《剑指 Offer(第 2 版)》系列
本书精选谷歌、微软等知名 IT 企业的典型面试题,系统地总结了如何在面试时写出高质量代码,如何优化代码效率,以及分析、解决难题的常用方法。
题解
以下所有题目均来源 LeetCode 中国官网,题解由 doocs/leetcode 贡献者 提供,正在完善中,欢迎贡献你的题解!
快速搜索题号、题解、标签等,请善用 Control+F(或者 Command+F)。
面试题 03. 数组中重复的数字
题目描述
找出数组中重复的数字。
在一个长度为 n 的数组 nums 里的所有数字都在 0 ~ n-1 的范围内。数组中某些数字是重复的,但不知道有几个数字重复了,也不知道每个数字重复了几次。请找出数组中任意一个重复的数字。
示例 1:
输入:
[2, 3, 1, 0, 2, 5, 3]
输出:2 或 3
限制:
2 <= n <= 100000
解法
0 ~ n-1 范围内的数,分别还原到对应的位置上,如:数字 2 交换到下标为 2 的位置。
若交换过程中发现重复,则直接返回。
Java
class Solution {
public int findRepeatNumber(int[] nums) {
for (int i = 0, n = nums.length; i < n; ++i) {
while (nums[i] != i) {
if (nums[i] == nums[nums[i]]) return nums[i];
swap(nums, i, nums[i]);
}
}
return -1;
}
private void swap(int[] nums, int i, int j) {
int t = nums[i];
nums[i] = nums[j];
nums[j] = t;
}
}
面试题 04. 二维数组中的查找
题目描述
在一个 n * m 的二维数组中,每一行都按照从左到右递增的顺序排序,每一列都按照从上到下递增的顺序排序。请完成一个函数,输入这样的一个二维数组和一个整数,判断数组中是否含有该整数。
示例:
现有矩阵 matrix 如下:
[
[1, 4, 7, 11, 15],
[2, 5, 8, 12, 19],
[3, 6, 9, 16, 22],
[10, 13, 14, 17, 24],
[18, 21, 23, 26, 30]
]
给定 target = 5,返回 true。
给定 target = 20,返回 false。
限制:
0 <= n <= 10000 <= m <= 1000
解法
从左下角(或右上角)开始查找即可。
Java
class Solution {
public boolean findNumberIn2DArray(int[][] matrix, int target) {
int m, n;
if (matrix == null || (m = matrix.length) == 0 || matrix[0] == null || (n = matrix[0].length) == 0) return false;
int i = 0, j = n - 1;
while (i < m && j >= 0) {
if (matrix[i][j] == target) return true;
if (matrix[i][j] > target) --j;
else ++i;
}
return false;
}
}
面试题 05. 替换空格
题目描述
请实现一个函数,把字符串 s 中的每个空格替换成"%20"。
示例 1:
输入:s = "We are happy."
输出:"We%20are%20happy."
限制:
0 <= s 的长度 <= 10000
解法
使用 replace 替换即可。
Java
- 使用 replace:
class Solution {
public String replaceSpace(String s) {
return s.replaceAll(" ", "%20");
}
}
- 使用 StringBuilder:
class Solution {
public String replaceSpace(String s) {
StringBuilder sb = new StringBuilder();
char[] chars = s.toCharArray();
for (char c : chars) {
sb.append(c == ' ' ? "%20" : c);
}
return sb.toString();
}
}
面试题 06. 从尾到头打印链表
题目描述
输入一个链表的头节点,从尾到头反过来返回每个节点的值(用数组返回)。
示例 1:
输入:head = [1,3,2]
输出:[2,3,1]
限制:
0 <= 链表长度 <= 10000
解法
栈实现。或者其它方式,见题解。
Java
- 栈实现:
/**
* Definition for singly-linked list.
* public class ListNode {
* int val;
* ListNode next;
* ListNode(int x) { val = x; }
* }
*/
class Solution {
public int[] reversePrint(ListNode head) {
Stack<Integer> s = new Stack<>();
while (head != null) {
s.push(head.val);
head = head.next;
}
int[] res = new int[s.size()];
int i = 0;
while (!s.isEmpty()) {
res[i++] = s.pop();
}
return res;
}
}
- 先计算链表长度 n,然后创建一个长度为 n 的结果数组。最后遍历链表,依次将节点值存放在数组上(从后往前)。
/**
* Definition for singly-linked list.
* public class ListNode {
* int val;
* ListNode next;
* ListNode(int x) { val = x; }
* }
*/
class Solution {
public int[] reversePrint(ListNode head) {
if (head == null) return new int[]{};
// 计算链表长度n
int n = 0;
ListNode cur = head;
while (cur != null) {
++n;
cur = cur.next;
}
int[] res = new int[n];
cur = head;
while (cur != null) {
res[--n] = cur.val;
cur = cur.next;
}
return res;
}
}
面试题 07. 重建二叉树
题目描述
输入某二叉树的前序遍历和中序遍历的结果,请重建该二叉树。假设输入的前序遍历和中序遍历的结果中都不含重复的数字。
例如,给出
前序遍历 preorder = [3,9,20,15,7]
中序遍历 inorder = [9,3,15,20,7]
返回如下的二叉树:
3
/ \
9 20
/ \
15 7
限制:
0 <= 节点个数 <= 5000
解法
Java
/**
* Definition for a binary tree node.
* public class TreeNode {
* int val;
* TreeNode left;
* TreeNode right;
* TreeNode(int x) { val = x; }
* }
*/
class Solution {
private Map<Integer, Integer> indexes = new HashMap<>();
public TreeNode buildTree(int[] preorder, int[] inorder) {
int n = inorder.length;
for (int i = 0; i < n; ++i) {
indexes.put(inorder[i], i);
}
return build(preorder, inorder, 0, n - 1, 0, n - 1);
}
private TreeNode build(int[] preorder, int[] inorder, int p1, int p2, int i1, int i2) {
if (p1 > p2 || i1 > i2) return null;
int rootVal = preorder[p1];
int pos = indexes.get(rootVal);
TreeNode node = new TreeNode(rootVal);
node.left = pos == i1 ? null : build(preorder, inorder, p1 + 1, pos - i1 + p1, i1, pos - 1);
node.right = pos == i2 ? null : build(preorder, inorder, pos - i1 + p1 + 1, p2, pos + 1, i2);
return node;
}
}
面试题 09. 用两个栈实现队列
题目描述
用两个栈实现一个队列。队列的声明如下,请实现它的两个函数 appendTail 和 deleteHead ,分别完成在队列尾部插入整数和在队列头部删除整数的功能。(若队列中没有元素,deleteHead 操作返回 -1 )
示例 1:
输入:
["CQueue","appendTail","deleteHead","deleteHead"]
[[],[3],[],[]]
输出:[null,null,3,-1]
示例 2:
输入:
["CQueue","deleteHead","appendTail","appendTail","deleteHead","deleteHead"]
[[],[],[5],[2],[],[]]
输出:[null,-1,null,null,5,2]
提示:
1 <= values <= 10000最多会对 appendTail、deleteHead 进行 10000 次调用
解法
Java
class CQueue {
private Deque<Integer> s1;
private Deque<Integer> s2;
public CQueue() {
s1 = new ArrayDeque<>();
s2 = new ArrayDeque<>();
}
public void appendTail(int value) {
s1.push(value);
if (s2.isEmpty()) {
move();
}
}
public int deleteHead() {
if (s2.isEmpty()) {
move();
}
return s2.isEmpty() ? -1 : s2.pop();
}
private void move() {
while (!s1.isEmpty()) {
s2.push(s1.pop());
}
}
}
/**
* Your CQueue object will be instantiated and called as such:
* CQueue obj = new CQueue();
* obj.appendTail(value);
* int param_2 = obj.deleteHead();
*/
面试题 10- I. 斐波那契数列
题目描述
写一个函数,输入 n ,求斐波那契(Fibonacci)数列的第 n 项。斐波那契数列的定义如下:
F(0) = 0, F(1) = 1
F(N) = F(N - 1) + F(N - 2), 其中 N > 1.
斐波那契数列由 0 和 1 开始,之后的斐波那契数就是由之前的两数相加而得出。
答案需要取模 1e9+7(1000000007),如计算初始结果为:1000000008,请返回 1。
示例 1:
输入:n = 2
输出:1
示例 2:
输入:n = 5
输出:5
提示:
0 <= n <= 100
解法
递推求解。
面试题 10- II. 青蛙跳台阶问题
题目描述
一只青蛙一次可以跳上 1 级台阶,也可以跳上 2 级台阶。求该青蛙跳上一个 n 级的台阶总共有多少种跳法。
答案需要取模 1e9+7(1000000007),如计算初始结果为:1000000008,请返回 1。
示例 1:
输入:n = 2
输出:2
示例 2:
输入:n = 7
输出:21
提示:
0 <= n <= 100
解法
青蛙想上第 n 级台阶,可从第 n-1 级台阶跳一级上去,也可从第 n-2 级台阶跳两级上去,即:f(n) = f(n-1) + f(n-2)。递推求解即可。
面试题 11. 旋转数组的最小数字
题目描述
把一个数组最开始的若干个元素搬到数组的末尾,我们称之为数组的旋转。输入一个递增排序的数组的一个旋转,输出旋转数组的最小元素。例如,数组 [3,4,5,1,2] 为 [1,2,3,4,5] 的一个旋转,该数组的最小值为 1。
示例 1:
输入:[3,4,5,1,2]
输出:1
示例 2:
输入:[2,2,2,0,1]
输出:0
解法
Java
class Solution {
public int minArray(int[] numbers) {
int l = 0, r = numbers.length - 1;
while (l < r) {
int m = l + ((r - l) >> 1);
if (numbers[m] > numbers[r]) {
l = m + 1;
} else if (numbers[m] < numbers[r]) {
r = m;
} else {
--r;
}
}
return numbers[l];
}
}
面试题 12. 矩阵中的路径
题目描述
请设计一个函数,用来判断在一个矩阵中是否存在一条包含某字符串所有字符的路径。路径可以从矩阵中的任意一格开始,每一步可以在矩阵中向左、右、上、下移动一格。如果一条路径经过了矩阵的某一格,那么该路径不能再次进入该格子。例如,在下面的 3×4 的矩阵中包含一条字符串“bfce”的路径(路径中的字母用加粗标出)。
[["a","b","c","e"],
["s","f","c","s"],
["a","d","e","e"]]
但矩阵中不包含字符串“abfb”的路径,因为字符串的第一个字符 b 占据了矩阵中的第一行第二个格子之后,路径不能再次进入这个格子。
示例 1:
输入:board = [["A","B","C","E"],["S","F","C","S"],["A","D","E","E"]], word = "ABCCED"
输出:true
示例 2:
输入:board = [["a","b"],["c","d"]], word = "abcd"
输出:false
提示:
1 <= board.length <= 2001 <= board[i].length <= 200
解法
深度优先搜索 DFS 解决。
Java
class Solution {
private boolean[][] visited;
public boolean exist(char[][] board, String word) {
int m = board.length, n = board[0].length;
visited = new boolean[m][n];
char[] chars = word.toCharArray();
for (int i = 0; i < m; ++i) {
for (int j = 0; j < n; ++j) {
boolean res = dfs(board, i, j, chars, 0);
if (res) return true;
}
}
return false;
}
private boolean dfs(char[][] board, int i, int j, char[] chars, int cur) {
if (cur == chars.length) return true;
if (i < 0 || i >= board.length || j < 0 || j >= board[0].length) return false;
if (visited[i][j] || board[i][j] != chars[cur]) return false;
visited[i][j] = true;
int next = cur + 1;
boolean res = dfs(board, i + 1, j, chars, next)
|| dfs(board, i - 1, j, chars, next)
|| dfs(board, i, j + 1, chars, next)
|| dfs(board, i, j - 1, chars, next);
visited[i][j] = false;
return res;
}
}
面试题 13. 机器人的运动范围
题目描述
地上有一个 m 行 n 列的方格,从坐标 [0,0] 到坐标 [m-1,n-1] 。一个机器人从坐标 [0, 0] 的格子开始移动,它每次可以向左、右、上、下移动一格(不能移动到方格外),也不能进入行坐标和列坐标的数位之和大于 k 的格子。例如,当 k 为 18 时,机器人能够进入方格 [35, 37] ,因为 3+5+3+7=18。但它不能进入方格 [35, 38],因为 3+5+3+8=19。请问该机器人能够到达多少个格子?
示例 1:
输入:m = 2, n = 3, k = 1
输出:3
示例 2:
输入:m = 3, n = 1, k = 0
输出:1
提示:
1 <= n,m <= 1000 <= k <= 20
解法
深度优先搜索 DFS 实现。
Java
class Solution {
private int m;
private int n;
private boolean[][] visited;
private int cnt;
public int movingCount(int m, int n, int k) {
visited = new boolean[m][n];
this.m = m;
this.n = n;
cnt = 0;
dfs(0, 0, k);
return cnt;
}
private void dfs(int i, int j, int k) {
if (i < 0 || i >= m || j < 0 || j >= n || visited[i][j] || cal(i, j) > k) return;
++cnt;
visited[i][j] = true;
dfs(i + 1, j, k);
dfs(i - 1, j, k);
dfs(i, j + 1, k);
dfs(i, j - 1, k);
}
private int cal(int i, int j) {
int res = 0;
while (i != 0) {
res += (i % 10);
i /= 10;
}
while (j != 0) {
res += (j % 10);
j /= 10;
}
return res;
}
}
面试题 14- I. 剪绳子
题目描述
给你一根长度为 n 的绳子,请把绳子剪成整数长度的 m 段(m、n 都是整数,n>1 并且 m>1),每段绳子的长度记为 k[0],k[1]...k[m-1] 。请问 k[0]*k[1]*...*k[m-1] 可能的最大乘积是多少?例如,当绳子的长度是 8 时,我们把它剪成长度分别为 2、3、3 的三段,此时得到的最大乘积是 18。
示例 1:
输入: 2
输出: 1
解释: 2 = 1 + 1, 1 × 1 = 1
示例 2:
输入: 10
输出: 36
解释: 10 = 3 + 3 + 4, 3 × 3 × 4 = 36
提示:
2 <= n <= 58
解法
尽可能将绳子以长度 3 等分剪为多段时,乘积最大。
Java
class Solution {
public int cuttingRope(int n) {
if (n < 4) return n - 1;
int res = 1;
while (n > 4) {
res *= 3;
n -= 3;
}
if (n == 4) return res << 2;
return res * n;
}
}
面试题 14- II. 剪绳子 II
题目描述
给你一根长度为 n 的绳子,请把绳子剪成整数长度的 m 段(m、n 都是整数,n>1 并且 m>1),每段绳子的长度记为 k[0],k[1]...k[m-1] 。请问 k[0]*k[1]*...*k[m-1] 可能的最大乘积是多少?例如,当绳子的长度是 8 时,我们把它剪成长度分别为 2、3、3 的三段,此时得到的最大乘积是 18。
答案需要取模 1e9+7(1000000007),如计算初始结果为:1000000008,请返回 1。
示例 1:
输入: 2
输出: 1
解释: 2 = 1 + 1, 1 × 1 = 1
示例 2:
输入: 10
输出: 36
解释: 10 = 3 + 3 + 4, 3 × 3 × 4 = 36
提示:
2 <= n <= 1000
解法
Java
class Solution {
public int cuttingRope(int n) {
if (n < 4) {
return n - 1;
}
int s1 = n / 3;
int m = n % 3;
if (m == 1) {
s1 -= 1;
m = 4;
}
long res = 1;
while (s1-- > 0) {
res *= 3;
res %= 1000000007;
}
return (int) ((res * (m == 0 ? 1 : m)) % 1000000007);
}
}
面试题 15. 二进制中 1 的个数
题目描述
请实现一个函数,输入一个整数,输出该数二进制表示中 1 的个数。例如,把 9 表示成二进制是 1001,有 2 位是 1。因此,如果输入 9,则该函数输出 2。
示例 1:
输入:00000000000000000000000000001011
输出:3
解释:输入的二进制串 00000000000000000000000000001011 中,共有三位为 '1'。
示例 2:
输入:00000000000000000000000010000000
输出:1
解释:输入的二进制串 00000000000000000000000010000000 中,共有一位为 '1'。
示例 3:
输入:11111111111111111111111111111101
输出:31
解释:输入的二进制串 11111111111111111111111111111101 中,共有 31 位为 '1'。
解法
n & (n - 1) 会消除 n 中最后一位中的 1。
Java
public class Solution {
// you need to treat n as an unsigned value
public int hammingWeight(int n) {
int res = 0;
while (n != 0) {
n &= (n - 1);
++res;
}
return res;
}
}
面试题 16. 数值的整数次方
题目描述
实现函数 double Power(double base, int exponent),求 base 的 exponent 次方。不得使用库函数,同时不需要考虑大数问题。
示例 1:
输入: 2.00000, 10
输出: 1024.00000
示例 2:
输入: 2.10000, 3
输出: 9.26100
示例 3:
输入: 2.00000, -2
输出: 0.25000
解释: 2-2 = 1/22 = 1/4 = 0.25
说明:
-100.0 < x < 100.0- n 是 32 位有符号整数,其数值范围是
[−231, 231 − 1]。
解法
Java
class Solution {
public double myPow(double x, int n) {
if (n == 0) return 1;
if (n == 1) return x;
if (n == -1) return 1 / x;
double half = myPow(x, n / 2);
return half * half * myPow(x, n % 2);
}
}
面试题 17. 打印从 1 到最大的 n 位数
题目描述
输入数字 n,按顺序打印出从 1 到最大的 n 位十进制数。比如输入 3,则打印出 1、2、3 一直到最大的 3 位数 999。
示例 1:
输入: n = 1
输出: [1,2,3,4,5,6,7,8,9]
说明:
- 用返回一个整数列表来代替打印
- n 为正整数
解法
Java
class Solution {
public int[] printNumbers(int n) {
n = (int) Math.pow(10, n) - 1;
int[] res = new int[n];
for (int i = 0; i < n; ++i) {
res[i] = i + 1;
}
return res;
}
}
面试题 18. 删除链表的节点
题目描述
给定单向链表的头指针和一个要删除的节点的值,定义一个函数删除该节点。
返回删除后的链表的头节点。
注意:此题对比原题有改动。
示例 1:
输入: head = [4,5,1,9], val = 5
输出: [4,1,9]
解释: 给定你链表中值为 5 的第二个节点,那么在调用了你的函数之后,该链表应变为 4 -> 1 -> 9.
示例 2:
输入: head = [4,5,1,9], val = 1
输出: [4,5,9]
解释: 给定你链表中值为 1 的第三个节点,那么在调用了你的函数之后,该链表应变为 4 -> 5 -> 9.
说明:
- 题目保证链表中节点的值互不相同
- 若使用 C 或 C++ 语言,你不需要
free或delete被删除的节点
解法
定义一个虚拟头节点 dummy 指向 head,pre 指针初始指向 dummy。
循环遍历链表,pre 往后移动。当指针 pre.next 指向的节点的值等于 val 时退出循环,将 pre.next 指向 pre.next.next,然后返回 dummy.next。
Java
/**
* Definition for singly-linked list.
* public class ListNode {
* int val;
* ListNode next;
* ListNode(int x) { val = x; }
* }
*/
class Solution {
public ListNode deleteNode(ListNode head, int val) {
ListNode dummy = new ListNode(0);
dummy.next = head;
ListNode pre = dummy;
while (pre.next != null && pre.next.val != val) {
pre = pre.next;
}
pre.next = pre.next == null ? null : pre.next.next;
return dummy.next;
}
}
面试题 19. 正则表达式匹配
题目描述
请实现一个函数用来匹配包含'. '和'*'的正则表达式。模式中的字符'.'表示任意一个字符,而'*'表示它前面的字符可以出现任意次(含 0 次)。在本题中,匹配是指字符串的所有字符匹配整个模式。例如,字符串"aaa"与模式"a.a"和"ab*ac*a"匹配,但与"aa.a"和"ab*a"均不匹配。
示例 1:
输入:
s = "aa"
p = "a"
输出: false
解释: "a" 无法匹配 "aa" 整个字符串。
示例 2:
输入:
s = "aa"
p = "a*"
输出: true
解释: 因为 '*' 代表可以匹配零个或多个前面的那一个元素, 在这里前面的元素就是 'a'。因此,字符串 "aa" 可被视为 'a' 重复了一次。
示例 3:
输入:
s = "ab"
p = ".*"
输出: true
解释: ".*" 表示可匹配零个或多个('*')任意字符('.')。
示例 4:
输入:
s = "aab"
p = "c*a*b"
输出: true
解释: 因为 '*' 表示零个或多个,这里 'c' 为 0 个, 'a' 被重复一次。因此可以匹配字符串 "aab"。
示例 5:
输入:
s = "mississippi"
p = "mis*is*p*."
输出: false
s可能为空,且只包含从a-z的小写字母。p可能为空,且只包含从a-z的小写字母,以及字符.和*。
解法
动态规划法,dp[i][j] 表示 s 的前 i 项和 p 的前 j 项是否匹配。
现在如果已知了 dp[i-1][j-1] 的状态,我们该如何确定 dp[i][j] 的状态呢?我们可以分三种情况讨论,其中,前两种情况考虑了所有能匹配的情况,剩下的就是不能匹配的情况了:
s[i] == p[j]orp[j] == '.':比如 abb 和 abb,或者 abb 和 ab. ,很容易得到dp[i][j]=dp[i-1][j-1]= True。因为 ab 和 ab 是匹配的,如果后面分别加一个 b,或者 s 加一个 b 而 p 加一个.,仍然是匹配的。p[j] == '*':当p[j] == '*'时,由于*与前面的字符相关,因此我们比较*前面的字符p[j-1]和s[i]的关系。根据*前面的字符与 s[i] 是否相等,又可分为以下两种情况:p[j-1] != s[i]:如果*前一个字符匹配不上,*匹配了 0 次,应忽略这两个字符,看p[j-2]和s[i]是否匹配。 这时dp[i][j] = dp[i][j-2]。p[j-1] == s[i]orp[j-1] == '.':*前面的字符可以与 s[i] 匹配,这种情况下,*可能匹配了前面的字符的 0 个,也可能匹配了前面字符的多个,当匹配 0 个时,如ab和abb*,或者ab和ab.*,这时我们需要去掉 p 中的b*或.*后进行比较,即dp[i][j] = dp[i][j-2];当匹配多个时,如abbb和ab*,或者abbb和a.*,我们需要将 s[i] 前面的与 p 重新比较,即dp[i][j] = dp[i-1][j]。
- 其他情况:以上两种情况把能匹配的都考虑全面了,所以其他情况为不匹配,即
dp[i][j] = False。
Java
class Solution {
public boolean isMatch(String s, String p) {
int m = s.length() + 1, n = p.length() + 1;
if (n == 1) {
return m == 1;
}
boolean[][] dp = new boolean[m + 1][n + 1];
dp[0][0] = true;
dp[0][1] = false;
for (int j = 1; j < n; ++j) {
if (p.charAt(j - 1) == '*') {
dp[0][j] = dp[0][j - 2];
}
}
for (int i = 1; i < m; ++i) {
for (int j = 1; j < n; ++j) {
if (s.charAt(i - 1) == p.charAt(j - 1) || p.charAt(j - 1) == '.') {
dp[i][j] = dp[i - 1][j - 1];
} else if (p.charAt(j - 1) == '*') {
if (s.charAt(i - 1) == p.charAt(j - 2) || p.charAt(j - 2) == '.') {
dp[i][j] = dp[i][j - 2] || dp[i - 1][j];
} else {
dp[i][j] = dp[i][j - 2];
}
} else {
dp[i][j] = false;
}
}
}
return dp[m - 1][n - 1];
}
}
面试题 20. 表示数值的字符串
题目描述
请实现一个函数用来判断字符串是否表示数值(包括整数和小数)。例如,字符串"+100"、“5e2”、"-123"、“3.1416”、“0123"及”-1E-16"都表示数值,但"12e"、“1a3.14”、“1.2.3”、"±5"及"12e+5.4"都不是。
注意:本题与主站 65 题相同:https://leetcode-cn.com/problems/valid-number/
解法
遍历字符串:
- 出现
+/-时,位置必须是在第 0 位,或者e/E的后面一位 - 出现
.时,在此之前不能出现.或者e/E - 出现
e/E时,前面不能出现e/E,并且必须出现过数字
Java
class Solution {
public boolean isNumber(String s) {
if (s == null || s.trim().length() == 0) {
return false;
}
char[] chars = s.trim().toCharArray();
boolean findNum = false;
boolean findE = false;
boolean findDot = false;
for (int i = 0, n = chars.length; i < n; ++i) {
if (chars[i] == '+' || chars[i] == '-') {
if (i != 0 && chars[i - 1] != 'e' && chars[i - 1] != 'E') {
return false;
}
} else if (chars[i] >= '0' && chars[i] <= '9') {
findNum = true;
} else if (chars[i] == '.') {
if (findDot || findE) {
return false;
}
findDot = true;
} else if (chars[i] == 'e' || chars[i] == 'E') {
if (findE || !findNum) {
return false;
}
findE = true;
findNum = false; // 确保e之后也出现数
} else {
return false;
}
}
return findNum;
}
}
面试题 21. 调整数组顺序使奇数位于偶数前面
题目描述
输入一个整数数组,实现一个函数来调整该数组中数字的顺序,使得所有奇数位于数组的前半部分,所有偶数位于数组的后半部分。
示例:
输入:nums = [1,2,3,4]
输出:[1,3,2,4]
注:[3,1,2,4] 也是正确的答案之一。
提示:
- 1 <= nums.length <= 50000
- 1 <= nums[i] <= 10000
解法
双指针。
Java
class Solution {
public int[] exchange(int[] nums) {
int p = 0, q = nums.length - 1;
while (p < q) {
if ((nums[p] & 1) == 1) {
++p;
continue;
}
if ((nums[q] & 1) == 0) {
--q;
continue;
}
swap(nums, p, q);
}
return nums;
}
private void swap(int[] nums, int p, int q) {
int t = nums[p];
nums[p] = nums[q];
nums[q] = t;
}
}
面试题 22. 链表中倒数第 k 个节点
题目描述
输入一个链表,输出该链表中倒数第 k 个节点。为了符合大多数人的习惯,本题从 1 开始计数,即链表的尾节点是倒数第 1 个节点。例如,一个链表有 6 个节点,从头节点开始,它们的值依次是 1、2、3、4、5、6。这个链表的倒数第 3 个节点是值为 4 的节点。
示例:
给定一个链表: 1->2->3->4->5, 和 k = 2.
返回链表 4->5.
解法
定义快慢指针 slow、fast,初始指向 head。
fast 先向前走 k 步,接着 slow、fast 同时向前走,当 fast 指向 null 时,slow 指向的节点即为链表的倒数第 k 个节点。
Java
/**
* Definition for singly-linked list.
* public class ListNode {
* int val;
* ListNode next;
* ListNode(int x) { val = x; }
* }
*/
class Solution {
public ListNode getKthFromEnd(ListNode head, int k) {
ListNode slow = head, fast = head;
while (k-- > 0) {
fast = fast.next;
}
while (fast != null) {
slow = slow.next;
fast = fast.next;
}
return slow;
}
}
面试题 24. 反转链表
题目描述
定义一个函数,输入一个链表的头节点,反转该链表并输出反转后链表的头节点。
示例:
输入: 1->2->3->4->5->NULL
输出: 5->4->3->2->1->NULL
限制:
0 <= 节点个数 <= 5000
解法
定义指针 pre,cur 分别指向 null 和头节点。
遍历链表,将 cur.next 临时保存到 t 中,然后改变指针 cur 指向的节点的指向,将其指向 pre 指针指向的节点,即 cur.next = pre。然后 pre 指针指向 cur,cur 指针往前走。
当遍历结束后,返回 pre 指针即可。
Java
/**
* Definition for singly-linked list.
* public class ListNode {
* int val;
* ListNode next;
* ListNode(int x) { val = x; }
* }
*/
class Solution {
public ListNode reverseList(ListNode head) {
ListNode pre = null, cur = head;
while (cur != null) {
ListNode t = cur.next;
cur.next = pre;
pre = cur;
cur = t;
}
return pre;
}
}
面试题 25. 合并两个排序的链表
题目描述
输入两个递增排序的链表,合并这两个链表并使新链表中的节点仍然是递增排序的。
示例 1:
输入:1->2->4, 1->3->4
输出:1->1->2->3->4->4
限制:
0 <= 链表长度 <= 1000
解法
同时遍历两个链表,归并插入新链表中即可。
Java
/**
* Definition for singly-linked list.
* public class ListNode {
* int val;
* ListNode next;
* ListNode(int x) { val = x; }
* }
*/
class Solution {
public ListNode mergeTwoLists(ListNode l1, ListNode l2) {
ListNode dummy = new ListNode(0);
ListNode p = dummy;
while (l1 != null && l2 != null) {
if (l1.val <= l2.val) {
p.next = l1;
l1 = l1.next;
} else {
p.next = l2;
l2 = l2.next;
}
p = p.next;
}
p.next = l1 == null ? l2 : l1;
return dummy.next;
}
}
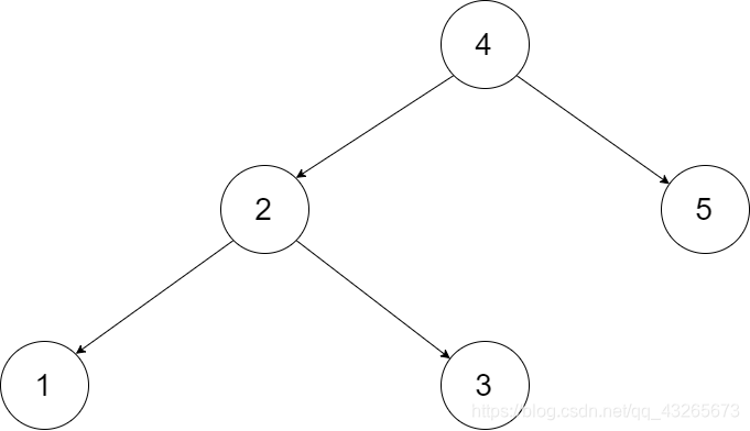
面试题 26. 树的子结构
题目描述
输入两棵二叉树 A 和 B,判断 B 是不是 A W 的子结构。(约定空树不是任意一个树的子结构)
B 是 A 的子结构, 即 A 中有出现和 B 相同的结构和节点值。
例如:
给定的树 A:
3
/ \
4 5
/ \
1 2
给定的树 B:
4
/
1
返回 true,因为 B 与 A 的一个子树拥有相同的结构和节点值。
示例 1:
输入:A = [1,2,3], B = [3,1]
输出:false
示例 2:
输入:A = [3,4,5,1,2], B = [4,1]
输出:true
限制:
0 <= 节点个数 <= 10000
解法
Java
/**
* Definition for a binary tree node.
* public class TreeNode {
* int val;
* TreeNode left;
* TreeNode right;
* TreeNode(int x) { val = x; }
* }
*/
class Solution {
public boolean isSubStructure(TreeNode A, TreeNode B) {
if (B == null || A == null) return false;
if (A.val != B.val) return isSubStructure(A.left, B) || isSubStructure(A.right, B);
return sub(A, B) || isSubStructure(A.left, B) || isSubStructure(A.right, B);
}
private boolean sub(TreeNode A, TreeNode B) {
// 判断从当前A节点开始,是否包含B
if (B == null) return true;
if (A == null) return false;
return A.val == B.val && sub(A.left, B.left) && sub(A.right, B.right);
}
}
面试题 27. 二叉树的镜像
题目描述
请完成一个函数,输入一个二叉树,该函数输出它的镜像。
例如输入:
4
/ \
2 7
/ \ / \
1 3 6 9
镜像输出:
4
/ \
7 2
/ \ / \
9 6 3 1
示例 1:
输入:root = [4,2,7,1,3,6,9]
输出:[4,7,2,9,6,3,1]
限制:
0 <= 节点个数 <= 1000
解法
Java
/**
* Definition for a binary tree node.
* public class TreeNode {
* int val;
* TreeNode left;
* TreeNode right;
* TreeNode(int x) { val = x; }
* }
*/
class Solution {
public TreeNode mirrorTree(TreeNode root) {
if (root == null) return null;
TreeNode t = root.left;
root.left = root.right;
root.right = t;
mirrorTree(root.left);
mirrorTree(root.right);
return root;
}
}
面试题 28. 对称的二叉树
题目描述
请实现一个函数,用来判断一棵二叉树是不是对称的。如果一棵二叉树和它的镜像一样,那么它是对称的。
例如,二叉树 [1,2,2,3,4,4,3] 是对称的。
1
/ \
2 2
/ \ / \
3 4 4 3
但是下面这个 [1,2,2,null,3,null,3] 则不是镜像对称的:
1
/ \
2 2
\ \
3 3
示例 1:
输入:root = [1,2,2,3,4,4,3]
输出:true
示例 2:
输入:root = [1,2,2,null,3,null,3]
输出:false
限制:
0 <= 节点个数 <= 1000
解法
Java
/**
* Definition for a binary tree node.
* public class TreeNode {
* int val;
* TreeNode left;
* TreeNode right;
* TreeNode(int x) { val = x; }
* }
*/
class Solution {
public boolean isSymmetric(TreeNode root) {
if (root == null) return true;
return isSymmetric(root.left, root.right);
}
private boolean isSymmetric(TreeNode left, TreeNode right) {
if (left == null && right == null) return true;
if (left == null || right == null || left.val != right.val) return false;
return isSymmetric(left.left, right.right) && isSymmetric(left.right, right.left);
}
}
面试题 29. 顺时针打印矩阵
题目描述
输入一个矩阵,按照从外向里以顺时针的顺序依次打印出每一个数字。
示例 1:
输入:matrix = [[1,2,3],[4,5,6],[7,8,9]]
输出:[1,2,3,6,9,8,7,4,5]
示例 2:
输入:matrix = [[1,2,3,4],[5,6,7,8],[9,10,11,12]]
输出:[1,2,3,4,8,12,11,10,9,5,6,7]
限制:
0 <= matrix.length <= 1000 <= matrix[i].length <= 100
解法
从外往里一圈一圈遍历并存储矩阵元素即可。
Java
class Solution {
private int[] res;
private int index;
public int[] spiralOrder(int[][] matrix) {
int m, n;
if (matrix == null || (m = matrix.length) == 0 || matrix[0] == null || (n = matrix[0].length) == 0)
return new int[]{};
res = new int[m * n];
index = 0;
int i1 = 0, i2 = m - 1;
int j1 = 0, j2 = n - 1;
while (i1 <= i2 && j1 <= j2) {
add(matrix, i1++, j1++, i2--, j2--);
}
return res;
}
private void add(int[][] matrix, int i1, int j1, int i2, int j2) {
if (i1 == i2) {
for (int j = j1; j <= j2; ++j) {
res[index++] = matrix[i1][j];
}
return;
}
if (j1 == j2) {
for (int i = i1; i <= i2; ++i) {
res[index++] = matrix[i][j1];
}
return;
}
for (int j = j1; j < j2; ++j) {
res[index++] = matrix[i1][j];
}
for (int i = i1; i < i2; ++i) {
res[index++] = matrix[i][j2];
}
for (int j = j2; j > j1; --j) {
res[index++] = matrix[i2][j];
}
for (int i = i2; i > i1; --i) {
res[index++] = matrix[i][j1];
}
}
}
面试题 30. 包含 min 函数的栈
题目描述
定义栈的数据结构,请在该类型中实现一个能够得到栈的最小元素的 min 函数在该栈中,调用 min、push 及 pop 的时间复杂度都是 O(1)。
示例:
MinStack minStack = new MinStack();
minStack.push(-2);
minStack.push(0);
minStack.push(-3);
minStack.min(); --> 返回 -3.
minStack.pop();
minStack.top(); --> 返回 0.
minStack.min(); --> 返回 -2.
提示:
- 各函数的调用总次数不超过 20000 次
解法
Java
class MinStack {
private Deque<Integer> s1;
private Deque<Integer> s2;
/** initialize your data structure here. */
public MinStack() {
s1 = new ArrayDeque<>();
s2 = new ArrayDeque<>();
}
public void push(int x) {
s1.push(x);
s2.push(s2.isEmpty() || s2.peek() >= x ? x : s2.peek());
}
public void pop() {
s1.pop();
s2.pop();
}
public int top() {
return s1.peek();
}
public int min() {
return s2.peek();
}
}
/**
* Your MinStack object will be instantiated and called as such:
* MinStack obj = new MinStack();
* obj.push(x);
* obj.pop();
* int param_3 = obj.top();
* int param_4 = obj.min();
*/
面试题 31. 栈的压入、弹出序列
题目描述
输入两个整数序列,第一个序列表示栈的压入顺序,请判断第二个序列是否为该栈的弹出顺序。假设压入栈的所有数字均不相等。例如,序列 {1,2,3,4,5} 是某栈的压栈序列,序列 {4,5,3,2,1} 是该压栈序列对应的一个弹出序列,但 {4,3,5,1,2} 就不可能是该压栈序列的弹出序列。
示例 1:
输入:pushed = [1,2,3,4,5], popped = [4,5,3,2,1]
输出:true
解释:我们可以按以下顺序执行:
push(1), push(2), push(3), push(4), pop() -> 4,
push(5), pop() -> 5, pop() -> 3, pop() -> 2, pop() -> 1
示例 2:
输入:pushed = [1,2,3,4,5], popped = [4,3,5,1,2]
输出:false
解释:1 不能在 2 之前弹出。
提示:
0 <= pushed.length == popped.length <= 10000 <= pushed[i], popped[i] < 1000pushed是popped的排列。
解法
借助一个辅助栈实现。
Java
class Solution {
public boolean validateStackSequences(int[] pushed, int[] popped) {
Deque<Integer> s = new ArrayDeque<>();
int q = 0;
for (int num : pushed) {
s.push(num);
while (!s.isEmpty() && s.peek() == popped[q]) {
s.pop();
++q;
}
}
return s.isEmpty();
}
}
面试题 32 - I. 从上到下打印二叉树
题目描述
从上到下打印出二叉树的每个节点,同一层的节点按照从左到右的顺序打印。
例如:
给定二叉树: [3,9,20,null,null,15,7],
3
/ \
9 20
/ \
15 7
返回:
[3,9,20,15,7]
提示:
节点总数 <= 1000
解法
Java
/**
* Definition for a binary tree node.
* public class TreeNode {
* int val;
* TreeNode left;
* TreeNode right;
* TreeNode(int x) { val = x; }
* }
*/
class Solution {
public int[] levelOrder(TreeNode root) {
if (root == null) return new int[]{};
Deque<TreeNode> q = new ArrayDeque<>();
List<Integer> t = new ArrayList<>();
q.offer(root);
while (!q.isEmpty()) {
int size = q.size();
while (size-- > 0) {
TreeNode node = q.poll();
t.add(node.val);
if (node.left != null) q.offer(node.left);
if (node.right != null) q.offer(node.right);
}
}
int i = 0, n = t.size();
int[] res = new int[n];
for (Integer e : t) {
res[i++] = e;
}
return res;
}
}
面试题 32 - II. 从上到下打印二叉树 II
题目描述
从上到下按层打印二叉树,同一层的节点按从左到右的顺序打印,每一层打印到一行。
例如:
给定二叉树: [3,9,20,null,null,15,7],
3
/ \
9 20
/ \
15 7
返回其层次遍历结果:
[
[3],
[9,20],
[15,7]
]
提示:
节点总数 <= 1000
解法
Java
/**
* Definition for a binary tree node.
* public class TreeNode {
* int val;
* TreeNode left;
* TreeNode right;
* TreeNode(int x) { val = x; }
* }
*/
class Solution {
public List<List<Integer>> levelOrder(TreeNode root) {
if (root == null) return Collections.emptyList();
Deque<TreeNode> q = new ArrayDeque<>();
List<List<Integer>> res = new ArrayList<>();
q.offer(root);
while (!q.isEmpty()) {
int size = q.size();
List<Integer> t = new ArrayList<>();
while (size-- > 0) {
TreeNode node = q.poll();
t.add(node.val);
if (node.left != null) q.offer(node.left);
if (node.right != null) q.offer(node.right);
}
res.add(t);
}
return res;
}
}
面试题 32 - III. 从上到下打印二叉树 III
题目描述
请实现一个函数按照之字形顺序打印二叉树,即第一行按照从左到右的顺序打印,第二层按照从右到左的顺序打印,第三行再按照从左到右的顺序打印,其他行以此类推。
例如:
给定二叉树: [3,9,20,null,null,15,7],
3
/ \
9 20
/ \
15 7
返回其层次遍历结果:
[
[3],
[20,9],
[15,7]
]
提示:
节点总数 <= 1000
解法
Java
/**
* Definition for a binary tree node.
* public class TreeNode {
* int val;
* TreeNode left;
* TreeNode right;
* TreeNode(int x) { val = x; }
* }
*/
class Solution {
public List<List<Integer>> levelOrder(TreeNode root) {
if (root == null) return Collections.emptyList();
Deque<TreeNode> q = new ArrayDeque<>();
List<List<Integer>> res = new ArrayList<>();
q.offer(root);
while (!q.isEmpty()) {
int size = q.size();
List<Integer> t = new ArrayList<>();
while (size-- > 0) {
TreeNode node = q.poll();
t.add(node.val);
if (node.left != null) q.offer(node.left);
if (node.right != null) q.offer(node.right);
}
if ((res.size() & 1) == 1) Collections.reverse(t);
res.add(t);
}
return res;
}
}
面试题 33. 二叉搜索树的后序遍历序列
题目描述
输入一个整数数组,判断该数组是不是某二叉搜索树的后序遍历结果。如果是则返回 true,否则返回 false。假设输入的数组的任意两个数字都互不相同。
参考以下这棵二叉搜索树:
5
/ \
2 6
/ \
1 3
示例 1:
输入: [1,6,3,2,5]
输出: false
示例 2:
输入: [1,3,2,6,5]
输出: true
提示:
数组长度 <= 1000
解法
二叉搜索树的后序遍历序列是 [左子树, 右子树, 根结点],且左子树结点值均小于根结点,右子树结点值均大于根结点,递归判断即可。
Java
class Solution {
public boolean verifyPostorder(int[] postorder) {
int n;
if (postorder == null || (n = postorder.length) == 0) return true;
return verify(postorder, 0, n - 1);
}
private boolean verify(int[] postorder, int p1, int p2) {
if (p1 >= p2) return true;
int pos = p1;
while (pos < p2 && postorder[pos] < postorder[p2]) ++pos;
int p = pos;
while (pos < p2) {
if (postorder[pos] < postorder[p2]) return false;
++pos;
}
return verify(postorder, p1, p - 1) && verify(postorder, p, p2 - 1);
}
}
面试题 34. 二叉树中和为某一值的路径
题目描述
输入一棵二叉树和一个整数,打印出二叉树中节点值的和为输入整数的所有路径。从树的根节点开始往下一直到叶节点所经过的节点形成一条路径。
示例:
给定如下二叉树,以及目标和 sum = 22,
5
/ \
4 8
/ / \
11 13 4
/ \ / \
7 2 5 1
返回:
[
[5,4,11,2],
[5,8,4,5]
]
提示:
节点总数 <= 10000
解法
先序遍历+路径记录。
Java
/**
* Definition for a binary tree node.
* public class TreeNode {
* int val;
* TreeNode left;
* TreeNode right;
* TreeNode(int x) { val = x; }
* }
*/
class Solution {
private List<List<Integer>> res;
private List<Integer> path;
public List<List<Integer>> pathSum(TreeNode root, int sum) {
if (root == null) return Collections.emptyList();
res = new ArrayList<>();
path = new ArrayList<>();
dfs(root, sum);
return res;
}
private void dfs(TreeNode root, int sum) {
if (root == null) {
return;
}
path.add(root.val);
if (root.val == sum && root.left == null && root.right == null) {
res.add(new ArrayList<>(path));
}
dfs(root.left, sum - root.val);
dfs(root.right, sum - root.val);
path.remove(path.size() - 1);
}
}
面试题 35. 复杂链表的复制
题目描述
请实现 copyRandomList 函数,复制一个复杂链表。在复杂链表中,每个节点除了有一个 next 指针指向下一个节点,还有一个 random 指针指向链表中的任意节点或者 null。
示例 1:
输入:head = [[7,null],[13,0],[11,4],[10,2],[1,0]]
输出:[[7,null],[13,0],[11,4],[10,2],[1,0]]
示例 2:
输入:head = [[1,1],[2,1]]
输出:[[1,1],[2,1]]
示例 3:
输入:head = [[3,null],[3,0],[3,null]]
输出:[[3,null],[3,0],[3,null]]
示例 4:
输入:head = []
输出:[]
解释:给定的链表为空(空指针),因此返回 null。
提示:
-10000 <= Node.val <= 10000Node.random为空(null)或指向链表中的节点。- 节点数目不超过 1000 。
解法
Java
/*
// Definition for a Node.
class Node {
int val;
Node next;
Node random;
public Node(int val) {
this.val = val;
this.next = null;
this.random = null;
}
}
*/
class Solution {
public Node copyRandomList(Node head) {
if (head == null) {
return null;
}
Map<Node, Node> map = new HashMap<>();
Node copyHead = new Node(-1);
Node cur = copyHead, t = head;
while (t != null) {
Node node = new Node(t.val);
map.put(t, node);
cur.next = node;
cur = node;
t = t.next;
}
cur = copyHead.next;
while (head != null) {
cur.random = map.get(head.random);
cur = cur.next;
head = head.next;
}
return copyHead.next;
}
}
面试题 36. 二叉搜索树与双向链表
题目描述
输入一棵二叉搜索树,将该二叉搜索树转换成一个排序的循环双向链表。要求不能创建任何新的节点,只能调整树中节点指针的指向。
为了让您更好地理解问题,以下面的二叉搜索树为例:
我们希望将这个二叉搜索树转化为双向循环链表。链表中的每个节点都有一个前驱和后继指针。对于双向循环链表,第一个节点的前驱是最后一个节点,最后一个节点的后继是第一个节点。
下图展示了上面的二叉搜索树转化成的链表。“head” 表示指向链表中有最小元素的节点。
特别地,我们希望可以就地完成转换操作。当转化完成以后,树中节点的左指针需要指向前驱,树中节点的右指针需要指向后继。还需要返回链表中的第一个节点的指针。
注意:本题与主站 426 题相同:https://leetcode-cn.com/problems/convert-binary-search-tree-to-sorted-doubly-linked-list/
注意:此题对比原题有改动。
解法
- 排序链表:二叉搜索树中序遍历得到有序序列
- 循环链表:头节点指向链表尾节点,尾节点指向链表头节点
- 双向链表:
pre.right = cur、cur.left = pre、pre = cur
Java
/*
// Definition for a Node.
class Node {
public int val;
public Node left;
public Node right;
public Node() {}
public Node(int _val) {
val = _val;
}
public Node(int _val,Node _left,Node _right) {
val = _val;
left = _left;
right = _right;
}
};
*/
class Solution {
Node head;
Node pre;
public Node treeToDoublyList(Node root) {
if (root == null) return null;
dfs(root);
head.left = pre;
pre.right = head;
return head;
}
private void dfs(Node cur) {
if (cur == null) return;
dfs(cur.left);
if (pre == null) head = cur;
else pre.right = cur;
cur.left = pre;
pre = cur;
dfs(cur.right);
}
}
面试题 37. 序列化二叉树
题目描述
请实现两个函数,分别用来序列化和反序列化二叉树。
示例:
你可以将以下二叉树:
1
/ \
2 3
/ \
4 5
序列化为 "[1,2,3,null,null,4,5]"
注意:本题与主站 297 题相同:https://leetcode-cn.com/problems/serialize-and-deserialize-binary-tree/
解法
层次遍历解决。
Java
/**
* Definition for a binary tree node.
* public class TreeNode {
* int val;
* TreeNode left;
* TreeNode right;
* TreeNode(int x) { val = x; }
* }
*/
public class Codec {
// Encodes a tree to a single string.
public String serialize(TreeNode root) {
if (root == null) {
return "[]";
}
StringBuilder sb = new StringBuilder("[");
Queue<TreeNode> queue = new LinkedList<>();
queue.offer(root);
while (!queue.isEmpty()) {
TreeNode node = queue.poll();
if (node != null) {
sb.append(node.val);
queue.offer(node.left);
queue.offer(node.right);
} else {
sb.append("null");
}
sb.append(",");
}
return sb.deleteCharAt(sb.length() - 1).append("]").toString();
}
// Decodes your encoded data to tree.
public TreeNode deserialize(String data) {
if (data == null || "[]".equals(data)) {
return null;
}
String[] nodes = data.substring(1, data.length() - 1).split(",");
Queue<TreeNode> queue = new LinkedList<>();
TreeNode root = new TreeNode(Integer.parseInt(nodes[0]));
queue.offer(root);
int idx = 1;
while (!queue.isEmpty() && idx < nodes.length) {
TreeNode node = queue.poll();
if (!"null".equals(nodes[idx])) {
node.left = new TreeNode(Integer.parseInt(nodes[idx]));
queue.offer(node.left);
}
++idx;
if (!"null".equals(nodes[idx])) {
node.right = new TreeNode(Integer.parseInt(nodes[idx]));
queue.offer(node.right);
}
++idx;
}
return root;
}
}
// Your Codec object will be instantiated and called as such:
// Codec codec = new Codec();
// codec.deserialize(codec.serialize(root));
面试题 38. 字符串的排列
题目描述
输入一个字符串,打印出该字符串中字符的所有排列。
你可以以任意顺序返回这个字符串数组,但里面不能有重复元素。
示例:
输入:s = "abc"
输出:["abc","acb","bac","bca","cab","cba"]
限制:
1 <= s 的长度 <= 8
解法
Java
class Solution {
private char[] chars;
private List<String> res;
public String[] permutation(String s) {
chars = s.toCharArray();
res = new ArrayList<>();
dfs(0);
return res.toArray(new String[res.size()]);
}
private void dfs(int x) {
if (x == chars.length - 1) {
res.add(String.valueOf(chars));
return;
}
Set<Character> set = new HashSet<>();
for (int i = x; i < chars.length; ++i) {
if (set.contains(chars[i])) {
continue;
}
set.add(chars[i]);
swap(i, x);
dfs(x + 1);
swap(i, x);
}
}
private void swap(int i, int j) {
char t = chars[i];
chars[i] = chars[j];
chars[j] = t;
}
}
面试题 39. 数组中出现次数超过一半的数字
题目描述
数组中有一个数字出现的次数超过数组长度的一半,请找出这个数字。
你可以假设数组是非空的,并且给定的数组总是存在多数元素。
示例 1:
输入: [1, 2, 3, 2, 2, 2, 5, 4, 2]
输出: 2
限制:
1 <= 数组长度 <= 50000
解法
摩尔投票法。时间复杂度 O(n),空间复杂度 O(1)。
Java
class Solution {
public int majorityElement(int[] nums) {
int major = 0, cnt = 0;
for (int num : nums) {
if (cnt == 0) {
major = num;
++cnt;
} else {
cnt += (num == major ? 1 : -1);
}
}
return major;
}
}
面试题 40. 最小的 k 个数
题目描述
输入整数数组 arr,找出其中最小的 k 个数。例如,输入 4、5、1、6、2、7、3、8 这 8 个数字,则最小的 4 个数字是 1、2、3、4。
示例 1:
输入:arr = [3,2,1], k = 2
输出:[1,2] 或者 [2,1]
示例 2:
输入:arr = [0,1,2,1], k = 1
输出:[0]
限制:
0 <= k <= arr.length <= 100000 <= arr[i] <= 10000
解法
Java
class Solution {
public int[] getLeastNumbers(int[] arr, int k) {
if (k == 0) {
return new int[]{};
}
PriorityQueue<Integer> bigRoot = new PriorityQueue<>(k, Collections.reverseOrder());
for (int e : arr) {
if (bigRoot.size() < k) {
bigRoot.offer(e);
} else if (e < bigRoot.peek()) {
bigRoot.poll();
bigRoot.offer(e);
}
}
int[] res = new int[k];
for (int i = 0; i < k; ++i) {
res[i] = bigRoot.poll();
}
return res;
}
}
面试题 41. 数据流中的中位数
题目描述
如何得到一个数据流中的中位数?如果从数据流中读出奇数个数值,那么中位数就是所有数值排序之后位于中间的数值。如果从数据流中读出偶数个数值,那么中位数就是所有数值排序之后中间两个数的平均值。
例如,
[2,3,4] 的中位数是 3
[2,3] 的中位数是 (2 + 3) / 2 = 2.5
设计一个支持以下两种操作的数据结构:
- void addNum(int num) - 从数据流中添加一个整数到数据结构中。
- double findMedian() - 返回目前所有元素的中位数。
示例 1:
输入:
["MedianFinder","addNum","addNum","findMedian","addNum","findMedian"]
[[],[1],[2],[],[3],[]]
输出:[null,null,null,1.50000,null,2.00000]
示例 2:
输入:
["MedianFinder","addNum","findMedian","addNum","findMedian"]
[[],[2],[],[3],[]]
输出:[null,null,2.00000,null,2.50000]
限制:
- 最多会对 addNum、findMedia 进行 50000 次调用。
注意:本题与主站 295 题相同:https://leetcode-cn.com/problems/find-median-from-data-stream/
解法
- 创建大根堆、小根堆,其中:大根堆存放较小的一半元素,小根堆存放较大的一半元素。
- 添加元素时,若两堆元素个数相等,放入小根堆(使得小根堆个数多 1);若不等,放入大根堆(使得大小根堆元素个数相等)
- 取中位数时,若两堆元素个数相等,取两堆顶求平均值;若不等,取小根堆堆顶。
Java
class MedianFinder {
Queue<Integer> minHeap;
Queue<Integer> maxHeap;
/** initialize your data structure here. */
public MedianFinder() {
minHeap = new PriorityQueue<>();
maxHeap = new PriorityQueue<>((a, b) -> b - a);
}
public void addNum(int num) {
if (maxHeap.size() == minHeap.size()) {
maxHeap.offer(num);
// 放入小根堆(小根堆多1)
minHeap.offer(maxHeap.poll());
} else {
minHeap.offer(num);
// 放入大根堆(大小堆数量相等)
maxHeap.offer(minHeap.poll());
}
}
public double findMedian() {
if (((maxHeap.size() + minHeap.size()) & 1) == 0) {
// 偶数个,取两个堆顶平均值
return (maxHeap.peek() + minHeap.peek()) / 2.0;
}
return minHeap.peek();
}
}
/**
* Your MedianFinder object will be instantiated and called as such:
* MedianFinder obj = new MedianFinder();
* obj.addNum(num);
* double param_2 = obj.findMedian();
*/
面试题 42. 连续子数组的最大和
题目描述
输入一个整型数组,数组里有正数也有负数。数组中的一个或连续多个整数组成一个子数组。求所有子数组的和的最大值。
要求时间复杂度为 O(n)。
示例 1:
输入: nums = [-2,1,-3,4,-1,2,1,-5,4]
输出: 6
解释: 连续子数组 [4,-1,2,1] 的和最大,为 6。
提示:
1 <= arr.length <= 10^5-100 <= arr[i] <= 100
注意:本题与主站 53 题相同:https://leetcode-cn.com/problems/maximum-subarray/
解法
设 dp[i] 表示 [0..i] 中,以 nums[i] 结尾的最大子数组和,状态转移方程 dp[i] = nums[i] + max(dp[i - 1], 0)。
由于 dp[i] 只与子问题 dp[i-1] 有关,故可以用一个变量 f 来表示。
Java
class Solution {
public int maxSubArray(int[] nums) {
int res = nums[0], f = nums[0];
for (int i = 1, n = nums.length; i < n; ++i) {
f = nums[i] + Math.max(f, 0);
res = Math.max(res, f);
}
return res;
}
}
面试题 43. 1 ~ n 整数中 1 出现的次数
题目描述
输入一个整数 n ,求 1 ~ n 这 n 个整数的十进制表示中 1 出现的次数。
例如,输入 12,1 ~ 12 这些整数中包含 1 的数字有 1、10、11 和 12,1 一共出现了 5 次。
示例 1:
输入:n = 12
输出:5
示例 2:
输入:n = 13
输出:6
限制:
1 <= n < 2^31
注意:本题与主站 233 题相同:https://leetcode-cn.com/problems/number-of-digit-one/
解法
将 n 拆为两部分:最高位 high 和低位 lows。按 high 是否为 1 分别递归求解结果 f(n)。
以 n=3356 举例说明。
high=3,lows=356,base=1000。此时 n 可拆分为 0~999,1000~1999,2000~2999,3000~3356,其中:
- 0~999 范围内 1 的个数为 f(base-1)
- 1000~1999 范围内 1 的个数可分为两部分:千位、其余位。千位都为 1,所以 1 的个数为 base+f(base-1)
- 2000~2999 范围内 1 的个数为 f(base-1)
- 3000~3356 范围内 1 的个数为 f(lows)
因此,1 的总个数为high*f(base-1)+f(lows)+base。
最高位非 1 的情况,也可以按照同样的方法分析。
Java
class Solution {
public int countDigitOne(int n) {
if (n < 1) {
return 0;
}
String s = String.valueOf(n);
int high = s.charAt(0) - '0'; // 最高位
int base = (int) Math.pow(10, s.length() - 1); // 基数
int lows = n % base; // 低位
return high == 1
? countDigitOne(base - 1) + countDigitOne(lows) + lows + 1
: high * countDigitOne(base - 1) + countDigitOne(lows) + base;
}
}
面试题 44. 数字序列中某一位的数字
题目描述
数字以 0123456789101112131415…的格式序列化到一个字符序列中。在这个序列中,第 5 位(从下标 0 开始计数)是 5,第 13 位是 1,第 19 位是 4,等等。
请写一个函数,求任意第 n 位对应的数字。
示例 1:
输入:n = 3
输出:3
示例 2:
输入:n = 11
输出:0
限制:
0 <= n < 2^31
注意:本题与主站 400 题相同:https://leetcode-cn.com/problems/nth-digit/
解法
- pow = 0:0~9 有 10 位
- pow = 1: 10~99 有
90*2=180位 - pow = 2: 100~999 有
900*3=2700位。
先求出第 n 位所在的 pow 和真实数字,进而求出真实数字的第n % (pow + 1)位即可。
Java
class Solution {
public int findNthDigit(int n) {
if (n < 10) return n;
int pow = 0, count;
while (true) {
count = getBitNum(pow);
if (n < count) break;
n -= count;
++pow;
}
int num = n / (pow + 1) + (int) Math.pow(10, pow);
return String.valueOf(num).charAt(n % (pow + 1)) - '0';
}
private int getBitNum(int pow) {
if (pow == 0) {
return 10;
}
return (int) (9 * Math.pow(10, pow) * (pow + 1));
}
}
面试题 45. 把数组排成最小的数
题目描述
输入一个正整数数组,把数组里所有数字拼接起来排成一个数,打印能拼接出的所有数字中最小的一个。
示例 1:
输入: [10,2]
输出: "102"
示例 2:
输入: [3,30,34,5,9]
输出: "3033459"
提示:
0 < nums.length <= 100
说明:- 输出结果可能非常大,所以你需要返回一个字符串而不是整数。
- 拼接起来的数字可能会有前导 0,最后结果不需要去掉前导 0。
解法
自定义排序比较器。
Java
class Solution {
public String minNumber(int[] nums) {
if (nums == null || nums.length == 0) {
return "";
}
return Arrays.stream(nums).mapToObj(String::valueOf).sorted((s1, s2) -> (s1 + s2).compareTo(s2 + s1)).reduce((s1, s2) -> s1 + s2).get();
}
}
面试题 46. 把数字翻译成字符串
题目描述
给定一个数字,我们按照如下规则把它翻译为字符串:0 翻译成 “a” ,1 翻译成 “b”,……,11 翻译成 “l”,……,25 翻译成 “z”。一个数字可能有多个翻译。请编程实现一个函数,用来计算一个数字有多少种不同的翻译方法。
示例 1:
输入: 12258
输出: 5
解释: 12258有5种不同的翻译,分别是"bccfi", "bwfi", "bczi", "mcfi"和"mzi"
提示:
- 0 <= num < 231
解法
递归求解。
Java
class Solution {
public int translateNum(int num) {
return cal(String.valueOf(num));
}
private int cal(String s) {
int n = s.length();
if (n < 2) {
return 1;
}
int t = Integer.parseInt(s.substring(0, 2));
return t < 10 || t > 25 ? cal(s.substring(1)) : cal(s.substring(1)) + cal(s.substring(2));
}
}
面试题 47. 礼物的最大价值
题目描述
在一个 m*n 的棋盘的每一格都放有一个礼物,每个礼物都有一定的价值(价值大于 0)。你可以从棋盘的左上角开始拿格子里的礼物,并每次向右或者向下移动一格、直到到达棋盘的右下角。给定一个棋盘及其上面的礼物的价值,请计算你最多能拿到多少价值的礼物?
示例 1:
输入:
[
[1,3,1],
[1,5,1],
[4,2,1]
]
输出: 12
解释: 路径 1→3→5→2→1 可以拿到最多价值的礼物
提示:
0 < grid.length <= 2000 < grid[0].length <= 200
解法
Java
class Solution {
public int maxValue(int[][] grid) {
int rows = grid.length, cols = grid[0].length;
int[][] vals = new int[rows][cols];
vals[0][0] = grid[0][0];
for (int i = 1; i < rows; ++i) {
vals[i][0] = vals[i - 1][0] + grid[i][0];
}
for (int j = 1; j < cols; ++j) {
vals[0][j] = vals[0][j - 1] + grid[0][j];
}
for (int i = 1; i < rows; ++i) {
for (int j = 1; j < cols; ++j) {
vals[i][j] = grid[i][j] + Math.max(vals[i - 1][j], vals[i][j - 1]);
}
}
return vals[rows - 1][cols - 1];
}
}
面试题 48. 最长不含重复字符的子字符串
题目描述
请从字符串中找出一个最长的不包含重复字符的子字符串,计算该最长子字符串的长度。
示例 1:
输入: "abcabcbb"
输出: 3
解释: 因为无重复字符的最长子串是 "abc",所以其长度为 3。
示例 2:
输入: "bbbbb"
输出: 1
解释: 因为无重复字符的最长子串是 "b",所以其长度为 1。
示例 3:
输入: "pwwkew"
输出: 3
解释: 因为无重复字符的最长子串是 "wke",所以其长度为 3。
请注意,你的答案必须是 子串 的长度,"pwke" 是一个子序列,不是子串。
提示:
s.length <= 40000
解法
Java
class Solution {
public int lengthOfLongestSubstring(String s) {
if (s == null || "".equals(s)) {
return 0;
}
int n = s.length();
char[] chars = s.toCharArray();
int[] dp = new int[n];
int res = 1;
Map<Character, Integer> map = new HashMap<>();
dp[0] = 1;
map.put(chars[0], 0);
for (int i = 1; i < n; ++i) {
if (chars[i] == chars[i - 1]) {
dp[i] = 1;
} else {
if (map.get(chars[i]) == null) {
dp[i] = dp[i - 1] + 1;
} else {
dp[i] = Math.min(dp[i - 1] + 1, i - map.get(chars[i]));
}
}
map.put(chars[i], i);
res = Math.max(res, dp[i]);
}
return res;
}
}
面试题 49. 丑数
题目描述
我们把只包含因子 2、3 和 5 的数称作丑数(Ugly Number)。求按从小到大的顺序的第 n 个丑数。
示例:
输入: n = 10
输出: 12
解释: 1, 2, 3, 4, 5, 6, 8, 9, 10, 12 是前 10 个丑数。
说明:
1是丑数。n不超过 1690。
解法
Java
class Solution {
public int nthUglyNumber(int n) {
if (n < 7) {
return n;
}
int[] dp = new int[n];
dp[0] = 1;
int i2 = 0, i3 = 0, i5= 0;
for (int i = 1; i < n; ++i) {
int next2 = dp[i2] * 2, next3 = dp[i3] * 3, next5 = dp[i5] * 5;
dp[i] = Math.min(Math.min(next2, next3), next5);
if (dp[i] == next2) {
++i2;
}
if (dp[i] == next3) {
++i3;
}
if (dp[i] == next5) {
++i5;
}
}
return dp[n - 1];
}
}
面试题 50. 第一个只出现一次的字符
题目描述
在字符串 s 中找出第一个只出现一次的字符。如果没有,返回一个单空格。
示例:
s = "abaccdeff"
返回 "b"
s = ""
返回 " "
限制:
0 <= s 的长度 <= 50000
解法
有序字典解决。
Java
class Solution {
public char firstUniqChar(String s) {
if ("".equals(s)) {
return ' ';
}
Map<Character, Integer> map = new LinkedHashMap<>();
char[] chars = s.toCharArray();
for (char c : chars) {
map.put(c, map.get(c) == null ? 1 : 1 + map.get(c));
}
for (Map.Entry<Character, Integer> entry : map.entrySet()) {
if (entry.getValue() == 1) {
return entry.getKey();
}
}
return ' ';
}
}
面试题 51. 数组中的逆序对
题目描述
在数组中的两个数字,如果前面一个数字大于后面的数字,则这两个数字组成一个逆序对。输入一个数组,求出这个数组中的逆序对的总数。
示例 1:
输入: [7,5,6,4]
输出: 5
限制:
0 <= 数组长度 <= 50000
解法
在归并中统计逆序对。
Java
class Solution {
private int res = 0;
public int reversePairs(int[] nums) {
int n = nums.length;
if (n < 2) {
return 0;
}
mergeSort(nums, 0, n - 1);
return res;
}
private void mergeSort(int[] nums, int s, int e) {
if (s == e) {
return;
}
int mid = s + ((e - s) >> 1);
mergeSort(nums, s, mid);
mergeSort(nums, mid + 1, e);
merge(nums, s, mid, e);
}
private void merge(int[] nums, int s, int mid, int e) {
int n = e - s + 1;
int[] help = new int[n];
int i = s, j = mid + 1, idx = 0;
while (i <= mid && j <= e) {
if (nums[i] > nums[j]) {
res += (mid - i + 1);
help[idx++] = nums[j++];
} else {
help[idx++] = nums[i++];
}
}
while (i <= mid) {
help[idx++] = nums[i++];
}
while (j <= e) {
help[idx++] = nums[j++];
}
for (int t = 0; t < n; ++t) {
nums[s + t] = help[t];
}
}
}
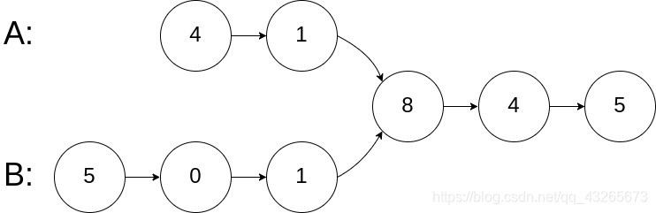
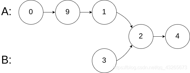
面试题 52. 两个链表的第一个公共节点
题目描述
输入两个链表,找出它们的第一个公共节点。
如下面的两个链表:
在节点 c1 开始相交。
示例 1:
输入:intersectVal = 8, listA = [4,1,8,4,5], listB = [5,0,1,8,4,5], skipA = 2, skipB = 3
输出:Reference of the node with value = 8
输入解释:相交节点的值为 8 (注意,如果两个列表相交则不能为 0)。从各自的表头开始算起,链表 A 为 [4,1,8,4,5],链表 B 为 [5,0,1,8,4,5]。在 A 中,相交节点前有 2 个节点;在 B 中,相交节点前有 3 个节点。
示例 2:
输入:intersectVal = 2, listA = [0,9,1,2,4], listB = [3,2,4], skipA = 3, skipB = 1
输出:Reference of the node with value = 2
输入解释:相交节点的值为 2 (注意,如果两个列表相交则不能为 0)。从各自的表头开始算起,链表 A 为 [0,9,1,2,4],链表 B 为 [3,2,4]。在 A 中,相交节点前有 3 个节点;在 B 中,相交节点前有 1 个节点。
示例 3:
输入:intersectVal = 0, listA = [2,6,4], listB = [1,5], skipA = 3, skipB = 2
输出:null
输入解释:从各自的表头开始算起,链表 A 为 [2,6,4],链表 B 为 [1,5]。由于这两个链表不相交,所以 intersectVal 必须为 0,而 skipA 和 skipB 可以是任意值。
解释:这两个链表不相交,因此返回 null。
注意:
- 如果两个链表没有交点,返回
null。 - 在返回结果后,两个链表仍须保持原有的结构。
- 可假定整个链表结构中没有循环。
- 程序尽量满足 O(n) 时间复杂度,且仅用 O(1) 内存。
解法
先求出两个链表的长度差 len1-len2,之后遍历链表,长的链表先走 len1-len2 步。
接着两个链表同时走,当出现相同的节点时,说明两个链表在此节点相交,返回此节点,否则返回 null。
Java
/**
* Definition for singly-linked list.
* public class ListNode {
* int val;
* ListNode next;
* ListNode(int x) {
* val = x;
* next = null;
* }
* }
*/
public class Solution {
public ListNode getIntersectionNode(ListNode headA, ListNode headB) {
if (headA == null || headB == null) {
return null;
}
ListNode p = headA, q = headB;
int len1 = len(p), len2 = len(q);
if (len1 > len2) {
ListNode t = headA;
headA = headB;
headB = t;
}
p = headA;
q = headB;
for (int i = 0; i < Math.abs(len1 - len2); ++i) {
q = q.next;
}
while (p != null && q != null) {
if (p == q) {
return p;
}
p = p.next;
q = q.next;
}
return null;
}
private int len(ListNode node) {
int len = 0;
while (node != null) {
node = node.next;
++len;
}
return len;
}
}
面试题 53 - I. 在排序数组中查找数字 I
题目描述
统计一个数字在排序数组中出现的次数。
示例 1:
输入: nums = [5,7,7,8,8,10], target = 8
输出: 2
示例 2:
输入: nums = [5,7,7,8,8,10], target = 6
输出: 0
限制:
0 <= 数组长度 <= 50000
解法
Java
class Solution {
public int search(int[] nums, int target) {
if (nums.length == 0) {
return 0;
}
int l = 0, r = nums.length - 1;
while (l <= r) {
int m = l + ((r - l) >> 1);
if (nums[m] == target) {
return count(nums, l, r, m);
}
if (nums[m] < target) {
l = m + 1;
} else {
r = m - 1;
}
}
return 0;
}
private int count(int[] nums, int l, int r, int m) {
int cnt = 0;
for (int i = m; i >= l; --i) {
if (nums[i] == nums[m]) {
++cnt;
} else if (nums[i] < nums[m]) {
break;
}
}
for (int i = m + 1; i <= r; ++i) {
if (nums[i] == nums[m]) {
++cnt;
} else if (nums[i] > nums[m]) {
break;
}
}
return cnt;
}
}
面试题 53 - II. 0 ~ n-1 中缺失的数字
题目描述
一个长度为 n-1 的递增排序数组中的所有数字都是唯一的,并且每个数字都在范围 0 ~ n-1 之内。在范围 0 ~ n-1 内的 n 个数字中有且只有一个数字不在该数组中,请找出这个数字。
示例 1:
输入: [0,1,3]
输出: 2
示例 2:
输入: [0,1,2,3,4,5,6,7,9]
输出: 8
限制:
1 <= 数组长度 <= 10000
解法
二分法。
Java
class Solution {
public int missingNumber(int[] nums) {
int l = 0, r = nums.length - 1;
if (r == 0 || nums[0] == 1) {
return nums[0] ^ 1;
}
if (nums[r] == r) {
return r + 1;
}
while (r - l > 1) {
int m = l + ((r - l) >> 1);
if (nums[m] == m) {
l = m;
} else {
r = m;
}
}
return nums[r] - 1;
}
}
面试题 54. 二叉搜索树的第 k 大节点
题目描述
给定一棵二叉搜索树,请找出其中第 k 大的节点。
示例 1:
输入: root = [3,1,4,null,2], k = 1
3
/ \
1 4
\
2
输出: 4
示例 2:
输入: root = [5,3,6,2,4,null,null,1], k = 3
5
/ \
3 6
/ \
2 4
/
1
输出: 4
限制:
1 ≤ k ≤ 二叉搜索树元素个数
解法
先遍历右子树,访问根节点,再遍历左子树。遍历到第 k 个结点时,存储结果。
Java
/**
* Definition for a binary tree node.
* public class TreeNode {
* int val;
* TreeNode left;
* TreeNode right;
* TreeNode(int x) { val = x; }
* }
*/
class Solution {
private int t;
private int res;
public int kthLargest(TreeNode root, int k) {
t = k;
traverse(root);
return res;
}
private void traverse(TreeNode node) {
if (node != null) {
traverse(node.right);
--t;
if (t == 0) {
res = node.val;
return;
}
traverse(node.left);
}
}
}
面试题 55 - I. 二叉树的深度
题目描述
输入一棵二叉树的根节点,求该树的深度。从根节点到叶节点依次经过的节点(含根、叶节点)形成树的一条路径,最长路径的长度为树的深度。
例如:
给定二叉树 [3,9,20,null,null,15,7],
3
/ \
9 20
/ \
15 7
返回它的最大深度 3 。
提示:
节点总数 <= 10000
解法
Java
/**
* Definition for a binary tree node.
* public class TreeNode {
* int val;
* TreeNode left;
* TreeNode right;
* TreeNode(int x) { val = x; }
* }
*/
class Solution {
public int maxDepth(TreeNode root) {
if (root == null) {
return 0;
}
return 1 + Math.max(maxDepth(root.left), maxDepth(root.right));
}
}
面试题 55 - II. 平衡二叉树
题目描述
输入一棵二叉树的根节点,判断该树是不是平衡二叉树。如果某二叉树中任意节点的左右子树的深度相差不超过 1,那么它就是一棵平衡二叉树。
示例 1:
给定二叉树 [3,9,20,null,null,15,7]
3
/ \
9 20
/ \
15 7
返回 true。
示例 2:
给定二叉树 [1,2,2,3,3,null,null,4,4]
1
/ \
2 2
/ \
3 3
/ \
4 4
返回 false。
限制:
1 <= 树的结点个数 <= 10000
解法
Java
/**
* Definition for a binary tree node.
* public class TreeNode {
* int val;
* TreeNode left;
* TreeNode right;
* TreeNode(int x) { val = x; }
* }
*/
class Solution {
public boolean isBalanced(TreeNode root) {
if (root == null) {
return true;
}
return Math.abs(height(root.left) - height(root.right)) <= 1 && isBalanced(root.left) && isBalanced(root.right);
}
private int height(TreeNode tree) {
if (tree == null) {
return 0;
}
return 1 + Math.max(height(tree.left), height(tree.right));
}
}
面试题 56 - I. 数组中数字出现的次数
题目描述
一个整型数组 nums 里除两个数字之外,其他数字都出现了两次。请写程序找出这两个只出现一次的数字。要求时间复杂度是 O(n),空间复杂度是 O(1)。
示例 1:
输入:nums = [4,1,4,6]
输出:[1,6] 或 [6,1]
示例 2:
输入:nums = [1,2,10,4,1,4,3,3]
输出:[2,10] 或 [10,2]
限制:
2 <= nums <= 10000
解法
异或运算求解。
首先明确,两个相同的数异或之后的结果为 0。对该数组所有元素进行异或运算,结果就是两个只出现一次的数字异或的结果。找出这个结果中某个二进制位为 1 的位置,之后对数组所有元素进行分类,二进制位为 0 的异或到 a,二进制位为 1 的异或到 b,结果就是 a,b。
Java
class Solution {
public int[] singleNumbers(int[] nums) {
int xor = 0;
for (int num : nums) {
xor ^= num;
}
int pos = 0;
while ((xor & 1) == 0) {
++pos;
xor >>= 1;
}
int a = 0, b = 0;
for (int num : nums) {
int t = num >> pos;
if ((t & 1) == 0) {
a ^= num;
} else {
b ^= num;
}
}
return new int[] {a, b};
}
}
面试题 56 - II. 数组中数字出现的次数 II
题目描述
在一个数组 nums 中除一个数字只出现一次之外,其他数字都出现了三次。请找出那个只出现一次的数字。
示例 1:
输入:nums = [3,4,3,3]
输出:4
示例 2:
输入:nums = [9,1,7,9,7,9,7]
输出:1
限制:
1 <= nums.length <= 100001 <= nums[i] < 2^31
解法
统计所有数字每个位中 1 出现的次数,对于某个位,1 出现的次数一定是 3 的倍数 +1 或 0。对这个数 %3 得到的结果就是那个出现一次的数字在该位上的值。
Java
class Solution {
public int singleNumber(int[] nums) {
int[] bits = new int[32];
for (int num : nums) {
for (int i = 0; i < 32; ++i) {
bits[i] += (num & 1);
num >>= 1;
}
}
int res = 0;
for (int i = 0; i < 32; ++i) {
if (bits[i] % 3 == 1) {
res += (1 << i);
}
}
return res;
}
}
面试题 57. 和为 s 的两个数字
题目描述
输入一个递增排序的数组和一个数字 s,在数组中查找两个数,使得它们的和正好是 s。如果有多对数字的和等于 s,则输出任意一对即可。
示例 1:
输入:nums = [2,7,11,15], target = 9
输出:[2,7] 或者 [7,2]
示例 2:
输入:nums = [10,26,30,31,47,60], target = 40
输出:[10,30] 或者 [30,10]
限制:
1 <= nums.length <= 10^51 <= nums[i] <= 10^6
解法
Java
class Solution {
public int[] twoSum(int[] nums, int target) {
int p = 0, q = nums.length - 1;
while (p < q) {
int s = nums[p] + nums[q];
if (s == target) {
return new int[] {nums[p], nums[q]};
}
if (s < target) {
++p;
} else {
--q;
}
}
return new int[]{0};
}
}
面试题 57 - II. 和为 s 的连续正数序列
题目描述
输入一个正整数 target ,输出所有和为 target 的连续正整数序列(至少含有两个数)。
序列内的数字由小到大排列,不同序列按照首个数字从小到大排列。
示例 1:
输入:target = 9
输出:[[2,3,4],[4,5]]
示例 2:
输入:target = 15
输出:[[1,2,3,4,5],[4,5,6],[7,8]]
限制:
1 <= target <= 10^5
解法
双指针:p = 1,q = 2。
Java
class Solution {
public int[][] findContinuousSequence(int target) {
List<int[]> list = new ArrayList<>();
int p = 1, q = 2;
while (p < q) {
int s = (p + q) * (q - p + 1) >> 1;
if (s == target) {
int[] t = new int[q - p + 1];
for (int i = 0; i < t.length; ++i) {
t[i] = p + i;
}
list.add(t);
++p;
} else if (s < target) {
++q;
} else {
++p;
}
}
int[][] res = new int[list.size()][];
for (int i = 0; i < res.length; ++i) {
res[i] = list.get(i);
}
return res;
}
}
面试题 58 - I. 翻转单词顺序
题目描述
输入一个英文句子,翻转句子中单词的顺序,但单词内字符的顺序不变。为简单起见,标点符号和普通字母一样处理。例如输入字符串"I am a student. “,则输出"student. a am I”。
示例 1:
输入: "the sky is blue"
输出: "blue is sky the"
示例 2:
输入: " hello world! "
输出: "world! hello"
解释: 输入字符串可以在前面或者后面包含多余的空格,但是反转后的字符不能包括。
示例 3:
输入: "a good example"
输出: "example good a"
解释: 如果两个单词间有多余的空格,将反转后单词间的空格减少到只含一个。
说明:
- 无空格字符构成一个单词。
- 输入字符串可以在前面或者后面包含多余的空格,但是反转后的字符不能包括。
- 如果两个单词间有多余的空格,将反转后单词间的空格减少到只含一个。
注意: 本题与主站 151 题相同:https://leetcode-cn.com/problems/reverse-words-in-a-string/
注意: 此题对比原题有改动
解法
按空格分割字符串后逆序。
Java
class Solution {
public String reverseWords(String s) {
if (s == null || s.length() == 0) {
return s;
}
String[] words = s.split("\\s+");
StringBuilder sb = new StringBuilder();
int len = words.length;
for (int i = len - 1; i >= 0; --i) {
if (!"".equals(words[i])) {
sb.append(words[i]).append(" ");
}
}
s = sb.toString();
len = s.length();
return len > 0 ? s.substring(0, len - 1) : "";
}
}
面试题 58 - II. 左旋转字符串
题目描述
字符串的左旋转操作是把字符串前面的若干个字符转移到字符串的尾部。请定义一个函数实现字符串左旋转操作的功能。比如,输入字符串"abcdefg"和数字 2,该函数将返回左旋转两位得到的结果"cdefgab"。
示例 1:
输入: s = "abcdefg", k = 2
输出: "cdefgab"
示例 2:
输入: s = "lrloseumgh", k = 6
输出: "umghlrlose"
限制:
1 <= k < s.length <= 10000
解法
Java
class Solution {
public String reverseLeftWords(String s, int n) {
return s.substring(n) + s.substring(0, n);
}
}
面试题 59 - I. 滑动窗口的最大值
题目描述
给定一个数组 nums 和滑动窗口的大小 k,请找出所有滑动窗口里的最大值。
示例:
输入: nums = [1,3,-1,-3,5,3,6,7], 和 k = 3
输出: [3,3,5,5,6,7]
解释:
滑动窗口的位置 最大值
--------------- -----
[1 3 -1] -3 5 3 6 7 3
1 [3 -1 -3] 5 3 6 7 3
1 3 [-1 -3 5] 3 6 7 5
1 3 -1 [-3 5 3] 6 7 5
1 3 -1 -3 [5 3 6] 7 6
1 3 -1 -3 5 [3 6 7] 7
提示:
- 你可以假设 k 总是有效的,在输入数组不为空的情况下,
1 ≤ k ≤ 输入数组的大小。
注意:本题与主站 239 题相同:https://leetcode-cn.com/problems/sliding-window-maximum/
解法
双端队列实现。
Java
class Solution {
public int[] maxSlidingWindow(int[] nums, int k) {
int index = 0, n = nums.length;
if (k == 0 || n == 0) {
return new int[0];
}
int[] res = new int[n - k + 1];
LinkedList<Integer> q = new LinkedList<>();
for (int i = 0; i < n; ++i) {
while (!q.isEmpty() && nums[q.peekLast()] <= nums[i]) {
q.pollLast();
}
q.addLast(i);
if (q.peekFirst() == i - k) {
q.pollFirst();
}
if (i >= k - 1) {
res[index++] = nums[q.peekFirst()];
}
}
return res;
}
}
面试题 59 - II. 队列的最大值
题目描述
请定义一个队列并实现函数 max_value 得到队列里的最大值,要求函数max_value、push_back 和 pop_front 的均摊时间复杂度都是 O(1)。
若队列为空,pop_front 和 max_value 需要返回 -1
示例 1:
输入:
["MaxQueue","push_back","push_back","max_value","pop_front","max_value"]
[[],[1],[2],[],[],[]]
输出: [null,null,null,2,1,2]
示例 2:
输入:
["MaxQueue","pop_front","max_value"]
[[],[],[]]
输出: [null,-1,-1]
限制:
1 <= push_back,pop_front,max_value的总操作数 <= 100001 <= value <= 10^5
解法
利用一个辅助队列按单调顺序存储当前队列的最大值。
Java
class MaxQueue {
private Deque<Integer> p;
private Deque<Integer> q;
public MaxQueue() {
p = new ArrayDeque<>();
q = new ArrayDeque<>();
}
public int max_value() {
return q.isEmpty() ? -1 : q.peekFirst();
}
public void push_back(int value) {
while (!q.isEmpty() && q.peekLast() < value) {
q.pollLast();
}
p.offerLast(value);
q.offerLast(value);
}
public int pop_front() {
if (p.isEmpty()) return -1;
int res = p.pollFirst();
if (q.peek() == res) q.pollFirst();
return res;
}
}
/**
* Your MaxQueue object will be instantiated and called as such:
* MaxQueue obj = new MaxQueue();
* int param_1 = obj.max_value();
* obj.push_back(value);
* int param_3 = obj.pop_front();
*/
面试题 60. n 个骰子的点数
题目描述
把 n 个骰子扔在地上,所有骰子朝上一面的点数之和为 s。输入 n,打印出 s 的所有可能的值出现的概率。
你需要用一个浮点数数组返回答案,其中第 i 个元素代表这 n 个骰子所能掷出的点数集合中第 i 小的那个的概率。
示例 1:
输入: 1
输出: [0.16667,0.16667,0.16667,0.16667,0.16667,0.16667]
示例 2:
输入: 2
输出: [0.02778,0.05556,0.08333,0.11111,0.13889,0.16667,0.13889,0.11111,0.08333,0.05556,0.02778]
限制:
1 <= n <= 11
解法
动态规划求解。
扔 n 个骰子,点数之和的范围在 [n, 6n] 之间,总共有 5n+1 种,即为最后结果数组的长度。
假设 dp[i][j] 表示扔 i 个骰子,出现点数之和 j 的次数。n 个骰子,所以 i 的范围在 1~n,j 的范围在 [1, 6n]。
单看第 n 枚骰子,它的点数可能为 1,2,3,...,6,因此扔完 n 枚骰子后点数之和 j 出现的次数,可以由扔完 n-1 枚骰子后,对应点数 j−1,j−2,j−3,...,j−6 出现的次数之和转化过来。即:
for (第n枚骰子的点数 i = 1; i <= 6; i ++) {
dp[n][j] += dp[n-1][j - i]
}
扔 1 枚骰子,点数可能是 1,2,3,4,5,6,且每个点数出现的次数均为 1。所以初始化如下:
for (int j = 1; j <= 6; ++j) {
dp[1][j] = 1;
}
Java
class Solution {
public double[] twoSum(int n) {
int[][] dp = new int[n + 1][6 * n + 1];
for (int j = 1; j <= 6; ++j) {
dp[1][j] = 1;
}
for (int i = 2; i <= n; ++i) {
for (int j = i; j <= 6 * i; ++j) {
for (int k = 1; k <= 6 && j > k; ++k) {
dp[i][j] += dp[i - 1][j - k];
}
}
}
double[] res = new double[5 * n + 1];
double all = Math.pow(6, n);
for (int i = 0; i <= 5 * n; ++i) {
res[i] = dp[n][n + i] * 1.0 / all;
}
return res;
}
}
面试题 61. 扑克牌中的顺子
题目描述
从扑克牌中随机抽 5 张牌,判断是不是一个顺子,即这 5 张牌是不是连续的。2 ~ 10 为数字本身,A 为 1,J 为 11,Q 为 12,K 为 13,而大、小王为 0 ,可以看成任意数字。A 不能视为 14。
示例 1:
输入: [1,2,3,4,5]
输出: True
示例 2:
输入: [0,0,1,2,5]
输出: True
限制:
- 数组长度为 5
- 数组的数取值为
[0, 13]
解法
用数组 t 记录是否存在重复的数,存在则直接返回 false。
遍历数组,忽略大小王(0),求出数组的最大、最小值。若最后差值超过 4,则无法构成顺子,例如:5,6,(0),8,10。
Java
class Solution {
public boolean isStraight(int[] nums) {
boolean[] t = new boolean[14];
int maxVal = Integer.MIN_VALUE, minVal = Integer.MAX_VALUE;
for (int num : nums) {
if (num == 0) {
continue;
}
if (t[num]) {
return false;
}
t[num] = true;
maxVal = Math.max(maxVal, num);
minVal = Math.min(minVal, num);
}
return maxVal - minVal <= 4;
}
}
面试题 62. 圆圈中最后剩下的数字
题目描述
0,1,n-1 这 n 个数字排成一个圆圈,从数字 0 开始,每次从这个圆圈里删除第 m 个数字。求出这个圆圈里剩下的最后一个数字。
例如,0、1、2、3、4 这 5 个数字组成一个圆圈,从数字 0 开始每次删除第 3 个数字,则删除的前 4 个数字依次是 2、0、4、1,因此最后剩下的数字是 3。
示例 1:
输入: n = 5, m = 3
输出: 3
示例 2:
输入: n = 10, m = 17
输出: 2
限制:
1 <= n <= 10^51 <= m <= 10^6
解法
设 f(n, m) 表示从 n 个数中每次删除第 m 个,最后剩下的数字。
第一次删除第 m 个,剩下 n-1 个数,那么 x = f(n - 1, m) 就表示从 n-1 个数中每次删除第 m 个,最后剩下的数字。
我们求得 x 之后,便可以知道,f(n, m) 应该是从 m % n 开始数的第 x 个元素,即 f(n, m) = ((m % n) + x) % n。
当 n 为 1 时,最后留下的数字序号一定为 0。
递归求解即可,也可以改成迭代。
Java
class Solution {
public int lastRemaining(int n, int m) {
int f = 0;
for (int i = 2; i <= n; ++i) {
f = (f + m) % i;
}
return f;
}
}
面试题 63. 股票的最大利润
题目描述
假设把某股票的价格按照时间先后顺序存储在数组中,请问买卖该股票一次可能获得的最大利润是多少?
示例 1:
输入: [7,1,5,3,6,4]
输出: 5
解释: 在第 2 天(股票价格 = 1)的时候买入,在第 5 天(股票价格 = 6)的时候卖出,最大利润 = 6-1 = 5 。
注意利润不能是 7-1 = 6, 因为卖出价格需要大于买入价格。
示例 2:
输入: [7,6,4,3,1]
输出: 0
解释: 在这种情况下, 没有交易完成, 所以最大利润为 0。
限制:
0 <= 数组长度 <= 10^5
解法
Java
class Solution {
public int maxProfit(int[] prices) {
int len = prices.length;
if (len == 0) {
return 0;
}
int min = prices[0];
int res = 0;
for (int i = 1; i < len; ++i) {
res = Math.max(res, prices[i] - min);
min = Math.min(min, prices[i]);
}
return res;
}
}
面试题 64. 求 1+2+…+n
题目描述
求 1+2+...+n,要求不能使用乘除法、for、while、if、else、switch、case 等关键字及条件判断语句(A?B:C)。
示例 1:
输入: n = 3
输出: 6
示例 2:
输入: n = 9
输出: 45
限制:
1 <= n <= 10000
解法
递归,结合逻辑与短路运算符求解。
Java
class Solution {
public int sumNums(int n) {
int s = n;
boolean t = n > 0 && (s += sumNums(n - 1)) > 0;
return s;
}
}
面试题 65. 不用加减乘除做加法
题目描述
写一个函数,求两个整数之和,要求在函数体内不得使用 “+”、“-”、“*”、“/” 四则运算符号。
示例:
输入: a = 1, b = 1
输出: 2
提示:
a,b均可能是负数或 0- 结果不会溢出 32 位整数
解法
两数字的二进制形式 a,b ,求和 s = a + b ,a(i)、b(i) 分别表示 a、b 的第 i 个二进制位。一共有 4 种情况:
| a(i) | b(i) | 不进位的和 | 进位 |
|---|---|---|---|
| 0 | 0 | 0 | 0 |
| 0 | 1 | 1 | 0 |
| 1 | 0 | 1 | 0 |
| 1 | 1 | 0 | 1 |
观察可以发现,“不进位的和”与“异或运算”有相同规律,而进位则与“与”运算规律相同,并且需要左移一位。
- 对两数进行按位
^异或运算,得到不进位的和; - 对两数进行按位
&与运算,然后左移一位,得到进位; - 问题转换为求:“不进位的数 + 进位” 之和;
- 循环,直至进位为 0,返回不进位的数即可(也可以用递归实现)。
Java
迭代:
class Solution {
public int add(int a, int b) {
while (b != 0) {
int s = a ^ b;
b = (a & b) << 1;
a = s;
}
return a;
}
}
递归:
class Solution {
public int add(int a, int b) {
if (b == 0) return a;
return add(a ^ b, (a & b) << 1);
}
}
面试题 66. 构建乘积数组
题目描述
给定一个数组 A[0,1,…,n-1],请构建一个数组 B[0,1,…,n-1],其中 B 中的元素 B[i]=A[0]×A[1]×…×A[i-1]×A[i+1]×…×A[n-1]。不能使用除法。
示例:
输入: [1,2,3,4,5]
输出: [120,60,40,30,24]
提示:
- 所有元素乘积之和不会溢出 32 位整数
a.length <= 100000
解法
B[i] = (A[0] * A[1] * ... * A[i-1]) * (A[i+1] * ... * A[n-1])
Java
class Solution {
public int[] constructArr(int[] a) {
int n = a.length;
int[] output = new int[n];
for (int i = 0, left = 1; i < n; ++i) {
output[i] = left;
left *= a[i];
}
for (int i = n - 1, right = 1; i >= 0; --i) {
output[i] *= right;
right *= a[i];
}
return output;
}
}
面试题 67. 把字符串转换成整数
题目描述
写一个函数 StrToInt,实现把字符串转换成整数这个功能。不能使用 atoi 或者其他类似的库函数。
首先,该函数会根据需要丢弃无用的开头空格字符,直到寻找到第一个非空格的字符为止。
当我们寻找到的第一个非空字符为正或者负号时,则将该符号与之后面尽可能多的连续数字组合起来,作为该整数的正负号;假如第一个非空字符是数字,则直接将其与之后连续的数字字符组合起来,形成整数。
该字符串除了有效的整数部分之后也可能会存在多余的字符,这些字符可以被忽略,它们对于函数不应该造成影响。
注意:假如该字符串中的第一个非空格字符不是一个有效整数字符、字符串为空或字符串仅包含空白字符时,则你的函数不需要进行转换。
在任何情况下,若函数不能进行有效的转换时,请返回 0。
说明:
假设我们的环境只能存储 32 位大小的有符号整数,那么其数值范围为 [−2^31, 2^31 − 1]。如果数值超过这个范围,请返回 INT_MAX (2^31 − 1) 或 INT_MIN (−2^31) 。
示例 1:
输入: "42"
输出: 42
示例 2:
输入: " -42"
输出: -42
解释: 第一个非空白字符为 '-', 它是一个负号。
我们尽可能将负号与后面所有连续出现的数字组合起来,最后得到 -42 。
示例 3:
输入: "4193 with words"
输出: 4193
解释: 转换截止于数字 '3' ,因为它的下一个字符不为数字。
示例 4:
输入: "words and 987"
输出: 0
解释: 第一个非空字符是 'w', 但它不是数字或正、负号。
因此无法执行有效的转换。
示例 5:
输入: "-91283472332"
输出: -2147483648
解释: 数字 "-91283472332" 超过 32 位有符号整数范围。
因此返回 INT_MIN (−2^31) 。
解法
遍历字符串,注意做溢出处理。
同字符串转换整数 (atoi)。
Java
class Solution {
public int strToInt(String str) {
if (str == null) return 0;
int n = str.length();
if (n == 0) return 0;
int i = 0;
while (str.charAt(i) == ' ') {
// 仅包含空格
if (++i == n) return 0;
}
int sign = 1;
if (str.charAt(i) == '-') sign = -1;
if (str.charAt(i) == '-' || str.charAt(i) == '+') ++i;
int res = 0, flag = Integer.MAX_VALUE / 10;
for (; i < n; ++i) {
// 非数字,跳出循环体
if (str.charAt(i) < '0' || str.charAt(i) > '9') break;
// 溢出判断
if (res > flag || (res == flag) && str.charAt(i) > '7') return sign > 0 ? Integer.MAX_VALUE : Integer.MIN_VALUE;
res = res * 10 + (str.charAt(i) - '0');
}
return sign * res;
}
}
面试题 68 - I. 二叉搜索树的最近公共祖先
题目描述
给定一个二叉搜索树, 找到该树中两个指定节点的最近公共祖先。
百度百科中最近公共祖先的定义为:“对于有根树 T 的两个结点 p、q,最近公共祖先表示为一个结点 x,满足 x 是 p、q 的祖先且 x 的深度尽可能大(一个节点也可以是它自己的祖先)。”
例如,给定如下二叉搜索树: root = [6,2,8,0,4,7,9,null,null,3,5]
示例 1:
输入: root = [6,2,8,0,4,7,9,null,null,3,5], p = 2, q = 8
输出: 6
解释: 节点 2 和节点 8 的最近公共祖先是 6。
示例 2:
输入: root = [6,2,8,0,4,7,9,null,null,3,5], p = 2, q = 4
输出: 2
解释: 节点 2 和节点 4 的最近公共祖先是 2, 因为根据定义最近公共祖先节点可以为节点本身。
说明:
- 所有节点的值都是唯一的。
- p、q 为不同节点且均存在于给定的二叉搜索树中。
解法
从上到下搜索,找到第一个值位于 [p, q] 之间的结点即可。既可以用迭代实现,也可以用递归实现。
Java
/**
* Definition for a binary tree node.
* public class TreeNode {
* int val;
* TreeNode left;
* TreeNode right;
* TreeNode(int x) { val = x; }
* }
*/
class Solution {
public TreeNode lowestCommonAncestor(TreeNode root, TreeNode p, TreeNode q) {
if (p == q) {
return p;
}
while (root != null) {
if (root.val < p.val && root.val < q.val) {
root = root.right;
} else if (root.val > p.val && root.val > q.val) {
root = root.left;
} else {
return root;
}
}
return null;
}
}
面试题 68 - II. 二叉树的最近公共祖先
题目描述
给定一个二叉树, 找到该树中两个指定节点的最近公共祖先。
百度百科中最近公共祖先的定义为:“对于有根树 T 的两个结点 p、q,最近公共祖先表示为一个结点 x,满足 x 是 p、q 的祖先且 x 的深度尽可能大(一个节点也可以是它自己的祖先)。”
例如,给定如下二叉树: root = [3,5,1,6,2,0,8,null,null,7,4]
示例 1:
输入: root = [3,5,1,6,2,0,8,null,null,7,4], p = 5, q = 1
输出: 3
解释: 节点 5 和节点 1 的最近公共祖先是节点 3。
示例 2:
输入: root = [3,5,1,6,2,0,8,null,null,7,4], p = 5, q = 4
输出: 5
解释: 节点 5 和节点 4 的最近公共祖先是节点 5。因为根据定义最近公共祖先节点可以为节点本身。
说明:
- 所有节点的值都是唯一的。
- p、q 为不同节点且均存在于给定的二叉树中。
解法
根据“最近公共祖先”的定义,若 root 是 p, q 的最近公共祖先 ,则只可能为以下情况之一:
- 如果 p 和 q 分别是 root 的左右节点,那么 root 就是我们要找的最近公共祖先;
- 如果 p 和 q 都是 root 的左节点,那么返回
lowestCommonAncestor(root.left, p, q); - 如果 p 和 q 都是 root 的右节点,那么返回
lowestCommonAncestor(root.right, p, q)。
边界条件讨论: - 如果 root 为 null,则说明我们已经找到最底了,返回 null 表示没找到;
- 如果 root 与 p 相等或者与 q 相等,则返回 root;
- 如果左子树没找到,递归函数返回 null,证明 p 和 q 同在 root 的右侧,那么最终的公共祖先就是右子树找到的结点;
- 如果右子树没找到,递归函数返回 null,证明 p 和 q 同在 root 的左侧,那么最终的公共祖先就是左子树找到的结点。
Java
/**
* Definition for a binary tree node.
* public class TreeNode {
* int val;
* TreeNode left;
* TreeNode right;
* TreeNode(int x) { val = x; }
* }
*/
class Solution {
public TreeNode lowestCommonAncestor(TreeNode root, TreeNode p, TreeNode q) {
if (root == null || root == p || root == q) return root;
TreeNode left = lowestCommonAncestor(root.left, p, q);
TreeNode right = lowestCommonAncestor(root.right, p, q);
if (left == null) return right;
if (right == null) return left;
return root;
}
}
版权
著作权归 GitHub 开源社区 Doocs 所有,商业转载请联系 @yanglbme 授权,非商业转载请注明出处。