极零点概念
零点:当系统输入幅度不为零且输入频率使系统输出为零时,此输入频率值即为零点。
极点:当系统输入幅度不为零且输入频率使系统输出为无穷大(系统稳定破坏,发生振荡)时,此频率值即为极点。
每一个极点之处,增益衰减-3db,并移相-45度。极点之后每十倍频,增益下降20db.
零点与极点相反;每一个零点之处,增益增加3db,并移相45度。零点之后,每十倍频,增益增加20db。
极点

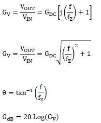
公式:

Pole Location = fP (cutoff freq)
Magnitude (f < fP) = GDC (for example, 100 dB)
Magnitude (f = fP) = –3 dB
Magnitude (f > fP) = –20 dB/decade
Phase (f = –45°)
Phase (0.1 fP < f < 10 fP) = –45°/decade
Phase (f > 10 fP) = –90°
Phase (f < 0.1 fP) = 0°
零点


Zero location = fZ
Magnitude (f < fZ) = 0 dB
Magnitude (f = fZ) = +3 dB
Magnitude (f > fZ) = +20 dB/decade
Phase (f = fZ) = +45°
Phase (0.1 fZ < f < 10 fZ) = +45°/decade
Phase (f > 10 fZ) = +90°
Phase (f < 0.1 fZ) = 0°
版权声明:本文为weixin_42664351原创文章,遵循CC 4.0 BY-SA版权协议,转载请附上原文出处链接和本声明。