三角测量—立体视觉中重建三维点坐标公式推导(有源码)
通常在立体视觉三维测量的应用开发中,需要由左、右图像对应点计算出该点在相机坐标系下的坐标。在opencv中,提供了triangulatePoints函数用于计算立体矫正模式下的三维坐标的计算方法,而没有提供非矫正模式下的计算方法。本文将介绍非矫正模式下如何由图像对应点计算对应的三维点坐标。
关于针孔相机模型的讲解已有太多博文描述了,本文对它不做太多讲解,如果有不懂的朋友可以搜索其他相关博文。
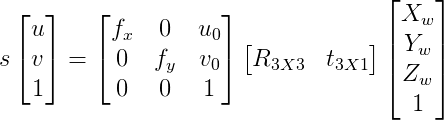
相机内参矩阵
相机内参矩阵包括:

针孔成像过程
针孔成像过程描述的是世界坐标系到图像坐标系的转换过程,该过程中包含以下几个坐标系的转换。
1)世界坐标系–>相机坐标系
假设世界坐标系中一点的坐标为(Xw,Yw,Zw),经刚体变换后转到相机坐标系下:

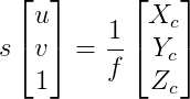
2)相机坐标系–>成像平面坐标系

3)成像平面坐标系–>图像坐标系;


立体视觉系统中计算三维点坐标(针孔模型)
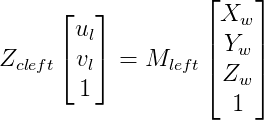
由前面的推导可知,对于左、右相机分别有:

源码下载方法:关注下方微信公众号回复关键字“triangulate”即可下载。

另外,关于以上研究方向的任何问题都可以到我的知识星球进行提问,我将给大家满意的回答 !!!!

3D视觉QQ群:1012179080。
版权声明:本文为Stones1025原创文章,遵循CC 4.0 BY-SA版权协议,转载请附上原文出处链接和本声明。