?WELCOME? ???欢迎来到K❤️J的空间??? ???本文主要讲解摄像机标定基础理论?!???
?写在前面?
- 这里主要是分享在单线结构光扫描中的
标定基础理论、摄像机标定方法,并展示了在halcon平台实现的单相机线激光扫描案例。 - 笔记由三部分内容构成:
标定的基础理论、摄像机标定方法和单相机线激光扫描案例
?博客内容?
✨标定基础理论✨
✨视觉成像与视觉测量✨
视觉成像:三维空间的物体在二维平面上的呈现。视觉成像过程本质上是三维空间到二维平面的变换过程。
视觉测量:对二维图像中的特征进行提取,结合不同的几何约束和精度控制条件,解算被测物体特征在三维空间中的几何参数信息。理解为受约束条件下的三维空间到二维空间透视成像过程的逆过程。
✨摄像机标定是什么?✨
摄像机标定是指按照摄像机成像的几何模型来建立空间环境中某点的三维坐标与其在成像平面上对应的像素点二维坐标之间的关系,从而求解摄像机的参数矩阵。
通过两者之间的变换关系,我们就可以通过一幅图像来重建它所描述的三维物体的样貌。
✨摄像机标定中常用的坐标系✨
像素坐标系:摄像机采集到的图像以标准电视信号的形式存入计算机,经过专用的数模转换转换成数字图像,其存储方式为A×B的数组,图像中每一个元素叫做像素,其值代表图像点的亮度。
图像坐标系:像素坐标系表示的是像素点在图像上的行数和列数,为了建立物体空间三维坐标与图像二维坐标间透视投影模型,需将图像像素坐标转化为公制单位表示,由此产生了图像坐标系。一般以mm为单位。
摄像机坐标系:摄像机坐标系固定在摄像机实体上,以相机光心为原点,图像传感器的两个轴向作为Xc,Yc轴,光轴作为Zc轴建立的坐标系。相机坐标系代表了相机成像模型中的几何关系。
世界坐标系:我们的试验环境是三维的空间环境,需要一个坐标系来描述我们的试验环境,所以选取了一个基准坐标系来描述空间环境中任意物体的位置。
对于空间一点P,可以用旋转矩阵R和平移向量t来其摄像机坐标系下的坐标和世界坐标系下的坐标之间的刚性变换。
✨摄像机成像模型✨
摄像机模型主要建立图像点与空间物点的一一对应关系
- 线性摄像机模型
- 非线性摄像机模型(存在畸变)
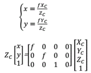
线性摄像机模型:透视投影模型(针孔相机模型):空间环境物体通过一个小孔投影到相机底片成像,通过相机成像后,能在图像平面找到与之对应的理想像点。
通过透视投影模型我们可以看到图像坐标与相机坐标之间的关系,符合三角相似定理。得到相机坐标系与像面坐标系之间的转化关系。
继而,我们可以得到P点在世界坐标系下的坐标与图像坐标系下的坐标之间的关系。
投影矩阵表征了二维图像坐标系与三维世界坐标系之间的关系。如果已知空间点的世界坐标和投影矩阵,能求出相应点的理想图像坐标。如果已知成像点的图像坐标和投影矩阵,只可以得到一条经过摄像机光心的空间射线。而且该点不能唯一确定。
非线性摄像机模型:理想情况下,相机镜头的成像可以用针孔成像模型来描述,但由于镜头本身存在一定的固有误差,且不可避免。成像点会产生偏移。
✨摄像机标定方法✨
✨标定方法分类✨
传统标定方法:使用尺寸已知的标定物,精确测量标定物上已知点的三维坐标并提取图像上对应点坐标,建立摄像机模型使二者相互对应,运用一定算法求解各参数。摄像机自标定方法:摄像机不使用标定物,而仅仅是利用移动摄像机时周围环境的多幅图像对应点之间的匹配关系进行摄像机标定。基于主动视觉的摄像机标定方法:在已知摄像机的一部分动态参数的条件下基于三维环境中物体的几何信息或者姿态信息的约束进行摄像机标定。
✨单相机线激光扫描✨
✨线激光扫描成像原理✨
结构光视觉传感器由结构光投射器和摄像机构成,结构光投射器将一定模式的结构光投射到于被测物体表面,形成可视特征,摄像机采集被测物表面含有的可视特征的图像,传输到计算机进行处理,解算可视特征中心的精确空间三维坐标,利用这些三维坐标重建三维模型。
✨结构光视觉传感器的数学模型✨
①通过相机标定可以确定x,y轴方向上的坐标。
②通过光平面的标定,求解光平面方程,增加了一个几何约束条件。确定了z轴坐标。
需要进行相机标定、光平面标定和传送带标定。
✨相机标定✨
✨光平面标定✨
✨传送带标定✨
✨物体三维重建✨
三维重建:对被测物体进行线激光扫描的过程中,通过相机采集线激光因被测物体表面轮廓的起伏变化而产生变形的图像,提取每一幅图像上光条纹中心位置,得到其在图像坐标系的像素坐标,通过成像模型所得的坐标系的变换关系和光平面方程计算出每一幅图像中光条纹中心的三维坐标,将全部图像中光条纹中心的三维坐标按平台运动方向和间距进行拼接获得点云图像。
采集目标物体表面的形变线激光:
得到目标物体三维点云数据:
✨专栏其他内容✨
- 线激光扫描三维成像原理
- 靶标特征点提取等算法的代码实现
- 各种相机标定算法原理及代码实现
- 各种激光条纹中心线提取算法原理及代码实现
- 项目中涉及的图像处理算法的代码实现
- 案例的代码实现
- 项目中设计QT界面
- 项目中常见问题分析
- 拓展:多视角三维成像及其他三维成像原理及案例和代码实现
- 其他
- 由于篇幅原因上述实现在本专栏其他博文中详细描述
???专栏其他内容将详细讲解标定代码和各线激光中心线提取算法。??? ???详细代码见专栏内其他博客???
?写在后面?
?SEE YOU LATER? ???期待再次来到K❤️J的空间??? ???下方有作者的?联系方式?哦~???















