向量的基本几何意义
自由向量:
大小和方向(物理:矢量)
向量的数学表示:
把空间中所有的向量的尾部都拉到坐标原点,这样N维点空间可以与N维向量空间建立一一对应关系:N维点空间中点(0,0,0…0)取作原点,那么每一个点都可以让一个向量和它对应,这个向量就是从坐标原点出发到这个点为止的向量。
向量加法的几何意义:
平行四边形法则、三角形法则
向量加法的物理意义:
船过河问题:船头的位移(马达动力)、流水影响的位移(水速)、真正的位移
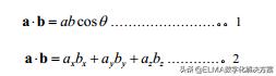
向量内积:

向量a和b的长度之积再乘以它们之间的夹角的余弦;
向量a和b的坐标分量分别对应乘积的和。
向量内积的几何和物理意义:
向量内积的几何解释就是一个向量在另一个向量上的投影的积,也就是同方向的积
特别的,如果一个向量如a是某个坐标轴的单位坐标向量,那么,两个向量的内积

就是向量b在此坐标轴上的坐标值。这个结论非常重要,这是傅立叶分析的理论基础。
其他几何意义:从内积数值上我们可以看出两个向量的在方向上的接近程度。当内积值为正值时,两个向量大致指向相同的方向(方向夹角小于90度);当内积值为负值时,两个向量大致指向相反的方向(方向角大于90度);当内积值为0时,两个向量互相垂直
向量内积的生活解释:单价向量乘以数量向量,得到总价格
向量内积的物理解释:一个斜坡上用力F斜上拉一个物体,位移为S(没有重力的情况下),那么这个力F所作的功

向量的外积(叉积):

向量外积的几何和物理意义:
向量外积的几何意义:
a × b为一个新生成的向量,这个向量垂直于a 和 b展成的平面(图中的虚线平行四边形,由线段oa和ob 所确定的平面);同样向量b × a也垂直这个平面,但方向与a × b所指的方向相反,即a × b = b × a;(右手法则)

向量外积的物理意义:
物理上称为轴向量
1、知道陀螺的原理吗?高速旋转的陀螺会定向。陀螺所定义的方向就是矢径向量r和线速度v叉乘结果角速度ω方向。
2、螺钉,螺钉只要左右向旋转即可在螺孔中前进或者后退。用螺丝刀把这棵螺钉按照F+的方向右旋,那么旋转时的扭力向量F和矢径向量r这两个叉乘的结果即是力矩M的方向,这棵螺钉就会沿着力矩M在螺母孔内前进,反方向就会改变叉积的方向进而退出螺孔(右螺旋螺钉)。也就是力矩或叉乘向量的方向就是螺钉的螺旋前进的方向,这个方向垂直于螺丝刀口和扭力的方向,也就是垂直于被叉积的两个向量的方向。
3、我们经常骑的自行车,车子静止的时候我们在车上会摔下来,一旦骑行起来,车子就会平稳而不会左右倾倒,这也是叉积的功劳(与陀螺的原理相同)。
向量混合运算的几何意义:
向量加法的结合律的几何解释


向量数乘的分配律的几何解释


向量点积的分配律的几何解释


向量叉积的分配律的几何解释

(如下图:面向量,有向面积满足平行四边形法则、三角形法则)

向量的混合积的几何解释


以向量a,b,c为棱的平行六面体的底(平行四边形0ADB)的面积S在数值上等于|a×b|,它的高h等于向量c在向量 a×b上的投影,即h =|c| cos a ,所以平行六面体的体积等于
V=Sh=|a×b| |c| cos a
向量的投影和几何解释
多个向量在任意轴上的投影和
多个或有限个向量的和在任意轴上投影等于各个向量在同一轴上投影的和。


多个向量在任意平面上的投影和
多个或有限个向量的和在任意平面上投影等于各个向量在同一平面上投影的和。

变向量的几何意义:
对于用数组

表示的向量a,如果数组中的元素部分或者全部是变量,那么这个变
向量在n维坐标系下表示的几何图形是什么呢?
二维变向量的几何图形
变向量

的几何图形表示为一个平面
变向量(x1,a2)表示的是直线x2=a2
变向量

表示的是直线x2=ax1+b
变向量(x1,ax1)就表示为一条过原点的直线



三维变量的几何图形:

这个平面是一个向量空间,一个被常向量

和

所张成的向量平面空间,记为

。因此,我们可以有这样的一个等价式:


得到的新图形仍然是个平面,只是沿着向量(0,0,c) 的方向平移了长度为c的距离。

一个变向量是和一个解析方程或方程组相对应的,因此变向量和方程一样能表示一个几
何图形。实际上,变向量也叫向量函数。