
Train acc:0.9235166666666667
epoch: 6
Test acc:0.9341
Train acc:0.93375
epoch: 7
Test acc:0.9297
Train acc:0.9309166666666666
epoch: 8
Test acc:0.9351
Train acc:0.9361166666666667
epoch: 9
Test acc:0.9371
Train acc:0.93655
epoch: 10
Test acc:0.9297
Train acc:0.9316833333333333
epoch: 11
Test acc:0.9256
Train acc:0.9251
epoch: 12
Test acc:0.9313
Train acc:0.9309833333333334
epoch: 13
Test acc:0.9316
Train acc:0.9334333333333333
epoch: 14
Test acc:0.932
Train acc:0.93285
epoch: 15
Test acc:0.9323
Train acc:0.9362666666666667
epoch: 16
Test acc:0.9296
Train acc:0.9271666666666667
epoch: 17
Test acc:0.9306
Train acc:0.9311166666666667
epoch: 18
Test acc:0.9295
Train acc:0.9318
epoch: 19
Test acc:0.9332
Train acc:0.9335333333333333