1、人工智能三学派
人工智能:让机器具备人的思维和意识
人工智能三学派:
- 行为主义:基于控制论,构建感知-动作控制系统(控制论,如平衡、行走、避障等自适应控制系统)
- 符号主义:基于算数逻辑表达式,求解问题时先把问题描述为表达式,再求解表达式。(可用公式描述、实现理性思维,如专家系统)
- 连接主义:仿生学,模仿神经元连接关系。(仿脑神经元连接,实现感性思维,如神经网络)
用计算机仿出神经网络连接关系,让计算机具备感性思维。
- 准备数据:采集大量"特征/标签"数据
- 搭建网络:搭建神经网络结构
- 优化参数:训练网络获取最佳参数(反传)
- 应用网络:将网络保存为模型,输入新数据,输出分类或预测结果(前传)
2、神经网络设计过程
损失函数(loss function):预测值(y)与标准答案(y_)的差距。
损失函数可以定量判断W、b的优劣,当损失函数输出最小时,参数W、b会出现最优值。
均方误差:
目的:想找到一组参数w和b,使得损失函数最小。
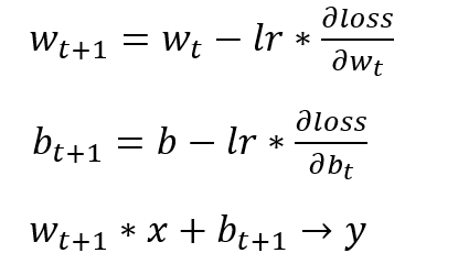
梯度:函数对各参数求偏导后的向量。函数梯度下降方向是函数减小方向。
梯度下降法:沿损失函数梯度下降的方向,寻找损失函数的最小值,得到最优参数的方法。
学习率(learning rate,lr):当学习率设置的过小时,收敛过程将变得十分缓慢。而当学习率设置的过大时,梯度可能会在最小值附近来回震荡,甚至可能无法收敛。
反向传播:从后向前,逐层求损失函数对每层神经元参数的偏导数,迭代更新所有参数。
3、张量生成
张量(Tensor):多维数组、多维列表
阶:张量的维数
| 维数 | 阶 | 名字 | 例子 |
|---|---|---|---|
| 0-D | 0 | 标量 scalar | s=1 2 3 |
| 1-D | 1 | 向量 vector | v=[1,2,3] |
| 2-D | 2 | 矩阵 matrix | m=[[1,2,3],[4,5,6],[7,8,9]] |
| n-D | n | 张量 tensor | t=[[[(n个) |
张量可以表示0阶到n阶数组(列表)
数据类型:
- tf.int,tf.float…
tf.int32,tf.float32,tf.float64 - tf.bool
tf.constant([True,False]) - tf.string
tf.constant(“Hello,world!”)
如何创建一个Tensor
- 创建一个张量
tf.constant(张量内容,dtype=数据类型(可选))
import tensorflow as tf
a=tf.constant([1,5],dtype=tf.int64) #创建一个一阶张量,包含1、5两个元素,指定数据类型为64位整型
print(a)
print(a.dtype)
print(a.shape) #张量的形状,看shape的逗号隔开了几个数字,隔开了几个数字这个张量就是几维的
运行结果
- 将numpy的数据类型转换为Tensor数据类型
tf.convert_to_tensor(数据名,dtype=数据类型(可选))
import tensorflow as tf
import numpy as np
a=np.arange(0,5)
b=tf.convert_to_tensor(a,dtype=tf.int64)
print(a)
print(b)
运行结果
- 创建全为0的张量
tf.zeros(维度)
维度:
一维 直接写个数
二维 用[行,列]
多维 用[n,m,j,k…] - 创建全为1的张量
tf.ones(维度) - 创建全为指定值的张量
tf.fill(维度,指定值)
import tensorflow as tf
a = tf.zeros([2,3])
b = tf.ones(4)
c = tf.fill([2,2],9)
print(a)
print(b)
print(c)
运行结果 :
生成正态分布的随机数,默认值均值为0,标准差为1
tf.random.normal(维度,mean=均值,stddev=标准差)生成截断式正态分布的随机数
tf.random.truncated_normal(维度,mean=均值,stddev=标准差)
在tf.random.truncated_normal中,如果随机生成数据的取值在
之外,则重新进行生成,保证了生成值在均值附近。
标准差计算公式:
import tensorflow as tf
d = tf.random.normal([2,2],mean=0.5,stddev=1)
print(d)
e = tf.random.truncated_normal([2,2],mean=0.5,stddev=1)
print(e)
运行结果:
生成均匀分布随机数 [ minval=最小值,maxval=最大值 ]
tf.random.uniform(维度,minval=最小值,maxval=最大值)
f = tf.random.uniform([2,2],minval=0,maxval=1)
print(f)
运行结果:
4、TF2常用函数
- 强制tensor转换为该数据类型
tf.cast(张量名,dtype=数据类型)
- 计算张量维度上元素的最小值
tf.reduce_min(张量名)
- 计算张量维度上元素的最大值
tf.reduce_max(张量名)
import tensorflow as tf
x1 = tf.constant([1.,2.,3.],dtype=tf.float64)
print(x1)
x2 = tf.cast(x1,tf.int32)
print(x2)
print(tf.reduce_min(x2),tf.reduce_max(x2))
运行结果:
- 理解axis
在一个二维张量或数组中,可以通过调整axis等于0或1控制执行维度。
axis=0代表跨行(经度,down),而axis=1代表跨列(纬度,across)
如果不指定axis,则所有元素参与计算。 - 计算张量沿着指定维度的平均值
tf.reduce_mean(张量名,axis=操作轴)
- 计算张量沿着指定维度的和
tf.reduce_sum(张量名,axis=操作轴)
import tensorflow as tf
x = tf.constant([[1,2,3],[2,2,3]])
print(x)
print(tf.reduce_mean(x))
print(tf.reduce_sum(x,axis=1))
运行结果:
tf.Variable()将变量标记为“可训练”的,被标记的变量会在反向传播中记录梯度信息。神经网络训练中,常用该函数标记待训练参数。
tf.Variable(初始值)
w = tf.Variable(tf.random.normal([2,2],mean=0,stddev=1)
- 对应元素的四则运算:tf.add,tf.substract,tf.multiply,tf.divide
实现两个张量的对应元素相加
tf.add(张量1,张量2)
实现两个张量的对应元素相减
tf.substract(张量1,张量2)
实现两个张量的对应元素相乘
tf.multiply(张量1,张量2)
实现两个张量的对应元素相除
tf.divide(张量1,张量2)
import tensorflow as tf
a = tf.ones([1,3])
b = tf.fill([1,3],3.)
print(a)
print(b)
print(tf.add(a,b))
print(tf.subtract(a,b))
print(tf.multiply(a,b))
print(tf.divide(b,a))

只有维度相同的张量才可以做四则运算
- 平方、次方与开方:tf.square,tf.pow,tf.sqrt
计算某个张量的平方
tf.square(张量名)
计算某个张量的n次方
tf.pow(张量名,n次方数)
计算某个张量的开方
tf.sqrt(张量名)
import tensorflow as tf
a = tf.fill([1,2],3.)
print(a)
print(tf.pow(a,3))
print(tf.square(a))
print(tf.sqrt(a))

- 矩阵乘:tf.matmul
实现两个矩阵的相乘
tf.matmul(矩阵1,矩阵2)
import tensorflow as tf
a = tf.ones([3,2])
b = tf.fill([2,3],3.)
print(tf.matmul(a,b))

- 切入传入张量的第一维度,生成输入特征/标签对,构建数据集
data = tf.data.Dataset.from_tensor_slices((输入特征,标签))
(Numpy和Tensor格式都可用该语句读入数据)
import tensorflow as tf
features = tf.constant([12,23,20,27])
labels = tf.constant([0,1,1,0])
dataset = tf.data.Dataset.from_tensor_slices((features,labels))
print(dataset)
for element in dataset:
print(element)

- with结构记录计算过程,gradient求出张量的梯度
with tf.GradientTape() as tape:
若干个计算过程
grad = tape.gradient(函数,对谁求导)
import tensorflow as tf
with tf.GradientTape() as tape:
w = tf.Variable(tf.constant(3.0))
loss = tf.pow(w,2)
grad = tape.gradient(loss,w)
print(grad)
运行结果:

- enumerate是python的内建函数,它可遍历每个元素(如列表、元组或字符串),
组合为:索引 元素,常在for循环中使用。
enumerate(列表名)
seq = ['one','two','three']
for i,element in enumerate(seq):
print(i,element)
运行结果:
- 独热编码(one-hot encoding):在分类问题中,常用独热码做标签,标记类别:1表示是,0表示非。
(0狗尾草鸢尾 1杂色鸢尾 2弗吉尼亚鸢尾)
标签: 1
独热码: (0. 1. 0.)
- tf.one_hot()函数将待转换数据,转换为one-hot形式的数据输出。
tf.one_hot(待转换数据,depth=几分类)
import tensorflow as tf
classes = 3
labels = tf.constant([1,0,2]) #输入的元素值最小为0,最大为2
output = tf.one_hot(labels,depth=classes)
print(output)
运行结果:
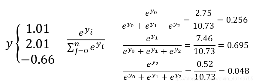
- tf.nn.softmax(x) 使输出符合概率分布




当n分类的n个输出
通过softmax()函数,便符合概率分布了
import tensorflow as tf
y = tf.constant([1.01,2.01,-0.66])
y_pro = tf.nn.softmax(y)
print("After softmax,y_pro is:",y_pro)

- assign_sub
赋值操作,更新参数的值并返回
调用assign_sub前,先用tf.Variable定义变量w为可训练(可自更新)。
w.assign_sub(w要自减的内容)
import tensorflow as tf
w = tf.Variable(4)
w.assign_sub(1)
print(w)
运行结果:
- 返回张量沿指定维度最大值的索引
tf.argmax(张量名,axis=操作轴)
import tensorflow as tf
import numpy as np
test = np.array([[1,2,3],[2,3,4],[5,4,3],[8,7,2]])
print(test)
print(tf.argmax(test,axis=0)) #返回每一列(经度)最大值的索引
print(tf.argmax(test,axis=1)) #返回每一行(纬度)最大值的索引


5、鸢尾花数据集读入
- 数据集介绍
共有数据150组,每组包含花萼长、花萼宽、花瓣长、花瓣宽4个输入特征。同时给出了,这一组特征对应的鸢尾花类别。类别包括Setosa Iris(狗尾草鸢尾),Versicolour Iris(杂色鸢尾),Virginica Iris(弗吉尼亚鸢尾)三类,分别用数字0,1,2表示。
鸢尾花数据集(Iris)
从sklearn包datasets读入数据集,语法为:
from sklearn.datasets import load_iris
x_data = load_iris().data #返回iris数据集所有输入特征
y_data = load_iris().target #返回iris数据集所有标签
from sklearn import datasets
from pandas import DataFrame
import pandas as pd
x_data = datasets.load_iris().data #.data返回iris数据集所有输入特征
y_data = datasets.load_iris().target #.target返回 iris数据集所有标签
print("x_data from datasets: \n",x_data)
print("y_data from datasets: \n",y_data)
x_data = DataFrame(x_data,columns=['花萼长度','花萼宽度','花瓣长度','花瓣宽度'])
pd.set_option('display.unicode.east_asian_width',True) #设置列名对齐
print("x_data add index: \n",x_data)
x_data['类别'] = y_data #新加一列,列标签为‘类别’,数据为y_data
print("x_data add a column : \n",x_data)
运行结果:



6、神经网络实现鸢尾花分类
准备数据
数据集读入
数据集乱序
生成训练集和测试集(即x_train/y_train,x_test/y_test)
配成(输入特征,标签)对,每次读入一小撮(batch)搭建网络
定义神经网络中所有可训练参数参数优化
嵌套循环迭代,with结构更新参数,显示当前loss测试效果
计算当前参数前向传播后的准确率,显示当前accacc/loss可视化
数据集读入
从sklearn包datasets读入数据集:
from sklearn import datasets
x_data = datasets.load_iris().data #返回iris数据集所有输入特征
y_data = datasets.load_iris().target #返回iris数据集所有标签
- 数据集乱序
import numpy as np
import tensorflow as tf
np.random.seed(116) #使用相同的seed,使输入特征/标签一一对应
np.random.shuffle(x_data)
np.random.seed(116)
np.random.shuffle(y_data)
tf.random.set_seed(116)
- 数据集分出永不相见的训练集和测试集
x_train = x_data[:-30]
y_train = y_data[:-30]
x_test = x_data[-30:]
y_test = y_data[-30:]
- 配成[输入特征,标签]对,每次喂入一小撮(batch)
train_db = tf.data.Dataset.from_tensor_slices((x_train,y_train)).batch(32)
test_db = tf.data.Dataset.from_tensor_slices((x_test,y_test)).batch(32)
- 定义神经网络中所有可训练参数
w1 = tf.Variable(tf.random.truncated_normal([4,3],stddev=0.1,seed=1))
b1 = tf.Variable(tf.random.truncated_normal([3],stddev=0.1,seed=1))

- 嵌套循环迭代,with结构更新参数,显示当前loss
for epoch in range(epoch): #数据集级别迭代
for step,(x_train,y_train) in enumerate(train_db): #batch级别迭代
with tf.GradientTape() as tape: #记录梯度信息
前向传播过程计算y
计算总loss
grads = tape.gradient(loss,[w1,b1])
w1.assign_sub(lr * grads[0]) #参数自更新
b1.assign_sub(lr * grads[1])
print("Epoch {},loss:{}".format(epoch),loss_all/4)
- 计算当前参数前向传播后的准确率,显示当前acc
for x_test,y_test in test_db:
y = tf.matmul(h,w)+b #y为预测结果
y = tf.nn.softmax #y符合概率分布
pred = tf.argmax(y,axis=1) #返回y中最大值的索引,即预测的分类
pred = tf.cast(pred,dtype=y_test.dype) #调整数据类型与标签一致
correct = tf.cast(tf.equal(pred,y_test),dtype=tf.int32)
correct = tf.reduce_sum(correct) #将每个batch的correct数加起来
total_correct += int(correct) #将所有batch中的correct数加起来
total_number += x_test.shape[0]
acc = total_correct/total_number
print("test_acc:",acc)
- acc/loss可视化
plt.title('Acc Curve') #图片标题
plt.xlable('Epoch') #x轴名称
plt.ylable('Acc') #y轴名称
plt.plot(test_acc,label="$Accuracy$") #逐点画出test_acc值并连线
plt.legend()
plt.show()
# -*- coding: UTF-8 -*-
# 利用鸢尾花数据集,实现前向传播、反向传播,可视化loss曲线
# 导入所需模块
import tensorflow as tf
from sklearn import datasets
from matplotlib import pyplot as plt
import numpy as np
# 导入数据,分别为输入特征和标签
x_data = datasets.load_iris().data
y_data = datasets.load_iris().target
# 随机打乱数据(因为原始数据是顺序的,顺序不打乱会影响准确率)
# seed: 随机数种子,是一个整数,当设置之后,每次生成的随机数都一样(为方便教学,以保每位同学结果一致)
np.random.seed(116) # 使用相同的seed,保证输入特征和标签一一对应
np.random.shuffle(x_data)
np.random.seed(116)
np.random.shuffle(y_data)
tf.random.set_seed(116)
# 将打乱后的数据集分割为训练集和测试集,训练集为前120行,测试集为后30行
x_train = x_data[:-30]
y_train = y_data[:-30]
x_test = x_data[-30:]
y_test = y_data[-30:]
# 转换x的数据类型,否则后面矩阵相乘时会因数据类型不一致报错
x_train = tf.cast(x_train, tf.float32)
x_test = tf.cast(x_test, tf.float32)
# from_tensor_slices函数使输入特征和标签值一一对应。(把数据集分批次,每个批次batch组数据)
train_db = tf.data.Dataset.from_tensor_slices((x_train, y_train)).batch(32)
test_db = tf.data.Dataset.from_tensor_slices((x_test, y_test)).batch(32)
# 生成神经网络的参数,4个输入特征,故输入层为4个输入节点;因为3分类,故输出层为3个神经元
# 用tf.Variable()标记参数可训练
# 使用seed使每次生成的随机数相同(方便教学,使大家结果都一致,在现实使用时不写seed)
w1 = tf.Variable(tf.random.truncated_normal([4, 3], stddev=0.1, seed=1))
b1 = tf.Variable(tf.random.truncated_normal([3], stddev=0.1, seed=1))
lr = 0.1 # 学习率为0.1
train_loss_results = [] # 将每轮的loss记录在此列表中,为后续画loss曲线提供数据
test_acc = [] # 将每轮的acc记录在此列表中,为后续画acc曲线提供数据
epoch = 500 # 循环500轮
loss_all = 0 # 每轮分4个step,loss_all记录四个step生成的4个loss的和
# 训练部分
for epoch in range(epoch): #数据集级别的循环,每个epoch循环一次数据集
for step, (x_train, y_train) in enumerate(train_db): #batch级别的循环 ,每个step循环一个batch
with tf.GradientTape() as tape: # with结构记录梯度信息
y = tf.matmul(x_train, w1) + b1 # 神经网络乘加运算
y = tf.nn.softmax(y) # 使输出y符合概率分布(此操作后与独热码同量级,可相减求loss)
y_ = tf.one_hot(y_train, depth=3) # 将标签值转换为独热码格式,方便计算loss和accuracy
loss = tf.reduce_mean(tf.square(y_ - y)) # 采用均方误差损失函数mse = mean(sum(y-out)^2)
loss_all += loss.numpy() # 将每个step计算出的loss累加,为后续求loss平均值提供数据,这样计算的loss更准确
# 计算loss对各个参数的梯度
grads = tape.gradient(loss, [w1, b1])
# 实现梯度更新 w1 = w1 - lr * w1_grad b = b - lr * b_grad
w1.assign_sub(lr * grads[0]) # 参数w1自更新
b1.assign_sub(lr * grads[1]) # 参数b自更新
# 每个epoch,打印loss信息
print("Epoch {}, loss: {}".format(epoch, loss_all/4))
train_loss_results.append(loss_all / 4) # 将4个step的loss求平均记录在此变量中
loss_all = 0 # loss_all归零,为记录下一个epoch的loss做准备
# 测试部分
# total_correct为预测对的样本个数, total_number为测试的总样本数,将这两个变量都初始化为0
total_correct, total_number = 0, 0
for x_test, y_test in test_db:
# 使用更新后的参数进行预测
y = tf.matmul(x_test, w1) + b1
y = tf.nn.softmax(y)
pred = tf.argmax(y, axis=1) # 返回y中最大值的索引,即预测的分类
# 将pred转换为y_test的数据类型
pred = tf.cast(pred, dtype=y_test.dtype)
# 若分类正确,则correct=1,否则为0,将bool型的结果转换为int型
correct = tf.cast(tf.equal(pred, y_test), dtype=tf.int32)
# 将每个batch的correct数加起来
correct = tf.reduce_sum(correct)
# 将所有batch中的correct数加起来
total_correct += int(correct)
# total_number为测试的总样本数,也就是x_test的行数,shape[0]返回变量的行数
total_number += x_test.shape[0]
# 总的准确率等于total_correct/total_number
acc = total_correct / total_number
test_acc.append(acc)
print("Test_acc:", acc)
print("--------------------------")
# 绘制 loss 曲线
plt.title('Loss Function Curve') # 图片标题
plt.xlabel('Epoch') # x轴变量名称
plt.ylabel('Loss') # y轴变量名称
plt.plot(train_loss_results, label="$Loss$") # 逐点画出trian_loss_results值并连线,连线图标是Loss
plt.legend() # 画出曲线图标
plt.show() # 画出图像
# 绘制 Accuracy 曲线
plt.title('Acc Curve') # 图片标题
plt.xlabel('Epoch') # x轴变量名称
plt.ylabel('Acc') # y轴变量名称
plt.plot(test_acc, label="$Accuracy$") # 逐点画出test_acc值并连线,连线图标是Accuracy
plt.legend()
plt.show()


随着loss的减少,acc达到100%