BA优化中的边(重投影误差)
Bundle Adjustment,中文翻译有捆集调整、光束法平差。它的主要思想是最小化重投影误差。
BA优化的误差边也就是重投影误差边。
投影过程是将一个地图点(三维坐标为(X,Y,Z))投影到当前帧(假设位姿为
)的像素平面上(得到投影坐标为
)误差边的定义是测量坐标(该帧上提取到的此地图点的位置
)减去投影得到坐标
![]()
BA优化中的节点(投影点与关键帧)
通常我们最经常放入BA中进行优化的节点有两个
地图点的三维坐标为

被投影帧的位姿

当然了,BA优化时只要观测到的约束足够多,方程就足够多,因此可以优化更多节点。比如我们还可以放入的节点有相机内参等。
jacobian的推导
前面已经列出来了重投影误差的定义为:
![]()
然后被投影帧的位姿为
,地图点在世界坐标系中的位置为
,则将其变换到该帧的相机坐标系下的坐标为
![]()
然后将这个点投影到像素平面上的操作为

即

重投影误差对地图点三维坐标的jacobian
由上,我们首先计算重投影误差对地图点相机坐标系下坐标
的偏导,

接着根据如下链式法则与坐标变换关系

可以得到最终的重投影误差对地图点三维坐标的jacobian

重投影误差对被投影帧位姿的jacobian
此处需要说明的是,对于位姿变换(对应的李群是
)的求导我们一般将其变换到
对应的李代数ξ上使用扰动模型来求导。
根据前面的推导我们可以发现,重投影误差项e中与位姿
相关的只有
,因此可以将求解过程分解为如下两步

其中第一部分
在前面已经求解出来了,第二部分可以通过使用扰动模型左乘扰动量来求得(具体步骤见附录1)

由于上面是使用的
的齐次坐标形式,所以从上式结果中取出前三维就是(这是一个3∗6大小的矩阵)

然后将两项相乘就可以得到我们想要的结果–重投影误差对被投影帧位姿的jacobian

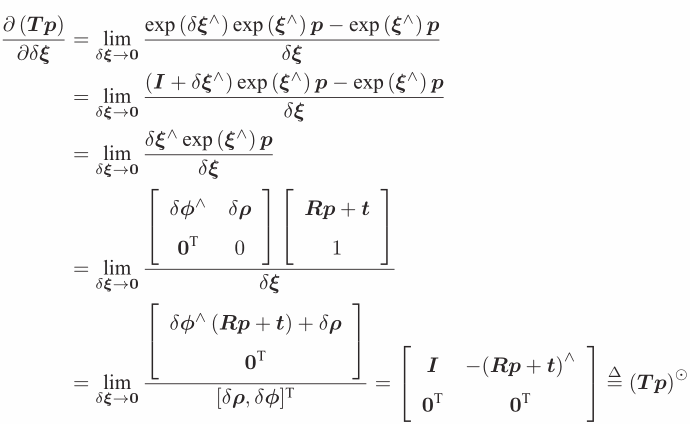
附录1
假设如下求导中的左乘的扰动项的李代数为
,那么:

上面最后一行矩阵除法,与矩阵乘法规则类似,只是乘号变成了除号。其使用一个
矩阵除以一个
矩阵得到一个
矩阵
附录2
雅克比矩阵即是偏导数矩阵,由于一般待求导的目标函数的因变量是列向量,自变量也是列向量,在求雅克比矩阵时遵循如下规则:

其实只需要明确一点,上述公式便很容易记起来了。对于输入为n维向量,输出为m维向量的变换(即从
的变换),它的雅克比矩阵为
维。即行数由输出向量的维度决定,列数由输入向量的维度决定